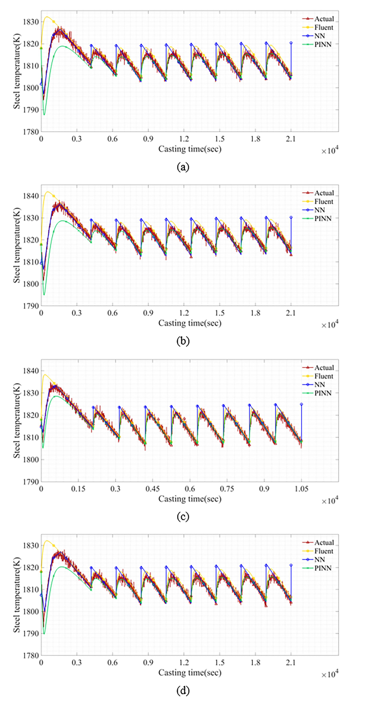
Fig. 8
From: Research on temperature prediction model of molten steel of tundish in continuous casting

Comparison of the results of Four Experiments, predicting temperature of molten steel in the tundish by using three different methods. (a) Experiment (1) (b) Experiment (2) (c) Experiment (3) (d) Experiment 4.