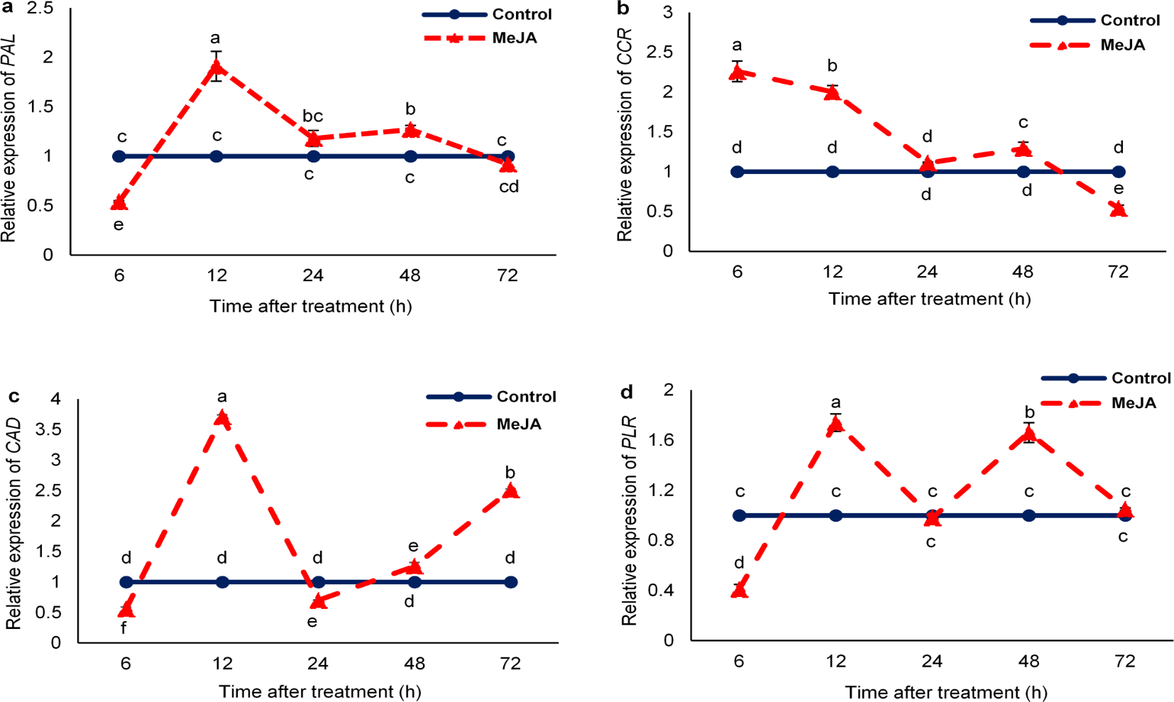
Fig. 4

Analysis of the relative expression of (a) PAL, (b) CCR, (c) CAD, and (d) PLR genes after 6 h to 72 h of exposure to exogenous MeJA in L. album cells. Values are the mean of three biological replicates ± standard deviation (SD). Different letters imply significant differences obtained using Duncan test at α = 5%.