Abstract
Wave ripples can provide valuable information on their formative hydrodynamic conditions in past subaqueous environments by inverting dimension predictors. However, these inversions do not usually take the mixed non-cohesive/cohesive nature of sediment beds into account. Recent experiments involving sand–kaolinite mixtures have demonstrated that wave-ripple dimensions and the threshold of motion are affected by bed clay content. Here, a clean-sand method to determine wave climate from orbital ripple wavelength has been adapted to include the effect of clay and a consistent shear-stress threshold parameterisation. From present-day examples with known wave conditions, the results show that the largest clay effect occurs for coarse sand with median grain diameters over 0.45 mm. For a 7.4% volumetric clay concentration, the range of possible water-surface wavelengths and water depths can be reduced significantly, by factors of three and four compared to clean sand, indicating that neglecting clay when present will underestimate the wave climate.
Similar content being viewed by others
Introduction
Bed-surface structures in sediments and sedimentary rocks of past subaqueous environments provide important information on flow hydraulics1. These structures tend to be classified on the basis of the presence or absence of cohesion in equivalent modern environments: (a) cohesive structures, associated with physical cohesion by clay particles and biological cohesion by extracellular polymeric substances (EPS), e.g. biofilms2, where the bed is stabilised by cohesion between grains and sudden catastrophic failure may occur under high bed shear stress, e.g. during storms; and (b) non-cohesive bedforms (e.g. wave and current ripples3,4), where grains can move individually and tend to respond more rapidly and continuously to changes in flow forcing5. Examples of these types of bed-surface structure include roll-ups6 and non-cohesive wave ripples7. Davies et al.8 argued that the distinction between cohesive and non-cohesive sedimentary structures is artificial, as they represent end members of a spectrum, and thus predictions based on one classification may result in misinterpretations. This position is re-enforced by recent experiments that have shown how sandy bedforms can be affected by small amounts of biological and physical cohesion9,10,11,12. The consequence for wave ripples of physical cohesion associated with kaolin clay in the bed has been detailed by Wu et al.13. Building on previous work7, Diem14 developed a clean-sand analytical method for the prediction of paleowave climate based on the dimensional measurement of wave ripples in the rock record15,16,17,18,19. Here, the Diem14 approach is adapted for sand–clay mixtures, using the synthesis proposed by Wu et al.13.
The Diem14 approach starts by determining the wave orbital diameter from the ripple wavelength, without requiring a specific wavelength predictor. Here, the formulation starts as Diem14 did, with linear wave theory and additional constraints based on threshold of motion and wave breaking. It will then return to the effect of clay on ripple-wavelength prediction and the threshold of motion. Since wave conditions from the rock record are unknown, the importance of clay content is demonstrated with the use of present-day examples from the laboratory and field, where the wave conditions were known.
Results
The Diem14 approach
Wave conditions
Based on linear wave theory, the Diem14 approach uses expressions for the dispersion relation and the wave-velocity amplitude, U0, together with conditions for the threshold of motion and wave breaking, to give
(see “Methods”) where x = L/Lt∞, L is the water-surface wavelength, Lt∞ = πg(d0/Ut)2/2 is the deep-water surface wavelength corresponding to the threshold of motion, k = 2π/L, h is the water depth, g is the acceleration due to gravity (= 9.81 m s2), d0 is the orbital diameter (= H/sinhkh, H is the wave height), Ut is the critical wave-velocity amplitude associated with the threshold of motion and A = d0/0.142Lt∞. As will be seen later, Ut is a function of d0 and D50, the median grain diameter, and A can be defined as (Ut/Um)2/2, where Um = (0.0355πgd0)1/2 is the maximum wave-velocity amplitude. Since wave-velocity amplitude and orbital diameter are related by U0 = πd0/T, where T is the wave period, U0 and T are in the ranges Ut < U0 ≤ Um and πd0/Um ≤ T < πd0/Ut.
Equation (1a, b) represent the range of possible conditions between threshold and wave breaking for the wave climate, such that x is in the range Acoshkh ≤ x < tanhkh, and A < 1/2 for there to be any allowable conditions (see “Methods”). Figure 1 shows kh versus x for the limiting single-valued A = 1/2 case (Um2 = Ut2) from shallow water (kh ≪ 1) to deep water (kh ≫ 1). Figure 1 also shows the A = 1/4 case (Um2 = 2Ut2), corresponding to typical above-threshold wave conditions. In the latter case, the shaded region in Fig. 1 shows the allowable values of x [the “Methods” section explains how intersection points, (xmin, khmin) and (xmax, khmax), are determined]. The breaking-wave curves (x = Acoshkh) are concave downward and the threshold curve (x = tanhkh) is concave upward. Notice for the breaking-wave curves, x → A for kh ≪ 1 and A also controls the slope for larger kh. In dimensional terms, L is therefore limited by the threshold scale (Lt∞) and breaking-wave scale (ALt∞) according to ALt∞ < L ≤ Lt∞. Then, from equations (1a, b), the range of h can be expressed as a function of L as.
kh versus x (L/Lt∞) for the limiting case of A = 1/2 and also A = 1/4. The dots correspond to x = 2–1/2 and kh = arctanh2–1/2, for A = 1/2; xmax, min = (2 ± 31/2)1/2/2 and khmax, min = arctanh[xmax, min], for A = 1/4 (see “Methods”, Eq. (9)), and shading represents allowable values of x and kh for A = 1/4 (Acoshkh ≤ x < tanhkh).
The ripple predictor
Diem’s14 central assumption is that the orbital diameter can be expressed in terms of a ripple wavelength, which is assumed to be in equilibrium, λe, as
where α0 = 0.65, based on the experiments20, provided that λe < 200 mm (d0 = 308 mm). Above this limit, Diem14 used the Sleath21 predictor. This arbitrary 200-mm limit represents the lower boundary of the suborbital and anorbital ranges, where the wavelength is dependent on both d0 and D50 for suborbital ripples and only dependent on D50 for anorbital ripples. However, while a value of α0 in the range 0.5 ≤ α0 ≤ 0.75 in Eq. (3) is widely accepted, there is little agreement in the literature on the precise nature of the orbital, suborbital, and anorbital limits22. Wiberg and Harris3 defined orbital, suborbital and anorbital ripples by d0/D50 ≤ 1754, 1754 < d0/D50 ≤ 5587 and d0/D50 > 5587, respectively23, whereas other researchers have argued the anorbital limit should have wave-period dependence24,25. Provided that Eq. (3) does hold, which is what will be assumed here, all quantities involving d0 can now be expressed in terms of λe. Wu et al.13, and other researchers previously26,27, have demonstrated that d0 can be modified by the presence of a current. However, as the method relies on there being a one-to-one correspondence between d0 and λe, this effect cannot be included and so conditions must be restricted to waves in isolation.
Adaptions to the Diem14 approach
Threshold of motion parameterisation
Based on the Soulsby28 critical threshold of motion for clean sand, the “Methods” section derives an expression for Ut2, Eq. (11), such that Ut2, Lt∞ and ALt∞ can be written
where B = 3.653(s–1)θ0, s is the relative density of sediment in water, θ0 is the critical skin friction Shields parameter, Eq. (10), and d0 = λe/α0 from Eq. (3). Diem14 used the Komar and Miller29 mobility threshold prescription. Here, the Soulsby28 expression has been used, as it allows Ut2 to be directly related to θ0 and it avoids the need for two different functional forms, for D50 < 0.5 mm and D50 ≥ 0.5 mm (Eqs. (12) and (13)).
Inclusion of the effect of clay
Wu et al.13 showed that the ratio of wavelength to orbital diameter, α, which replaces α0 in Eq. (3), can be expressed as
where α0 is the clean-sand constant of proportionality (= 0.61), C0 is the clay content in the bed, C0m = 7.4% is the minimum value of C0 where α can change from α0 and α = α0/2 for C0 = 16.3%. Whitehouse et al.30 showed that the threshold of motion is enhanced by the clay content according to
where θ0 is the clean-sand threshold, Bθ = 1 + PθC0 and Pθ is a constant that depends on the sediment properties. Based on their experiments, Wu et al.13 determined that Pθ = 6.3 for D50 = 0.143 mm and Pθ = 23 for 0.45 ≤ D50 ≤ 0.5 mm (between these two ranges, it will be assumed that Pθ can be linearly interpolated). Notice in Eq. (6) that even small amounts of clay produce an enhancement which is strongly dependent on grain size.
Thus, the two main effects of including clay are that α is reduced and θ0E is increased. Substituting Eqs. (5) and (6), into Eqs. (4a, b, c) gives Ut2, Lt∞ and ALt∞ as
where λe is the mixed clay–sand ripple wavelength and only the square-bracketed quantity in each expression depends on C0.
The adapted procedure
The procedure begins with the determination of the ripple wavelength, λe, and bed-clay content, C0. Once these have been determined, the following calculations are undertaken:
-
(i)
Use λe and C0 in equations (7a, b,c), with α and Bθ given by Eqs. (5) and (6), to determine Ut, Lt∞ and ALt∞
-
(ii)
Use A in Eq. (9) to determine xmax, min, so that xmin ≤ x ≤ xmax
-
(iii)
Use L = Lt∞x to determine the range of h based on Eq. (2) and Ut and Um = (0.0355πgλe/α)1/2 to determine the ranges of U0 and T: Ut < U0 < Um and πλe/αUm < T < πλe/αUt
Example cases
With specific examples from the rock record, Diem14 was able to show how local considerations and context could be used to further limit the theoretical ranges described in the previous section. Here, modern-day examples, where the wave properties are known, are used, so that attention can be focussed on the effect of clay on the theoretical ranges alone. The example cases correspond to clean, coarse-, medium- and fine-grained sand from the laboratory and field, and involve determining how wave conditions based on the measured ripples change if the clay content is varied in the range 0 ≤ C0 ≤ 16.3%.
Wu et al.11, coarse-sand laboratory data
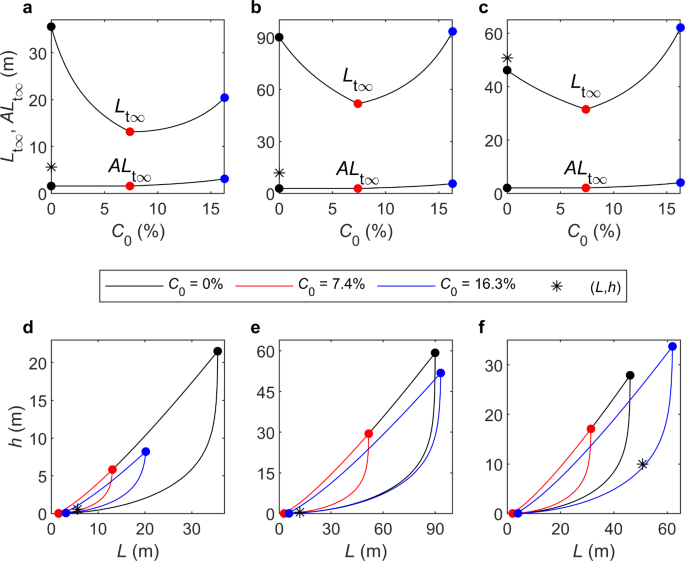
Wu et al.11 conducted a series of experiments involving a single-wave condition over a bed composed of well-sorted coarse sand, D50 = 0.496 mm (θ0 = 0.032), and varying clay content, 0 ≤ C0 ≤ 7.4%. For the clean sand experiment (C0 = 0%), the wave conditions were given by h = 0.6 m, H = 0.16 m and T = 2.49 s (L = 5.62 m), corresponding to d0 = 0.223 m. Despite the coarse grain size, which allowed clay and sand particles to be distinguished more readily in the experiments, Wu et al.12 demonstrated that these hydrodynamic conditions were comparable to an intertidal site in the macrotidal Dee Estuary with a medium grain size31. This experiment produced ripples with a wavelength λe = 278D5013. Figure 2a shows the threshold and wave-breaking scales, Lt∞ and ALt∞, versus C0. Lt∞, which is smallest at C0 = 7.4%, has a much larger range than ALt∞, which is constant for C0 ≤ 7.4% and then doubles up to C0 = 16.3%. Figure 2d shows the corresponding L-h phase space, based on Eq. (2), for the clay contents depicted in Fig. 2a (C0 = 0, 7.4 and 16.3%). Compared to the dimensionless x–kh plot (Fig. 1), the threshold curves are still concave downwards, but more exaggerated, and the breaking-wave curves are close to straight lines. The change in ranges is largely due to changes in Lt∞. The reduction in range between the largest and smallest (corresponding to C0 = 0% and 7.4%) is by a factor of 3 and 4 for the water-surface wavelength and water depth, respectively (Fig. 2d). Notice that the actual surface wavelength and water depth (L = 5.62 m, h = 0.6 m) are within all three ranges. Figure 2a, d can be compared with Fig. 4a, b to see the effect of using the Komar and Miller29 clean-sand mobility description for the threshold. This shows Lt∞ to be about 63% of its value in Fig. 2a, because B = 0.21(s–1) = 0.34 as opposed to 3.653(s–1)θ0 = 0.19. Thus, using the Diem14 clean-sand mobility description underpredicts the range of water-surface wavelengths and heights in an absolute sense. In a relative sense, the change in the ranges with clay content is similar, because the powers of d0 and D50 are similar (Eq. (13), for D50 < 0.5 mm, and Eq. (7a)), but this will not be the case for D50 > 0.5 mm. Also, the measured L and h are not within the C0 = 7.4% range (Fig. 4b). As L and h are below the threshold curve, this would imply that ripples of this size are relict for this clay content. This is inconsistent with the experimental results, since Wu et al.13 showed no reduction in λe for C0 ≤ 7.4%.
(a–c) Threshold, Lt∞, and wave-breaking, ALt∞, scales, equations (7b, c), versus C0 and (d–f) L–h phase space from Eq. (2), showing the different ranges for C0 = 0, 7.4 and 16.3% and the measured L and h. For (a,d) Wu et al.11, λe = 278D50, D50 = 0.496 mm, θ0 = 0.032, L = 5.62 m and h = 0.6 m; for (b,e) Doucette32, λe = 250 mm, D50 = 0.22 mm, θ0 = 0.045, L = 11.9 m and h = 0.47 m, and for (c,f) Boyd et al.33, λe = 180 mm, D50 = 0.11 mm, θ0 = 0.076, L = 50.7 m and h = 10 m. Legend applies to (d–f); colours in (a–c) are consistent with the legend.
Doucette32, medium-sand field data
The Doucette32 field measurements were taken on a microtidal beach of Wambro Sound, Western Australia, near Perth (run 1) where h = 0.47 m, H = 0.2 m and T = 5.6 s (L = 11.9 m), corresponding to d0 = 0.79 m. The bed was composed of medium sand, with D50 = 0.22 mm (θ0 = 0.045), and the measured ripples had a wavelength of λe = 250 mm. This example case builds on the Wu et al.11 example case by corresponding to both the hydrodynamics and medium grain size of the Dee Estuary UK31. Since d0/D50 = 3591, the ripples were in the suborbital range, where the wavelength is dependent on both the orbital and grain diameters. Notice this wavelength is above Diem’s14 200-mm limit. The methods section demonstrates that, whilst using the Sleath21 predictor for C0 = 0 produces a difference, it is similar to the other two example cases, which are below the Diem14 limit, and so is not considered significant. From interpolation, Pθ in equation (6) is determined to be 10. Figure 2b shows Lt∞ and ALt∞ versus C0 and Fig. 2e shows the L–h phase space, for C0 = 0, 7.4 and 16.3%. These reveal similar behaviour to that of the coarse-grained sand case, but less extreme: in Fig. 2b, Lt∞ is still at its minimum at C0 = 7.4% and ALt∞ shows the same enhancement as in Fig. 2a. The reduction in range between the largest and smallest (C0 = 0% and 7.4%) is by a factor of 2 for both the water-surface wavelength and water depth (Fig. 2e). Again, the actual surface wavelength and water depth (L = 11.9 m, h = 0.47 m) are within all three ranges.
Boyd et al.33, fine-sand field data
The Boyd et al.33 field measurements were undertaken about 1 km from Martinique Beach on the Atlantic coast of Nova Scotia during a period of relative calm (day 167, hour 9) where h = 10 m, H = 0.5 m and T = 6.2 s (L = 50.7 m), corresponding to d0 = 0.32 m. The bed was composed of well-sorted fine sand, with D50 = 0.11 mm (θ0 = 0.076), and the measured ripples had a wavelength of λe = 180 mm. Fine sands are common in many estuaries around the world, for example34. d0/D50 = 2873 puts the ripples into the suborbital range. Assuming that Pθ in equation (6) is the same as for 0.143 mm (Pθ = 6.3), Fig. 2c shows Lt∞ and ALt∞ versus C0 and Fig. 2f shows the L–h phase space, for C0 = 0, 7.4 and 16.3%. Lt∞ in Fig. 2c is still at its minimum at C0 = 7.4%, but, because of far weaker clay enhancement of the threshold for fine sands in equation (6), Lt∞ is largest for C0 = 16.3%. In Fig. 2f, the measured water-surface wavelength and water depth (L = 50.7 m, h = 10 m) are below the threshold curve and outside the range for the C0 = 0 and 7.4% clay contents, and just above the threshold curve and within range for C0 = 16.3%, because, unlike the previous cases, C0 = 16.3% produces the largest Lt∞. Since there was little clay at the field site, the wave conditions were probably below threshold, implying that the observed ripples were relict. This is supported by the fact that Boyd et al.’s33 previous observation at day 167, hour 3, showed the same wavelength and no ripple migration. The reduction in range between the largest and smallest (C0 = 16.3% and 7.4%) is again by a factor of 2 for both the water-surface wavelength and water depth (Fig. 2f).
Discussion
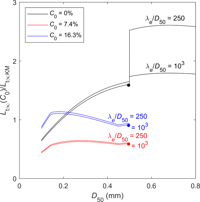
The range of L shown in Fig. 2 is largely controlled by Lt∞, so it is of interest to determine how the change in clay content affects Lt∞, Eq. (7b), compared to the original clean-sand Diem14 method using Komar and Miller29, Lt∞KM, Eq. (13) with C0 = 0%. The net effect is shown as a ratio in Fig. 3 for C0 = 0, 7.4 and 16.3% and 0.1 ≤ D50 ≤ 0.8 mm, for the approximate limits in the range of λe/D50 of 250 and 1,000. There are two competing effects: the reduction because of clay content (Fig. 2) and the increase because of using the Soulsby28 threshold condition rather than the Komar and Miller29. Figure 3 shows a discontinuity for clean sand at D50 = 0.5 mm as a result of Eq. (13), leading to the largest difference (Lt∞ is increased by up to 161% for λe/D50 = 250), which decreases with increasing λe/D50 (although the Diem14 method has rarely been applied for D50 > 0.5 mm). Otherwise for D50 ≤ 0.19 mm, Lt∞ is reduced by up to 36%, and for 0.19 < D50 ≤ 0.5 mm, Lt∞ is increased by up to 64%. For C0 = 7.4%, Lt∞ is consistently decreased by between 35 and 56%, and for C0 = 16.3%, Lt∞ varies only slightly (increased by up to 14%, for 0.12 ≤ D50 ≤ 0.37 mm, and otherwise reduced by up to 15%). The absence of a discontinuity in the present formulation, compared to Diem’s14 original formulation, is clearly preferable. Also, the net effect of the clay on Lt∞ will be stronger for smaller than for larger clay contents. It should be remembered that the present method, like the original Diem14 method, is only applicable to waves alone.
It is important to clarify how a representative clay content, C0, for the ripples should be determined. In the modern environment this usually involves measuring C0 below the active layer (below trough level), as efficient winnowing often removes clay from the body of the ripples during development12. In the geological record, where the method still requires testing, clay content in deposits should be based on primary clay minerals and diagenetic alterations for which it can be established that the original mineral was part of the primary clay fraction. The laboratory experiments used in this study13 are based only on the physical cohesion associated with kaolin, and not the biological cohesion associated with EPS that often occur together with clay in the field35. Since, the effect of EPS can be quite substantial2,9, the present method should be interpreted as a conservative estimate in the field. For instance, Baas et al.35 concluded that ripple development in the field compared to the laboratory was significantly delayed due to the additional presence of EPS leading to a greater enhancement in the threshold of motion, see Eq. (6). EPS delaying development may also challenge the equilibrium wavelength assumption, see Eq. (3). Further study of the effects of combined clay and EPS on wave ripples is thus still required.
Conclusions
Preserved sedimentary bedforms provide important information for reconstructing past hydraulics in subaqueous environments by inverting bedform predictors, but this is usually based exclusively on non-cohesive sand. The present work incorporates the effects of sand-clay mixtures on bedforms, using the experimental results of Wu et al.13 in the non-cohesive inversion method of Diem14 for waves alone. Based on wave breaking and threshold of motion limitations, the Diem14 approach results in ranges for wave conditions. Here we have shown that the inclusion of as little as 7.4% clay in the most extreme case of coarse sand, D50 ≥ 0.45 mm, reduces the possible ranges of water-surface wavelengths and water depths by factors of 3 and 4, respectively. For fine sand, the ranges are reduced by a factor of two. In short, not accounting for the modifying effect of clay in ripple growth and equilibrium geometries, may lead to underestimating the prevailing wave conditions if clay is present.
Methods
Derivation of the Diem14 approach
For linear wave theory, the dispersion relation and the wave-velocity amplitude, U0, are
where σ = 2π/T, d0 = H/sinhkh and k = 2π/L. The wave properties, characterised by equations (8a, b), are subject to two constraints: threshold of motion and wave breaking. For sediment movement U02 > Ut2, where Ut is the threshold wave-velocity amplitude to be determined below, which when combined with equations (8a, b) gives x < tanhkh, Eq. (1a), where x = L/Lt∞ and Lt∞ = πg(d0/Ut)2/2. The wave-breaking criterion36 defines the maximum possible wave steepness as, H/L ≤ 0.142tanhkh, which when combined with d0 and Lt∞ gives x ≥ Acoshkh, Eq. (1b), where A = d0/0.142Lt∞. It will be shown below, that A < 1/2, so if A = (Ut/Um)2/2, where Um = (0.0355πgd0)1/2 is the maximum wave-velocity amplitude (Um > Ut), then Ut < U0 ≤ Um and from Eq. (8b) πd0/Um ≤ T < πd0/Ut.
The limits of the possible values of x can be found by combining Eqs. (1a, b) using the identity 1–tanh2kh = sech2kh, such that the maximum and minimum in x satisfy the equation x4–x2 + A2 = 0, so that xmax, min are
where A < 1/2, for there to be two distinct values. Here, x and kh are in the ranges xmin ≤ x < xmax and arctanhx < kh ≤ arccosh(x/A), respectively. In Fig. 1, for the limiting A = 1/2 (Um2 = Ut2) single-valued case the dot corresponds to x = 2–1/2, from Eq. (9), and kh = arctanh2–1/2 ~ 0.88. Likewise, in the A = 1/4 (Um2 = 2Ut2) case the dots mark xmax, min = (2 ± 31/2)1/2/2~ 0.97, 0.26 and khmax, min = arctanh(xmax, min).
Determination of U t 2 based on Soulsby28
According to Soulsby28, the Shields parameter for the critical threshold of motion of clean sand is
where D* = [(s–1)g/ν2]1/3D50, s = ρs/ρ, ρs and ρ are the sediment and water densities and ν is the kinematic viscosity (~ 1 mm2 s-1). For waves, θ0 = fwUt2/2(s–1)gD50, where fw = 1.39(6d0/D50)–0.52 is the skin friction factor37. Rearranging the θ0 wave expression gives Ut2 as
where B = 60.52(s–1)θ0/0.695 = 3.653(s–1)θ0. Equation (11) can be compared with Eq. (12).
Diem14 threshold of motion constraint
Diem14 used the Komar & Miller29 expression for Ut2, namely
such that with the inclusion of clay Lt∞ = πgd02/2BθUt2, d0 = λe/α and Bθ and α are given by Eqs. (5) and (6), giving Lt∞ as
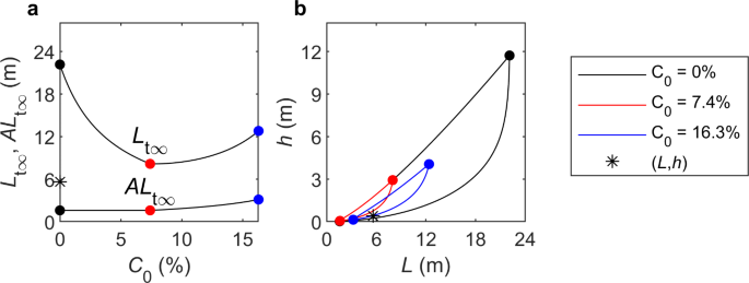
and ALt∞ as λe/0.142[α] remains the same. Figure 4 shows the effect of this parameterisation of the threshold of motion for the first example case of Wu et al.11 depicted in Fig. 2a, d. Unlike Fig. 2d, the measured values of h and L are outside the range predicted for C0 = 7.4%.
Using the Sleath21 expression to predict d 0/λe
This section considers the effect of using the Sleath21 expression for d0/λe when λe ≥ 200 mm and applies it to the three examples considered in the “Results” section for the clean-sand case. In the clean-sand case, according to Diem14, d0/λe can be expressed as
where α0 was taken to be 0.65, but here is 0.61, see Eq. (6), and Rs = (U0d0/2ν)1/2. If λe < 200 mm, then α0–1λe can be substituted for d0, as explained in the main paper. However, for λe ≥ 200 mm, since the d0/λe ratio can change, Diem14 showed that an additional step in the calculation was required. The wave-velocity amplitude must still be in the range Ut < U0 ≤ Um, so that Rs is in the range (Utd0/2ν)1/2 < Rs ≤ (Umd0/2ν)1/2, and therefore from Eq. (14), for λe ≥ 200 mm, d0/λe must be in the range 0.778(Utd0/2ν)0.0755 < d0/λe ≤ 0.778(Umd0/2ν)0.0755. From Eq. (11), Ut = (Bg)0.5d00.26D500.24, where B = 3.653(s–1)θ0, and Um = (0.0355πgd0)0.5, so that the d0/λe range is
where P1 = 0.778(B/4)0.03775, P2 = 0.778(0.0355π/4)0.03775, and the minimum and maximum in the d0/λe range correspond to the threshold of motion and wave breaking, respectively. For a given measured λe, the solution to Eq. (15) requires an iteration starting from d0 = α0–1λe = 1.64λe. Substituting λe(d0/λe)min and λe(d0/λe)max, from Eq. (15), into equations (4a, b,c) allows the threshold of motion and wave breaking scales, Lt∞ and ALt∞, to be expressed as
For each of the three example cases considered in the “Results” section, (d0/λe)min and (d0/λe)max are listed in Table 1, even though the λe ≥ 200 mm condition is only met in the Doucette32 case. In all three example cases, d0/λe = 1.64 lies between (d0/λe)min and (d0/λe)max. The observed and predicted d0/λe are in close agreement, apart from the Doucette32 case, where both the d0/λe range from Eq. (15) and d0/λe = 1.64 underpredict by approximately a factor of two. The values of Lt∞R and ALt∞R from Eqs. (16a, b) and (4b, c) are also given in Table 1. Since these values for Lt∞R and ALt∞R are largely similar in all three cases, this suggests that using the orbital approximation d0/λe = 1.64 for the Doucette32 case is reasonable, even though λe ≥ 200 mm.
Data availability
All data generated or analysed during this study are included in this published article.
References
Collinson, J. & Mountney, N. Sedimentary Structures (Dunedin Academic, 2019).
Vignaga, E. et al. Erosion of biofilm-bound fluvial sediments. Nat. Geosci. 6, 770–774 (2013).
Wiberg, P. L. & Harris, C. K. Ripple geometry in wave-dominated environments. J. Geophys. Res. 99, 775–789 (1994).
Baas, J. H. A flume study on the development and equilibrium morphology of current ripples in very fine sand. Sedimentology. 41, 185–209 (1994).
Perron, J. T., Myrow, P. M., Huppert, K. L., Koss, A. R. & Wickert, A. D. Ancient record of changing flows from wave ripple defects. Geology. 46, 875–878 (2018).
Cuadrado, D. G. Geobiological model of ripple genesis and preservation in a heterolithic sedimentary sequence for a supratidal area. Sedimentology. 67, 2747–2763 (2020).
Allen, P. A. Some guidelines in reconstructing ancient sea conditions from wave ripplemarks. Mar. Geol. 43, 59–67 (1981).
Davies, N. S., Liu, A. G., Gibling, M. R. & Miller, R. F. Resolving MISS conceptions and misconceptions: A geological approach to sedimentary surface textures generated by microbial and abiotic processes. Earth Sci. Rev. 154, 210–246 (2016).
Malarkey, J. et al. The pervasive role of biological cohesion in bedform development. Nat. Commun. 6, 6257. https://doi.org/10.1038/ncomms7257 (2015).
Parsons, D. R. et al. The role of biophysical cohesion on subaqueous bed form size. Geophys. Res. Lett. 43, 1566–1573 (2016).
Wu, X. et al. Wave ripple development on mixed clay–sand substrates: Effects of clay winnowing and armoring. J. Geophys. Res. Earth Surf. 123, 2784–2801 (2018).
Wu, X., Fernández, R., Baas, J. H., Malarkey, J. & Parsons, D. R. Discontinuity in equilibrium wave–current ripple size and shape and deep cleaning associated with cohesive sand–clay beds. J. Geophys. Res. Earth Surf. 127, e2022JF006771 (2022). https://doi.org/10.1029/2022JF006771
Wu, X. et al. Influence of cohesive clay on wave-current ripple dynamics captured in a 3D phase diagram. Earth Surf. Dyn. 12, 231–247 (2024).
Diem, B. Analytical method for estimating palaeowave climate and water depth from wave ripple marks. Sedimentology. 32, 705–720 (1985).
Aspler, L. B., Chiarenzelli, J. R. & Bursey, T. L. Ripple marks in quartz arenites of the Hurwitz group, Northwest Territories, Canada: Evidence for sedimentation in a vast, early Proterozoic, shallow, fresh-water lake. J. Sediment. Res. A64, 282–298 (1994).
Wetzel, A., Allenbach, R. & Allia, V. Reactivated basement structures affecting the sedimentary facies in a tectonically quiescent epicontinental basin: An example from NW Switzerland. Sediment. Geol. 157, 153–172 (2003).
Allen, P. A. & Hoffman, P. F. Extreme winds and waves in the aftermath of a neoproterozoic glaciation. Nature. 433, 123–127 (2005).
Pochat, S. & Van Den Driessche, J. Filling sequence in late paleozoic continental basins: A chimera of climate change? A new light shed given by the Graissessac–Lodève basin (SE France). Palaeogeogr Palaeoclim Palaeoecol. 302, 170–186 (2011).
Lamb, M. P., Fischer, W. W., Raub, T. D., Perron, J. T. & Myrow, P. M. Origin of giant wave ripples in Snowball Earth cap carbonate. Geology. 40, 827–830 (2012).
Miller, M. C. & Komar, P. D. Oscillation sand ripples generated by laboratory apparatus. J. Sediment. Petrol. 50, 173–182 (1980).
Sleath, J. F. A. A contribution to the study of vortex ripples. J. Hydraul Res. 13, 315–328 (1975).
Vittori, G. & Blondeaux, P. On the prediction of the characteristics of sand ripples at the bottom of sea waves. Earth Sci. Rev. 252, 104753. https://doi.org/10.1016/j.earscirev.2024.104753 (2024).
Malarkey, J. & Davies, A. G. A non-iterative procedure for the Wiberg and Harris (1994) oscillatory sand ripple predictor. J. Coast Res. 19, 738–739 (2003).
Mogridge, G. R., Davies, M. H. & Willis, D. H. Geometry prediction for wave-generated bedforms. Coast Eng. 22, 255–286 (1994).
Pedocchi, F. & García, M. H. Ripple morphology under oscillatory flow: 2. Experiments. J. Geophys. Res. 114, C12015. https://doi.org/10.1029/2009JC005356 (2009).
Tanaka, H. & Dang, V. T. Geometry of sand ripples due to combined wave-current flows. J. Waterway Port Coast Ocean. Eng. 122, 298–300 (1996).
Lacy, J. R., Rubin, D. M., Ikeda, H., Mokudai, K. & Hanes, D. M. Bed forms created by simulated waves and currents in a large flume. J. Geophys. Res. 112, C10018. https://doi.org/10.1029/2006JC003942 (2007).
Soulsby, R. Dynamics of Marine Sands: A Manual for Practical Applications (Thomas Telford, 1997).
Komar, P. D. & Miller, M. C. The threshold of sediment movement under oscillatory water waves. J. Sediment. Petrol. 43, 1101–1110 (1973).
Whitehouse, R., Soulsby, R., Roberts, W. & Mitchener, H. Dynamics of Estuarine Muds: A Manual for Practical Applications (Thomas Telford, 2000).
Baas, J. H. et al. Current- and wave-generated bedforms on mixed sand-clay intertidal flats: A new bedform phase diagram and implications for bed roughness and preservation potential. Front. Earth Sci. 9, 747567. https://doi.org/10.3389/feart.2021.747567 (2021).
Doucette, J. S. The distribution of nearshore bedforms and effects on sand suspension on low-energy, micro-tidal beaches in Southwestern Australia. Mar. Geol. 165, 41–61 (2000).
Boyd, R., Forbes, D. L. & Heffler, D. E. Time-sequence observations of wave-formed sand ripples on an ocean shoreface. Sedimentology. 35, 449–464 (1988).
Jago, C. F., Ishak, A. K., Jones, S. E., Goff, M. R. G. & Wales, S. W. An ephemeral turbidity maximum generated by resuspension of organic-rich matter in a macrotidal estuary, Estuaries Coasts 29, 197–208 (2006).
Baas, J. H. et al. Integrating field and laboratory approaches for ripple development in mixed sand-clay-EPS. Sedimentology. 66, 2749–2768 (2019).
Miche, R. Mouvements Ondulatoires De La mer en profondeur constante ou décroissante. Ann. Des. Ponts et Chaussées. 19, 369–406 (1944).
Soulsby, R. L. et al. Wave–current interactions within and outside the bottom boundary layer. Coast Eng. 21, 41–69 (1993).
Acknowledgements
The participation of JM, EMP, XW, RF, JHB and DRP was made possible thanks to funding by the European Research Council under the European Union’s Horizon 2020 research and innovation program (grant no. 725955). Participation of RF was also supported by the Leverhulme Trust, Leverhulme Early Career Researcher Fellowship (grant ECF-2020-679).
Author information
Authors and Affiliations
Contributions
EMP and RF came up with the concept, based on the experiments undertaken by XW and RF, with assistance from JM in the synthesis. DRP provided the funding for the experiments. JM undertook the analysis and wrote the paper. All authors reviewed the manuscript.
Corresponding author
Ethics declarations
Competing interests
The authors declare no competing interests.
Additional information
Publisher’s note
Springer Nature remains neutral with regard to jurisdictional claims in published maps and institutional affiliations.
Rights and permissions
Open Access This article is licensed under a Creative Commons Attribution 4.0 International License, which permits use, sharing, adaptation, distribution and reproduction in any medium or format, as long as you give appropriate credit to the original author(s) and the source, provide a link to the Creative Commons licence, and indicate if changes were made. The images or other third party material in this article are included in the article’s Creative Commons licence, unless indicated otherwise in a credit line to the material. If material is not included in the article’s Creative Commons licence and your intended use is not permitted by statutory regulation or exceeds the permitted use, you will need to obtain permission directly from the copyright holder. To view a copy of this licence, visit http://creativecommons.org/licenses/by/4.0/.
About this article
Cite this article
Malarkey, J., Pollard, E.M., Fernández, R. et al. Effect of bed clay on surface water-wave reconstruction from ripples. Sci Rep 14, 30688 (2024). https://doi.org/10.1038/s41598-024-78821-5
Received:
Accepted:
Published:
Version of record:
DOI: https://doi.org/10.1038/s41598-024-78821-5






