Abstract
The vibration of machine tool spindle is very important for machining. Firstly, in order to explore the relationship between spindle vibration and process parameters, the spindle vibration acceleration when polishing aero-engine blade was measured, and the quadratic polynomial models between the spindle vibration acceleration in X, Y and Z direction and the process parameters were established. Secondly, a quadratic polynomial model for the influence of process parameters on polished surface roughness was also determined. Thirdly, through the Analysis of Variance (ANOVA) and main effect analysis, it can be seen that the spindle speed has the greatest impact on the vibration. Finally, a multi-objective optimization model was established with the optimization objective of minimizing spindle vibration acceleration and polished surface roughness, and the optimal process parameters were solved using genetic algorithm. The optimal process parameters were verified and the results show that the polished surface roughness with the optimal process parameters are all less than 0.4 μm, and the deviation rates between the theoretical optimization results of spindle vibration acceleration and the experimental results are all less than 10%, indicating that the optimization results are good.
Similar content being viewed by others
Introduction
The machine tool spindle vibration directly affects the machining precision, machining quality, production efficiency. The spindle vibration acceleration has a great influence on machining stability and quality of the machine tool, which is the most important factor that affects the precision machine tool to reach its maximum performance, so it is necessary to study how to reduce and control vibration.
Because the dynamic performance of spindle plays an important role in machining process, many scholars have done a lot of research work on spindle system early, and many valuable suggestions are put forward for the design of machine tools. Before 1960s, the design of spindle structure and dynamics mainly depends on experience analogy. In the early 1960s, the optimization of spindle structure mainly uses the calculation of the best support span. Since the 1960s, with the development of computer technology and numerical analysis, especially the introduction of FFT, many spindle design methods have appeared, including structural analysis method and component analysis method, finite element method, influence coefficient method, transfer matrix method.
In 1990, Aini et al.1 determined a five degree of freedom dynamic model for the spindle of precision grinding machine tool while neglecting the mass of the bearing, and designed experiments to study the frequency response of the spindle. In 1992, Spur and Li2 used the structural modification method to analyze the dynamic characteristics of machine tool spindle without considering the bearing stiffness nonlinearity. Sharan3 analyzed the free vibration characteristics of the lathe spindle, and focused on the classification and research of various axle end load characteristics. Wang et al.4 presented a spindle model to analyze the change of bearing stiffness and natural frequency of the system, which points out that the stiffness of rolling bearing decreases with the increase of rotating speed at high speed, resulting in the decrease of natural frequency of spindle system. Gao and Altintas5 established a dynamic model for the bearing rotor system of the motorized spindle, and analyzed the main reasons for the influence on the dynamic stiffness of the spindle. According to Timoshenko beam theory, they obtained dynamic equation of the spindle by Lagrange equation and numerical finite element method. Chen and Hwang6 established a dynamic model for the bearing rotor system and the pull rod mechanism of the motorized spindle, and they found that the centrifugal force would cause the bearing to soften and reduce the overall stiffness and natural frequency of the spindle when the spindle was rotating at high speed. Gao et al.7 developed an eight degree of freedom model to study the dynamic characteristics of the spindle system supported by ball bearings. According to this model, they also studied the influences of bearing clearance, spindle speed and cutting conditions on the dynamic characteristics of the system.Tao et al.8 studied the influence of grinding wheel spindle vibration on ground wafer surface morphology. Firstly, a mathematical model is proposed to analyze the dynamic behaviors of wheel spindle, including radial, axial, and tilting movements. The dynamic response and frequency characteristics of errors caused by vibration are given. Secondly, considering grinding kinematics, randomness of grain size, errors caused by vibration, and overlapping effects, a surface formation model is established. Under the excitation of intermittent cutting force in ultra precision grating machining (UPR), Zhang et al.9 developed a five degree of freedom dynamic model of spindle vibration for gas hydrostatic bearings using linearized Newtown-Euler equations. Miao et al.10 proposed a dynamic model of spindle system for ball head milling considering the nonlinear contact behavior of bearings. The above literature conducted dynamics and dynamic characteristic for machine tool spindle system analysis by structural analysis and component analysis methods.
Wang and Chang11 proposed a dynamic model for spindle-bearing system based on the finite element method under the assumption of no external load and studied the main factors affecting the dynamic characteristics of the spindle. Choi and Lee12 studied the static and dynamic characteristics for the spindle-bearing system by analytical method and finite element method. According to the results of calculation and experiment, it is found that finite element method can better predict the static and dynamic characteristics of the spindle-bearing system. Li13 determined the dynamic model of motorized spindle unit by finite element method, and optimized the bearing position of motorized spindle by genetic algorithm. Gagnol et al.14 proposed a modeling method for high-speed spindle bearing system based on the combination of finite element modal analysis and experimental modal identification. Based on Timoshenko beam element, Cao et al.15 proposed a finite element model of spindle and they analyzed the static displacement, vibration mode and frequency response of motorized spindle under the condition of constant and continuous bearing preload. Cao and Altintas16 presented a comprehensive model for spindle-fixture-tool and cutting process in time domain by finite element method. The model can not only predict frequency response function, but also predict spindle response in time domain. Kang et al.17 made necessary comprehensive analysis on the design of spindle bearing system by combining static analysis with dynamic analysis, and they modeled and analyzed these systems with finite element method. Considering the moving joints nonlinearity and position-dependent dynamics, Miao et al.18 theoretically established analytical models for the workpiece clamping worktable system and the tool clamping column spindle system by a mixed method of lumped parameters and finite element analysis. An integrated model of the entire machine tool dynamics was established by coupling the models of two subsystems with the nonlinear dynamic loads generated during the ball milling process, including the effects of vibration and tool system errors. The above literature established a dynamic model by finite element method and analyzed the dynamic characteristics of the machine tool spindle system. The combination of finite element method and other methods is a development trend.
Based on the Timoshenko beam theory, Jorgensen and Shin19 used the discrete lumped mass influence coefficient method to model the spindle dynamics, and they also proposed a dynamic model for the spindle-bearing coupling system and numerically solved the model. Al-Shareef and Brandon20 analyzed the dynamic characteristics for the spindle bearing system of machine tools by the influence coefficient method, which is verified by Maxwell’s reciprocity theorem. The above literature analyzed the dynamics and dynamic characteristics of machine tool spindle system using the influence coefficient method.
Jiang and Zheng21 determined a dynamic model based on traditional transfer matrix method (TMM) and Jones Harris nonlinear rolling bearing model and studied the effect of extended structural parameters on the vibration characteristics of high-speed motorized spindle bearing system. They also studied the first-order critical speed and dynamic stiffness of high-speed motorized spindle bearing system systematically. Mao22 introduced the distributed mass matrix into Riccati transfer matrix method to model the spindle system of internal grinder and calculated its frequency response function. The above literature analyzed the dynamics and dynamic characteristics of machine tool spindle system by the transfer matrix method.
Many scholars have also established statistical models for machine tool spindle systems using experimental statistical methods, and optimized machining parameters with spindle vibration as the optimization objective. Taking spindle vibration and cutting parameters as influencing factors, and surface roughness, material removal rate, and cutting force as optimizing objectives, Kamble et al.23 conducted experimental research on multi-objective optimization for turning AISI 4340 steel by Taguchi method and fuzzy logic. Walid et al.24 took cutting parameters as factors, tool vibration, machining roughness, and material removal rate as optimization objectives, and used response surface methodology (RSM) for multi-objective optimization of machining parameters in hard turning EN19 alloy steel with coated carbide (GC3015) cutting tools. Basha et al.25 studied the effects of machining and geometric parameters (spindle speed, feed rate, axial cutting depth, radial cutting depth, and radial rake angle) on spindle and worktable vibration from the perspectives of acceleration amplitude and surface roughness. Shankar et al.26 optimized the cutting parameters for turning EN19 hard steel with surface roughness and vibration as the optimization objectives During the end milling process of metal matrix composites (MMC), Sridhar et al.27 used a dual channel piezoelectric accelerometer to measure the vibration amplitude at two positions (spindle and workpiece frame). By linking the input parameters with the output vibration amplitude, an empirical regression model was established, and the process parameters were optimized using particle swarm optimization algorithm to obtain the minimum acceleration amplitude.
The blisk has many characteristics, such as narrow channels, poor openness, mutual shielding, wide chord bending and sweeping; it is also difficult to process and easy to deform. Zhao et al.28, Huai et al.29,30, and Xian et al.31,32,33 introduced an approach to polish the blisk with abrasive cloth wheel using five axis polishing machine. As shown in Fig. 1, the abrasive cloth wheel has a small size, good accessibility, and can penetrate deep into the blisk blade channel to polish surface. Additionally, the abrasive cloth wheel has a certain degree of flexibility, low polishing force, and can avoid over polishing and under polishing, resulting in good polishing quality. For the above characteristics of blisk, this method is especially suitable for polishing blisk. According to the literature review above, the analysis methods for machine tool spindle systems mainly include structural analysis method, component analysis method, finite element method, influence coefficient method, transfer matrix method, and experimental statistical method. The structural analysis method, component analysis method, influence coefficient method, and transfer matrix method theoretically reveal the dynamics and dynamic characteristics of the spindle system, but the process of model establishment and solution is complex, and there is a certain gap between the solution results and the actual results; The finite element method has strong applicability, but it is an approximate solution method with high modeling requirements, high computational costs, and a certain gap between the calculated results and the actual results; although experimental statistical methods cannot reveal the dynamic principles of spindle systems and have poor adaptability, their prediction accuracy is relatively high and they are commonly used in practical machining. At present, there is no relevant research on the vibration of machine tool spindles for the adaptive flexible machining process in polishing blades with abrasive cloth wheel. Based on experimental statistical methods, in this paper, the vibration acceleration of the spindle in polishing process with abrasive cloth wheel was measured under different process parameters; the quantitative model between the spindle vibration acceleration and the process parameters was established; the process parameters were optimized with the optimization objectives of minimizing spindle vibration acceleration and polished surface roughness, which provided some guidance for the selection of the process parameters in the polishing process.
Nomenclature | |||
|---|---|---|---|
n | Spindle speed, r/min | aX | X-direction vibration acceleration, G |
ap | Compression depth, mm | aY | Y-direction vibration acceleration, G |
vw | Feed speed, mm/min | aZ | Z-direction vibration acceleration, G |
Pm | Mesh number of abrasive particle, # | Ra | Polished surface roughness, µm |
Experiment device and scheme
Experiment equipment and materials
The equipment used in this experiment is developed by Northwest Polytechnic University and it is a five axis CNC polishing machine with the three linear axes X, Y and two rotating axes A and C.
Considering the characteristics of blisk mentioned above, the size of the abrasive tool should be small enough to be suitable for machining narrow channels. In addition, the abrasive tool should avoid under-polishing or over-polishing near the area of large curvature, so abrasive cloth wheel is very suitable. The wheel diameter is 13.5 mm, width is 12 mm. The wheels are made of laminated adhesive resin and sand cloth whose abrasive particles are brown corundum of which main component is alumina.
GH4169 is widely used in the manufacture of aeroengine blisk because of its excellent performance. Consequently, the workpiece material in experiment is Nickel-based superalloys GH4169, and the surface of the blade was milled with ball end milling cutter before polishing.The diameter of the ball end milling cutter is 6 mm, and the milling parameters are as follows: spindle speed is 1200 r/min, axial cutting depth is 0.5 mm, and feed speed is 0.03 mm/z. The surface roughness of the blade after milling is about 1 μm.
Experimental principles and procedures
The test principle of spindle vibration is given in Fig. 2. Before the test, the MI-8008-7 multi-channel data acquisition analyzer is connected with the computer, and the relevant acquisition parameters and initialization parameters are set; the acceleration sensors in X, Y and Z directions are pasted on the corresponding positions of the spindle, and then the acceleration sensors are connected with the data acquisition analyzer. In the polishing process, the vibration signal of the spindle is transformed into electrical signal through the acceleration sensor, and then transmitted to the multi-channel data acquisition analyzer through the wire. The sampling frequency is 24,000 Hz. The sensor is a voltage type acceleration sensor. The combined standard uncertainty is 0.013 G. The multi-channel data acquisition analyzer processes and stores these signals, and then the data can be imported into the computer through the data line. The test site diagram is shown in Fig. 3.
The polishing path MN is the geodesic curve track of blade surface, which belongs to drying down polishing, as shown in Fig. 4.
Determination of process parameters
The process parameters in this experiment include spindle speed, compression depth, feed speed and mesh number of abrasive particle for abrasive cloth wheel and the other factors keep constant.
The maximum spindle speed of the machine tool is design to 10,000 r/min. The spindle speed is selected between 4000 r/min and 8000 r/min because the spindle speed range is wide and the polishing efficiency is high.
Abrasive cloth wheels have certain flexibility and the variation of the wheel radius with spindle speed is shown in Fig. 5.
The incremental value of wheel radius is 1 mm to 1.7 mm in Fig. 4. The compression depth is selected between 0.8 mm and 1.6 mm, which can obtain high polishing efficiency and keep the polishing process flexible. In order to obtain stable polishing force signal, high surface quality and high efficiency, the feed speed is set to the range of 100 mm/min and 300 mm/min and the mesh number of abrasive particle is selected between 240# and 600#. Table 1 displays the level of four factors.
Experiment results
Considering that the central composite design can obtain the maximum test variables and test error information with the minimum number of tests, the process parameters of the central composite design method are shown in Table 2.
Figure 6 shows the variation of vibration acceleration with time in X, Y and Z direction for Test 7 in Table 2. The vibration acceleration is different at each time point, and the effective value in the whole time period is taken as the final value. The results are listed in Table 2.
According to Fig. 6, after time t1, when the abrasive cloth wheel is separated from the workpiece, the vibration acceleration of the spindle tends to zero, which means that the spindle vibration is mainly caused by the cutting effect when abrasive cloth wheel is polishing the workpiece, and the spindle vibration is very small when the machine tool is idling. It can be seen from Fig. 6 that the amplitude change of spindle vibration acceleration in X direction is greater than that in Y direction and Z direction. This is because the tangential force has the largest component in X direction, and the polishing process mainly depends on the tangential force. The tangential force is not only related to the process parameters, but also related to the characteristics of the machined surface.
The surface roughness of polished blades was measured for each set of process parameters. The measuring site is shown in Fig. 7, where the green bidirectional arrow represents the moving direction of the measuring probe, and the blue unidirectional arrow represents the deed direction of the grinding tool. During measurement, the measuring probe contacts the measured surface and moves back and forth according to the green arrow, which can measure an area within a range of 1 mm × 1 mm. The three-dimensional and two-dimensional results of polished surface for Test 7 are shown in Figs. 8 and 9. The representing values of roughness, the contour arithmetic mean deviation Ra, are also shown in Table 2.
Analysis for experiment results
Fitting for vibration acceleration of spindle
In order to model the vibration acceleration of spindle, quadratic polynomial model is used to fit the mathematical relationship between vibration acceleration and process parameters. This method has high fitting accuracy and good effectiveness. The general expression of quadratic polynomial is to be
Then, the quadratic polynomial between vibration acceleration and process parameters can be expressed as
Where i is X, Y, Z, which represent three directions of X, Y, Z.
Based on the data in Table 2, the coefficients of Eq. (2) can be obtained by the nonlinear least square method. The results are as follows:
After calculation, it is found that the residual errors of vibration acceleration in X direction are very large, which indicates that Eq. (3) can not be used to predict the vibration acceleration in X direction.
Figure 10 shows the absolute values of residual errors for vibration acceleration of spindle in Y direction and Z direction. Most of the residual errors are less than 0.06 G, which demonstrates the fitting degree of Eq. (4) and Eq. (5) are high.
Significance test of fitting equation
The results of Analysis of Variance (ANOVA) for fitting Eq. (4) is shown in Table 3 and that for Eq. (5) are shown in Table 4. When the confidence level of the bilateral interval is 95%, the values of P for Eq. (4) and Eq. (5) are less than 0.0001. It is generally considered that the term is significant when the P of the test item is less than 0.05 in the model, otherwise, it means that the item is not significant, so the Eq. (4) and Eq. (5) are very significant. Goodness of fit test statistics R2 for Eq. (4) is equal to 93.66% and Adjusted R2 is equal to 84.78%. Goodness of fit test statistics R2 for Eq. (5) is equal to 94.38% and Adjusted R2 is equal to 86.52%. The values of R2 and Adjusted R2 for Eq. (4) and Eq. (5) are close to 1, which indicates that the fitting degree of the two fitting equations is very good and the validity is very high.
The P of the spindle speed n in Tables 3 and 4 are also less than 0.0001 and are smallest in all items, which means that spindle speed is the most significant item.
Analysis for interaction effect among process parameters
Figures 11 and 12 shows the interaction effect with the fitting mean value of vibration acceleration for spindle as the response and the spindle speed, compression depth, feed speed and the mesh number of abrasive particle as factors, and the ordinates in the Figs. 11 and 12 are the fitting mean value. When the response to one factor at a certain level depends on the level of other factors, which means that there is interaction among factors. In the interaction diagram, if parallel lines are displayed, there is no interaction; the greater the degree of deviation from the parallel state is, the greater the interaction is. In other words, the greater the acute angle among the lines in the interaction diagram is, the greater the interaction is. It can be seen from the Figs. 11 and 12 that the acute angles among the lines are not large, which indicates that the interaction among the four process parameters is not large.
Analysis for main effect of process parameters
Figures 13 and 14 show the main effects of the four process parameters. It can be seen that the fitting mean value of vibration acceleration is the most sensitive to the change of spindle speed, that is, the spindle speed has the greatest influence on the fitting mean value of vibration acceleration, and the fitting mean value of vibration acceleration is not sensitive to the changes of the other three process parameters. This is because the abrasive cloth wheel is bonded by many pieces of abrasive belts. The higher the speed is, the more times each piece of abrasive belt contacts and separates from the workpiece in a unit time, which increases the vibration acceleration value.
Experimental verification
According to the actual polishing experience, Eq. (4) and Eq. (5) are verified by selecting appropriate process parameters. The experimental results are shown in Table 5. The comparisons between the predicted values and the measured values are shown in Figs. 15 and 16. It can be seen from Figs. 15 and 16 that the maximum deviations for Y-direction and Z-direction vibration acceleration of spindle are not more than 30%, and most of them are less than 10%. Therefore, there is no significant difference between the predicted values and the measured values, and the prediction model has high accuracy.
Process parameter optimization
In the polishing process, spindle vibration have a significant impact on machining quality, tool life, and machine tool stability, so reducing vibration is an objective for polishing. In addition, the main objective of polishing is to reduce surface roughness, so a smaller polished surface roughness is also an objective for polishing. Similarly, the quadratic polynomial model of polished surface roughness with respect to process parameters can be written by
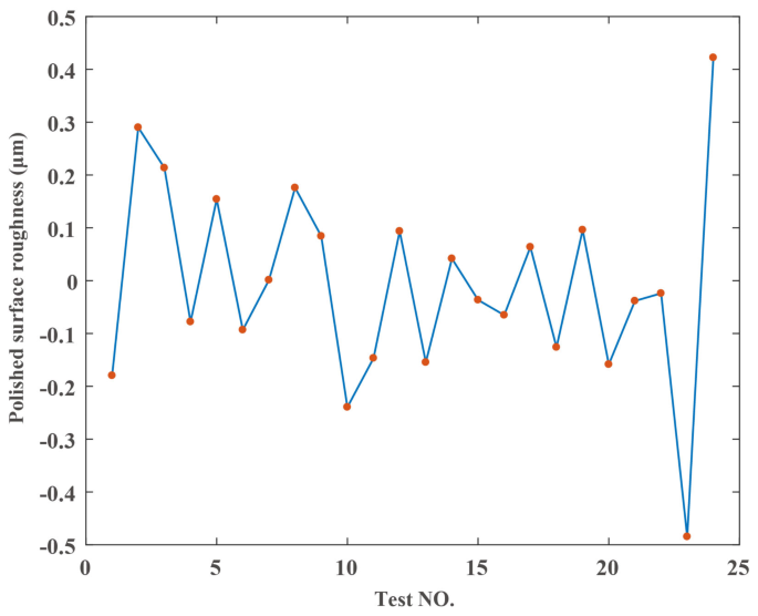
The residual errors of polished surface roughness model Eq. (6) are shown in Fig. 17. From the figure, it can be seen that the absolute values of residual errors between the predicted values and measured values are both less than 0.5 μm, which indicates a relatively high prediction accuracy of the model.
The optimization model is established with the objective of minimizing the spindle vibration acceleration and the polished surface roughness, as shown in the following equation:
Using genetic algorithm to solve the multi-objective optimization problem (7), the pareto process parameters values and objective function values can be obtained as shown in Table 6.
The engineering application requires that polished surface roughness should be less than 0.4 μm. According to Table 6, the polished surface roughness of the 10th, 11th, 15th, 17th, 18th, 19th, 20th, and 23rd optimization results are all less than 0.4 μm; According to literature34, vibration in the Y direction with appropriate amplitude can effectively reduce polished surface roughness, while vibration in the Z direction can increase polished surface roughness. Therefore, it is necessary to ensure that vibration in the Z direction is minimized. Then the optimal process parameters are the 15th and 23rd sets of process parameters.
The optimal values of spindle speed, compression depth and feed speed can be realized by program, while the mesh number of abrasive particle can only be selected as discrete values, such as 400#, 425#, 460#, 500#. The theoretical optimal values are 446.901 # and 474.768 #, and the mesh number of abrasive particle closest to the optimal values is 460 #. The optimal compression depth is set as 0.9 mm. Then the actual optimal process parameters are shown in Table 7. The optimal process parameters are used for validation and the spindle vibration acceleration when polishing and polished surface roughness are measured as shown in Table 7.
From the experimental results in Table 7, it can be seen that the polished surface roughness with the optimal process parameters are all less than 0.4 μm, and the deviation rates between the theoretical optimization results of spindle vibration acceleration and the experimental results are all less than 10%, indicating that the optimization results are good.
Discussion and conclusion
Spindle vibration is of great significance to the polishing process. There is still a lack of research on the vibration of the process for adaptive flexible polishing aeroengine blades using abrasive cloth wheels. This article used experimental statistical methods to study the spindle vibration. This article actually measured the spindle vibration acceleration and polished surface roughness when polishing blade. The quadratic polynomial models between the effective values of the Y-direction and Z-direction spindle vibration acceleration and the process parameters were established. ANOVA tables show that the models have a good fitness and high prediction accuracy. There is interaction between the four process parameters, but the interaction is not significant. Through the main effect analysis, it can be seen that the spindle speed has the greatest impact on vibration, and the ANOVA for the model shows that the spindle speed is the most significant. The conclusions of the main effect analysis and ANOVA are consistent. With the objective of minimizing the spindle vibration acceleration and the polished surface roughness, the optimal process parameters were obtained and verified. The deviation rates between the theoretical optimization results of spindle vibration acceleration and the experimental results are all less than 10%, which indicates that the optimization results are good. It can provide guidance for selecting reasonable process parameters. The spindle acceleration models established in this paper are essentially an empirical model, which fails to reveal the dynamic causality of spindle vibration. In the future, it is necessary to establish the dynamic equation of spindle vibration, so as to obtain analytical solutions under different process parameters.
Data availability
The datasets generated and/or analyzed during the current study are not publicly available but are available from the corresponding author on reasonable request.
References
Aini, R., Rahnejat, H. & Gohar, R. An experimental investigation into bearing-induced spindle vibration. Proc. Inst. Mech. Eng. Part C-J. Eng. Mech. Eng. Sci. 209(2), 107–114 (1995).
Spur, G. & Li, H. Calculation of the spindle bearing system: Determination of static and dynamic performance by structural modification method. Foreign Bear. 4, 6–11 (1991).
Sharan, A. M. Dynamic behavior of lathe spindles with elastic supports including damping by finite element analysis. Shock Vib. Bull. 51, 83–97 (1981).
Wang, K. W., Shin, Y. C. & Chen, C. H. On the natural frequencies of high-speed spindles with angular contact bearings. Proc. Inst. Mech. Eng. Part C 205(3), 147–154 (1991).
Gao, Y. Z. & Altintas, Y. A general method for the modeling of spindle-bearing systems. J Mech Des, Trans ASME 126(6), 1089–1104 (2004).
Chen, J. S. & Hwang, Y. W. Centrifugal force induced dynamics of a motorized high-speed spindle. Int. J. Adv. Manuf. Technol. 30, 10–19 (2006).
Gao, S. H., Meng, G., Li, H. G., Jin, J. P. & Long, X. H. Non-linear dynamics of an unbalanced machine-tool spindle system supported by ball bearings. Proc. Inst. Mech. Eng. Pt K-J. Multi-Body Dyn. 222(3), 201–214 (2008).
Zhang, L., Liu, W. Y., Chen, J. B. & Fang, Q. H. Subsurface damage in grinding of brittle materials considering machining parameters and spindle dynamics. Int. J. Adv. Manuf. Technol. 97, 3723–3734 (2018).
Zhang, S. J., Zhang, L. & To, S. Modelling of Spindle Vibration and Cutting Mechanism in Ultra-Precision Raster Milling Fly Cutting Technology for Ultra-precision Machining. Precision Manufacturing 45–58 (Springer, 2023).
Miao, H. H. et al. Dynamic modeling and nonlinear vibration analysis of spindle system during ball end milling process. Int. J. Adv. Manuf. Technol. 121, 7867–7889 (2022).
Wang, W. R. & Chang, C. N. Dynamic analysis and design of a machine tool spindle-bearing system. J. Vib. Acoust. Trans. ASME 116(3), 1–274 (1994).
Choi, J. K. & Lee, D. G. Characteristics of a spindle bearing system with a gear located on the bearing span. Int. J. Mach. Tools Manuf. 37(2), 171–181 (1997).
Li, C. W. Optimization of bearing locations for maximizing first mode natural frequency motorized spindle bearing systems using genetic algorithm. Appl. Math. 5, 2137–2152 (2014).
Gagnol, V., Belhassen, C. B., Ray, P. & Barra, C. Modelling approach for a high speed machine tool spindle-bearing system. Proc. Int. Des. Eng. Tech. Conf. Comput. Inf. Eng. Conf. 47381, 305–313 (2005).
Cao, H., Holkup, T. & Altintas, Y. A comparative study on the dynamics of high speed spindles with respect to different preload mechanisms. Int. J. Adv. Manuf. Technol. 57, 871–883 (2011).
Cao, Y. & Altintas, Y. A general mothod for the modeling of spindle-bearing systems. J. Mech. Des. 126(6), 1089–1104 (2004).
Kang, Y., Chang, Y. P., Tsai, J. W., Chen, S. C. & Yang, L. K. Integrated CAE strategies for the design of machine tool spindle-bearing systems. Finite Elem. Anal. Des. 37(6–7), 485–511 (2001).
Miao, H. H. et al. Nonlinear dynamic modeling and vibration analysis of whole machine tool. Int. J. Mech. Sci. 245, 108122 (2023).
Jorgensen, B. R. & Shin, Y. C. Dynamics of spindle-bearing systems at high speeds including cutting load effects. J. Manuf. Sci. Eng. Trans. ASME 120(2), 387–394 (1998).
Al-Shareef, K. J. H. & Brandon, J. A. On the effects of variations in the design parameters on the dynamic performance of machine tool spindle-bearing systems. Int. J. Mach. Tools Manuf. 30(3), 431–445 (1990).
Jiang, S. Y. & Zheng, S. F. Dynamic design of a high-speed motorized spindle-bearing system. J. Mech. Des. 132(3), 034501 (2010).
Mao, H. J. Dynamic Modeling and Optimization of New Generation CNC Internal Grinder (Southeast University, 2001).
Kamble, P. D., Waghmare, A. C., Askhedkar, R. D. & Sahare, S. B. Multi objective optimization of turning AISI 4340 steel considering spindle vibration using taguchi-fuzzy inference system. Mater. Today Proc. 2(4–5), 3318–3326 (2015).
Azizi, M. W., Keblouti, O., Boulanouar, L. & Yallese, M. A. Design optimization in hard turning of E19 alloy steel by analysing surface roughness, tool vibration and productivity. Struct. Eng. Mech. 73(5), 501–513 (2020).
Zeelanbasha, N. B., Senthil, V. & Mahesh, G. A hybrid approach of NSGA-II and TOPSIS for minimising vibration and surface roughness in machining process. Int. J. Oper. Res. 38(2), 221 (2020).
Shankar, N. V. S., Shankar, H. R., Pavan Kumar, N. & Saichandu, K. Process parameter optimization for minimizing vibrations and surface roughness during turning EN19 steel using coated carbide tool. Mater. Today Proc. 24, 788–797 (2020).
Sridhar, R., Subramaniyan, S. P. & Ramesh, S. Optimization of machining and geometrical parameters to reduce vibration while milling metal matrix composite. T Indian I Metals 72(12), 3179–3189 (2019).
Zhao, T. et al. Surface roughness prediction and parameters optimization in grinding and polishing process for IBR of aero-engine. Int. J. Adv. Manuf. Technol. 74, 653–663 (2014).
Huai, W. B., Shi, Y. Y., Tang, H. & Lin, X. J. Prediction of surface roughness ratio of polishing blade of abrasive cloth wheel and optimization of processing parameters. Int. J. Adv. Manuf. Technol. 90, 699–708 (2016).
Huai, W. B., Shi, Y. Y., Tang, H. & Lin, X. J. An adaptive flexible polishing path programming method of the blisk blade using elastic grinding tools. J. Mech. Sci. Technol. 33, 3487–3495 (2019).
Xian, C., Shi, Y. Y., Lin, X. J. & Liu, D. Experimental study on energy partition of polishing aero-engine blades with abrasive cloth wheel. Int. J. Adv. Manuf. Technol. 106, 1839–1853 (2020).
Xian, C., Shi, Y. Y., Lin, X. J. & Liu, D. Force modeling for polishing aero-engine blades with abrasive cloth wheels. Int. J. Adv. Manuf. Technol. 106, 5255–5267 (2020).
Xian, C., Shi, Y. Y., Lin, X. J. & Liu, D. Modeling bulk modulus of abrasive cloth wheel and polished surface roughness for polishing blade with abrasive cloth wheel. Int. J. Adv. Manuf. Technol. 128, 5301–5314 (2023).
Xiao, G. J. et al. Study on surface creation law of planar two-dimensional ultrasonic-assisted abrasive belt grinding. J. Mater. Process Technol. 312, 117847 (2023).
Acknowledgements
This work was jointly supported by the National Natural Science Foundation of China (NO.51675439), the National Science and Technology Major Project of China (NO.2015ZX04001003), and the Science Research Launch Fund of Hubei University of Arts and Science (NO.2059192).
Author information
Authors and Affiliations
Contributions
Conceptualization, C.X.; methodology, C.X.; software, C.X. and D.L; validation, C.X. and D.L; formal analysis, C.X.; investigation, C.X. and H.X.; resources, H.X.; data curation, C.X. and D.L.; writing-original draft preparation, C.X.; writing-review and editing, C.X and D.L.; visualization, C.X. and D.L.; supervision, H.X.; project administration, H.X.; funding acquisition, H.X. All authors have read and agreed to the published version of the manuscript.
Corresponding author
Ethics declarations
Competing interests
The authors declare no competing interests.
Additional information
Publisher’s note
Springer Nature remains neutral with regard to jurisdictional claims in published maps and institutional affiliations.
Rights and permissions
Open Access This article is licensed under a Creative Commons Attribution-NonCommercial-NoDerivatives 4.0 International License, which permits any non-commercial use, sharing, distribution and reproduction in any medium or format, as long as you give appropriate credit to the original author(s) and the source, provide a link to the Creative Commons licence, and indicate if you modified the licensed material. You do not have permission under this licence to share adapted material derived from this article or parts of it. The images or other third party material in this article are included in the article’s Creative Commons licence, unless indicated otherwise in a credit line to the material. If material is not included in the article’s Creative Commons licence and your intended use is not permitted by statutory regulation or exceeds the permitted use, you will need to obtain permission directly from the copyright holder. To view a copy of this licence, visit http://creativecommons.org/licenses/by-nc-nd/4.0/.
About this article
Cite this article
Xian, C., Liu, D. & Xin, H. Optimization of process parameters for polishing aero-engine blade with abrasive cloth wheel considering spindle vibration and polished roughness. Sci Rep 14, 27388 (2024). https://doi.org/10.1038/s41598-024-78850-0
Received:
Accepted:
Published:
Version of record:
DOI: https://doi.org/10.1038/s41598-024-78850-0
Keywords
This article is cited by
-
Predictive maintenance programs for aircraft engines based on remaining useful life prediction
Scientific Reports (2025)
-
Simulation for polished surface roughness of aeroengine blade considering abrasive tool vibration
The International Journal of Advanced Manufacturing Technology (2025)



















