Fig. 2
From: Composite dietary antioxidant index and obesity among U.S. adults in NHANES 2007–2018

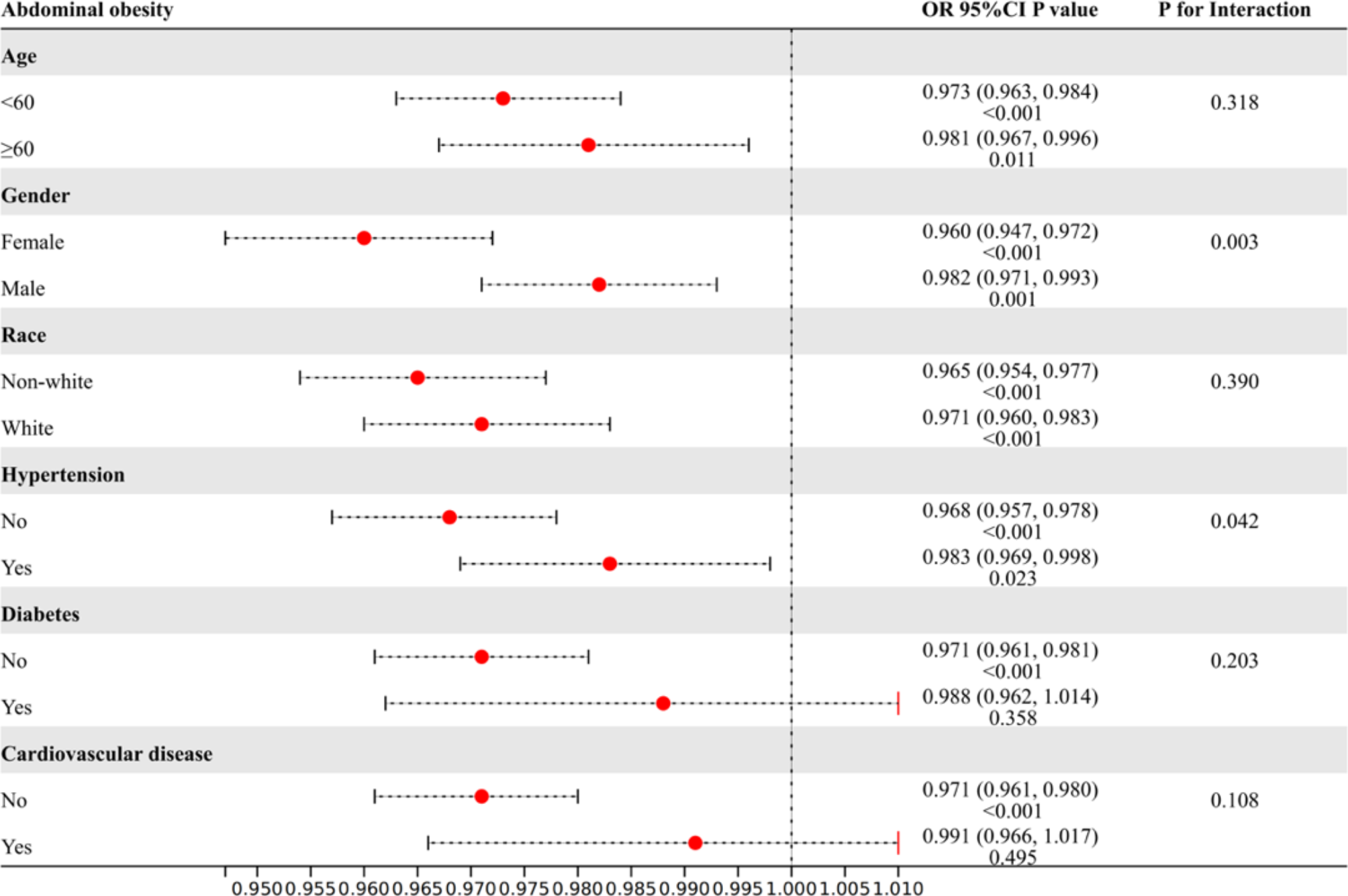
Subgroup analyses between CDAI and abdominal obesity.
From: Composite dietary antioxidant index and obesity among U.S. adults in NHANES 2007–2018

Subgroup analyses between CDAI and abdominal obesity.