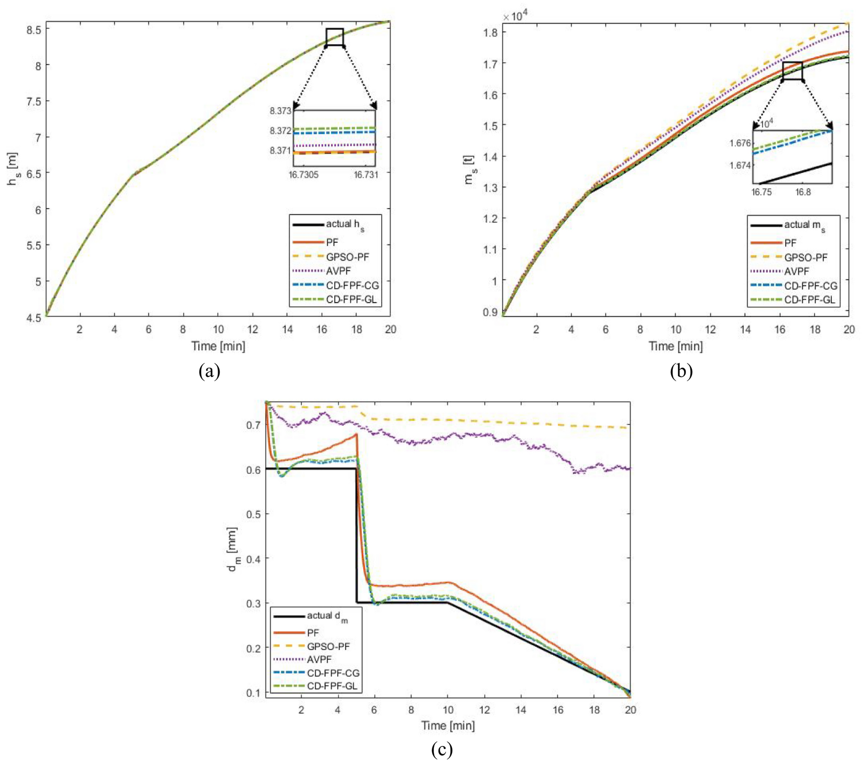
Fig. 13

Comparison of the estimates from BPF, GPSO-PF, APF, CD-FPF-CG and CD-FPF-GL with the actual state of the system for the constant-volume stage. (\(w_{5}\) = 0.015 mm, \(T_{s}\) = 1 s).

Comparison of the estimates from BPF, GPSO-PF, APF, CD-FPF-CG and CD-FPF-GL with the actual state of the system for the constant-volume stage. (\(w_{5}\) = 0.015 mm, \(T_{s}\) = 1 s).