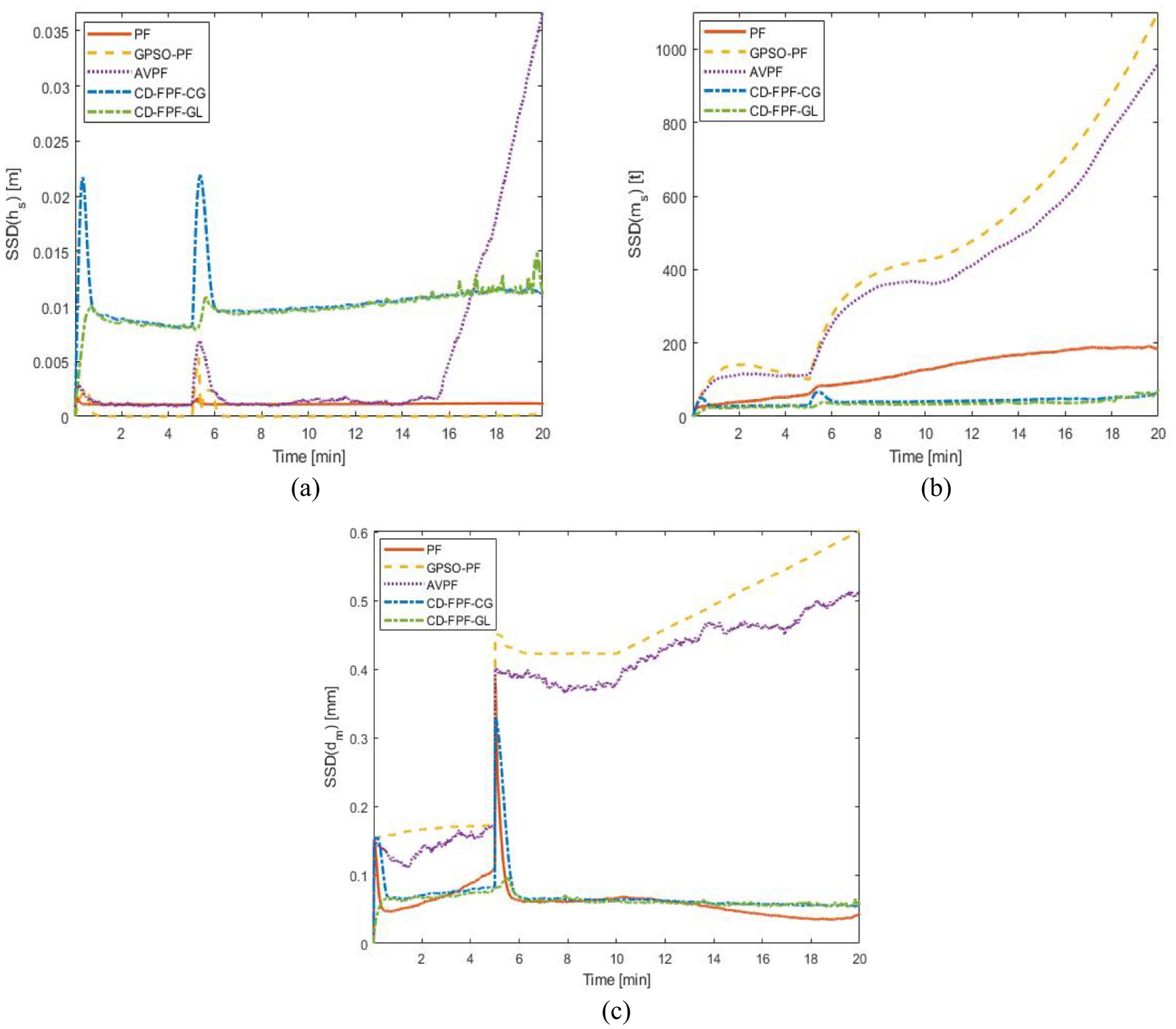
Fig. 16

Comparison of the SSDs from BPF, GPSO-PF, APF, CD-FPF-CG and CD-FPF-GL for the constant-volume stage. (\(w_{5}\) = 0.015 mm, \(T_{s}\) = 1 s).

Comparison of the SSDs from BPF, GPSO-PF, APF, CD-FPF-CG and CD-FPF-GL for the constant-volume stage. (\(w_{5}\) = 0.015 mm, \(T_{s}\) = 1 s).