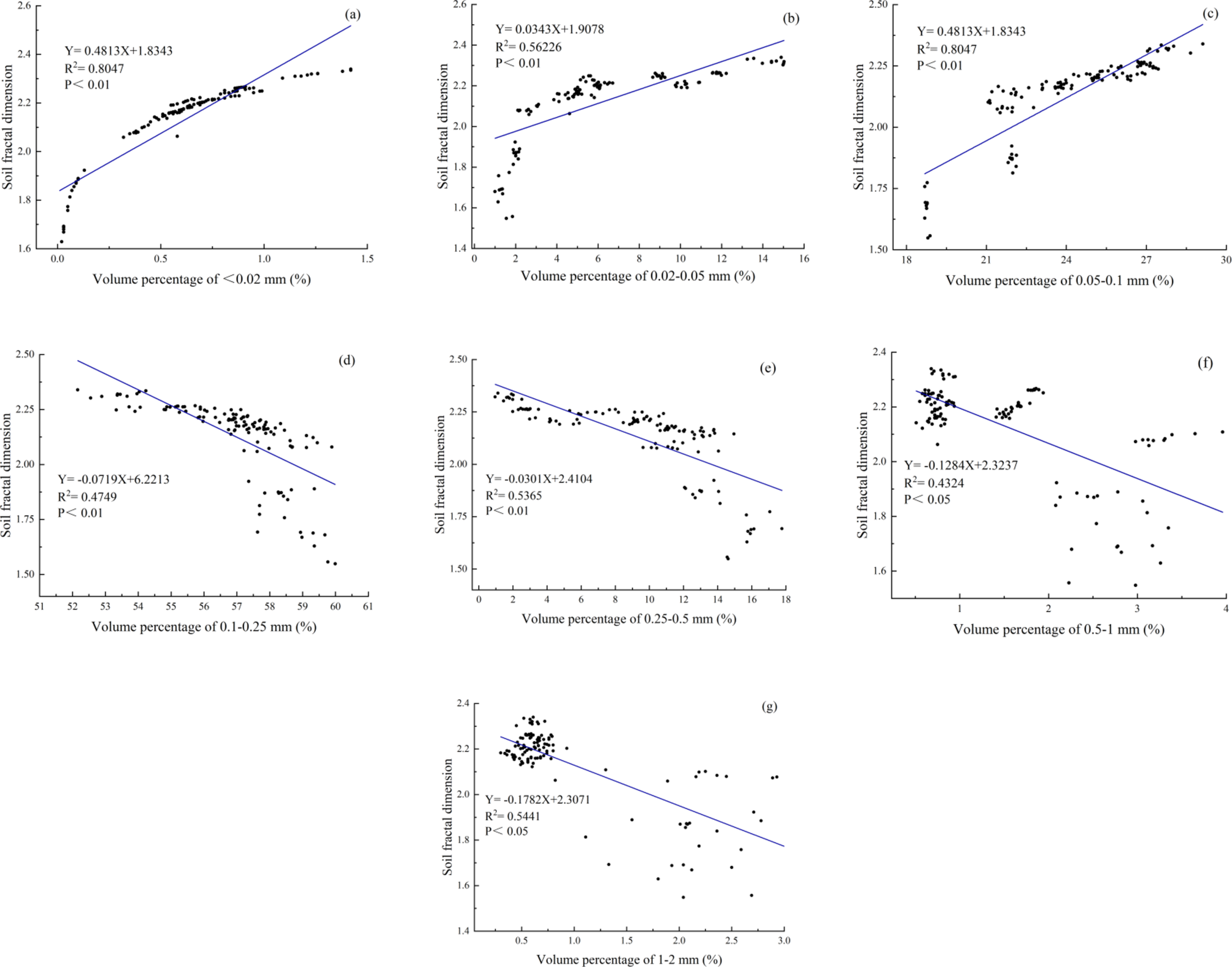
Fig. 4

The relationship between the soil fraction grain percentage and fractal dimension: (a) clay (r < 0.02 mm); (b) silt (0.02 mm < r < 0.05 mm); (c) very fine sand (0.05 mm < r < 0.1 mm); (d) fine sand (0.1 mm < r < 0.25 mm); (e) medium sand (0.25 mm < r < 0.5 mm); (f) coarse sand (0.5 mm < r < 1 mm); and (g) very coarse sand (1 mm < r < 2 mm).