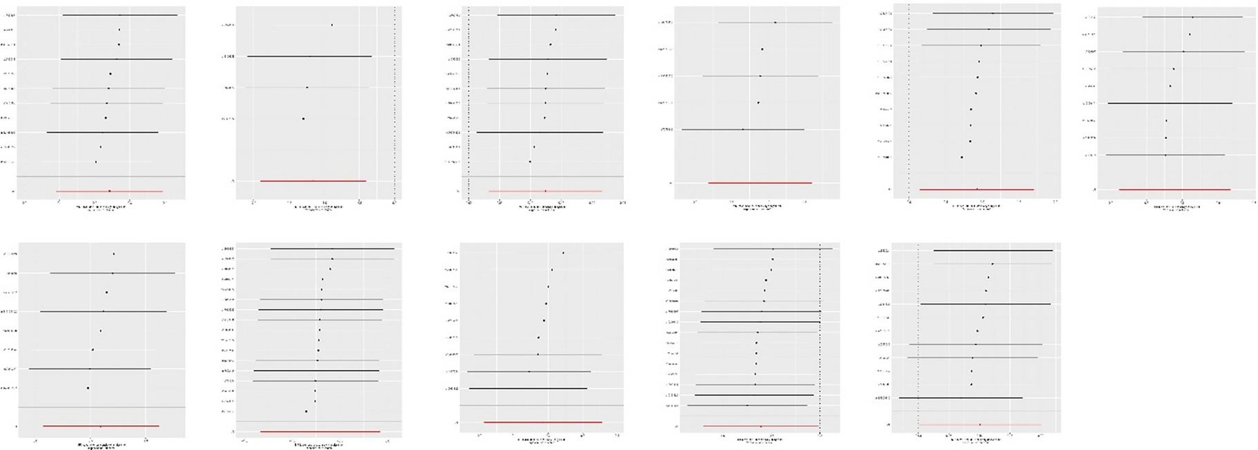
Fig. 10

Leave-one-out analysis visulizing the Mendelian randomization (MR) estimates of the different exposures (A Staphylococcus A fleuretti abundance in stool; B AR31 abundance in stool; C CAG-274 sp000432155 abundance in stool; D Photobacterium abundance in stool; E Acetobacteraceae abundance in stool; F Dysgonomonadaceae abundance in stool; G NK4A144 abundance in stool; H Leptospirae abundance in stool; I CAG-81 sp000435795 abundance in stool; J Leptospirales abundance in stool; K: CAG-873 sp001701165 abundance in stool) with the outcome (Guillain–barre syndrome).