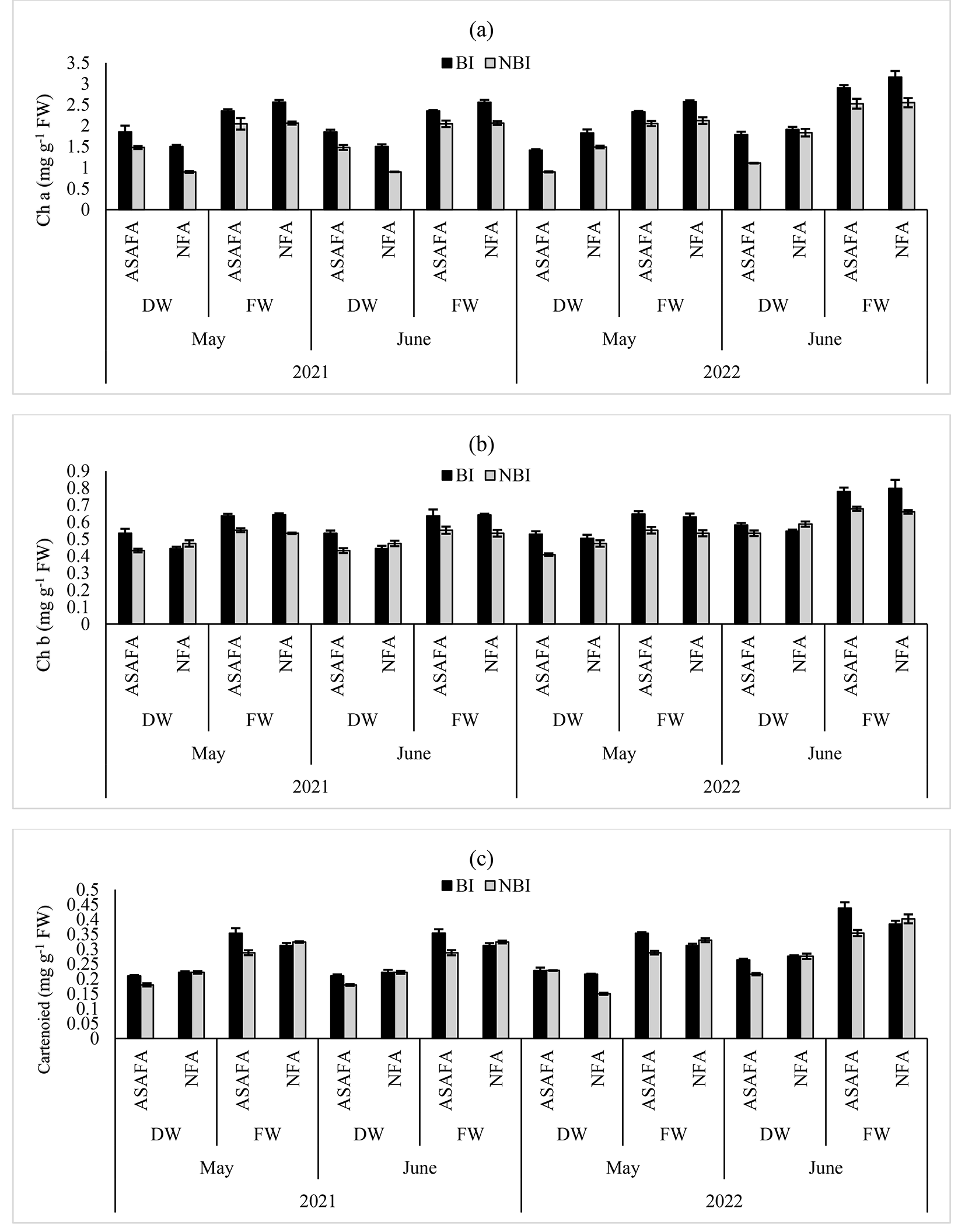
Fig. 3

Effects of deficit watering (DW) and full watering (FW), with or without hormone application (ASAFA for acetylsalicylic acid foliar application and NFA for no foliar application), and bacteria inoculation (BI) versus non-bacteria inoculation (NBI) on the contents of chlorophyll a (a), chlorophyll b (b), and carotenoids (c) in common beans during May and June of 2021 and 2022.