Fig. 8
From: Learning uplinks and downlinks transmissions in RF-charging IoT networks

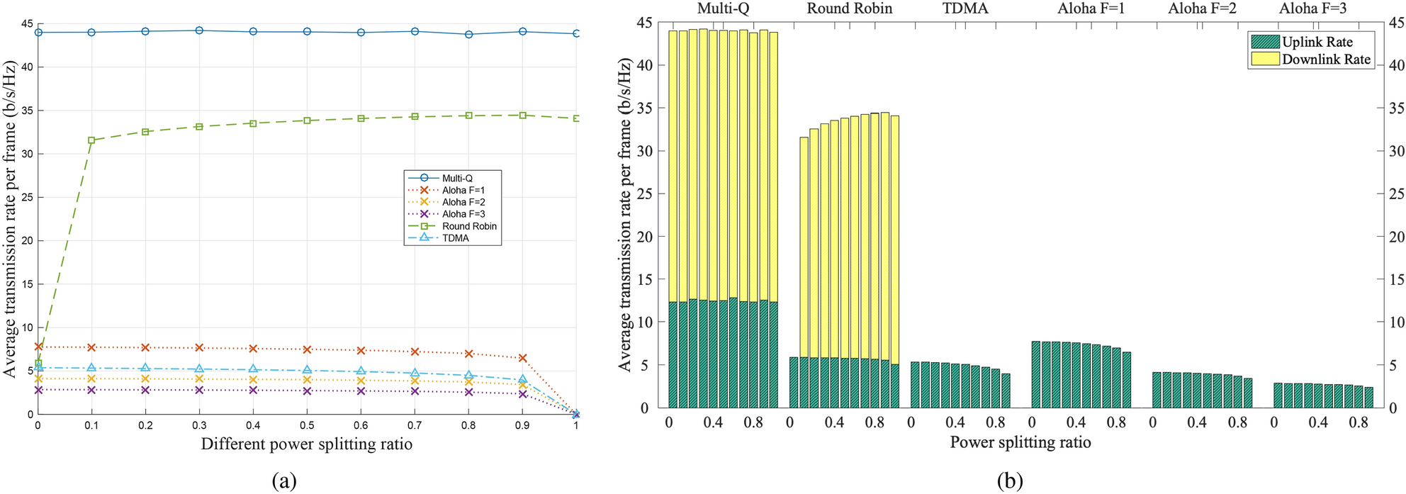
The impact of different power split ratios on the (a) average sum rate per frame and (b) average uplink rate and downlink rate per frame, respectively. The HAP transmission power is 3Â W. The frame size for TDMA and Aloha is three, and the path loss exponent is \(n=2.7\).