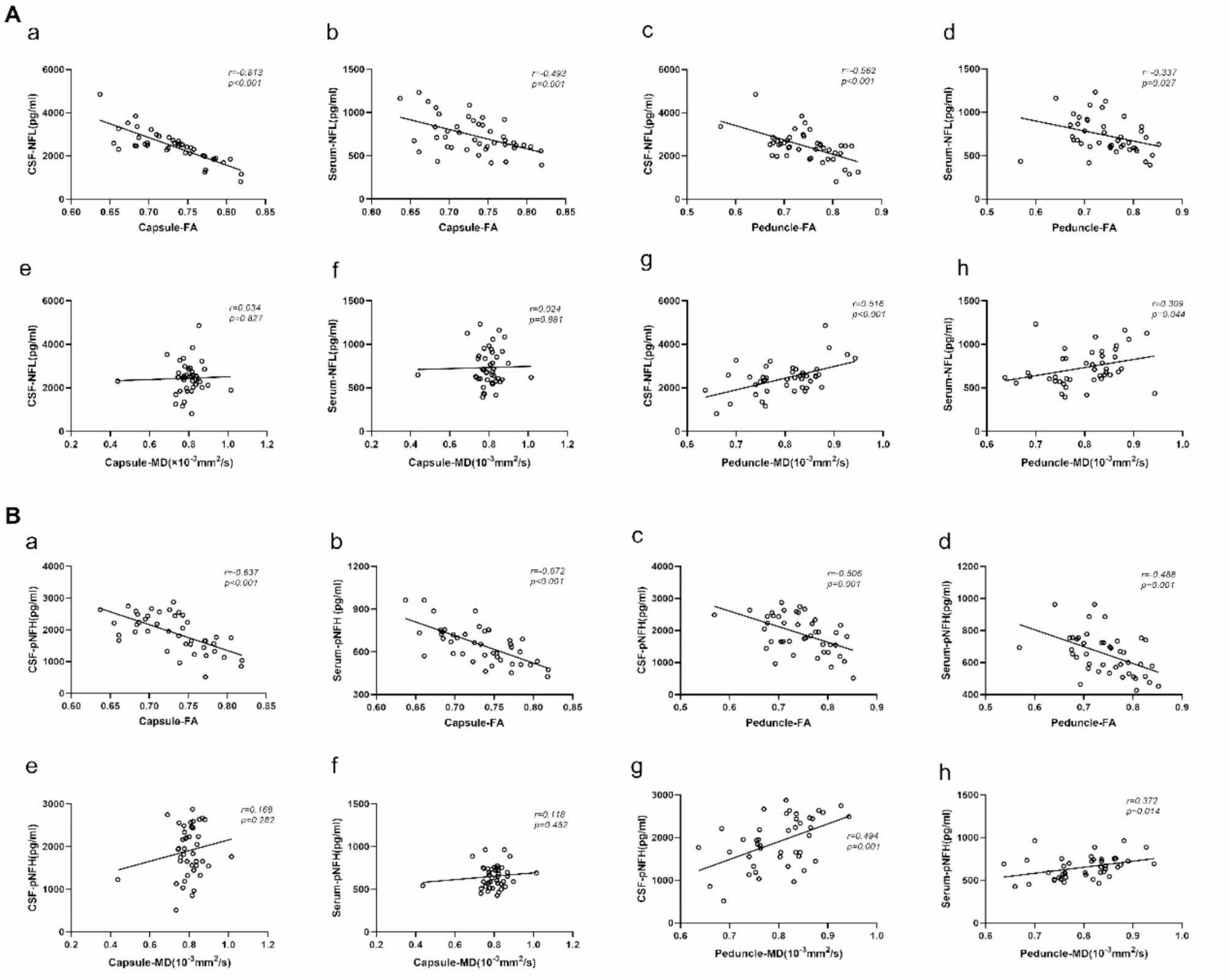
Fig. 4

(A) Correlation between DTI parameters and NFL level. Capsule-FA and CSF-NFL (a), Capsule-FA and Serum-NFL (b), Peduncle-FA and CSF-NFL (c), Peduncle-FA and Serum-NFL (d), Capsule-MD and CSF-NFL (e), Capsule-MD and Serum-NFL (f), Peduncle-MD and CSF-NFL (g), Peduncle-MD and Serum-NFL (h). (B) Correlation between DTI parameters and pNFH levels. Capsule-FA and CSF-pNFH (a), Capsule-FA and Serum-pNFH (b), Peduncle-FA and CSF-pNFH (c), and Peduncle-FA and Serum-pNFH (d), Capsule-MD and CSF-pNFH (e), Capsule-MD and Serum-pNFH (f). Peduncle-MD and CSF-pNFH (g), Peduncle-MD and Serum-pNFH (h).