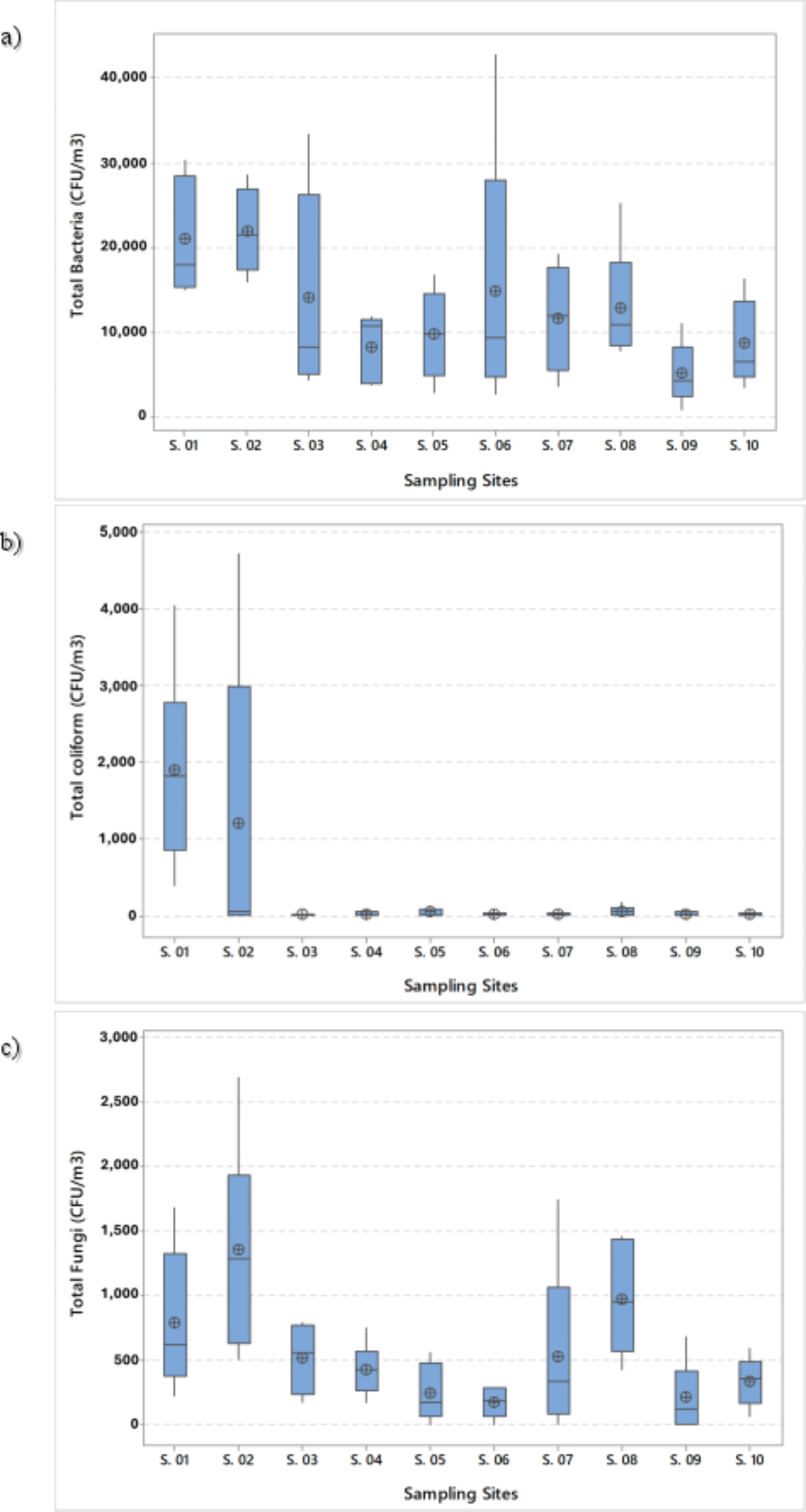
Fig. 3

Box plot for (a) total bacteria counts, (b) total coliform counts, and (c) total fungi counts per each sampling site (vertical boxes representing approximately 50% of the observations, whiskers extending from the box roughly represent the upper and lower 25% of the distribution, median values indicated by the horizontal line inside the box, and a circle-cross symbols represent the means).