Fig. 2
From: Heart rate dynamics for cognitive load estimation in a driving simulation task

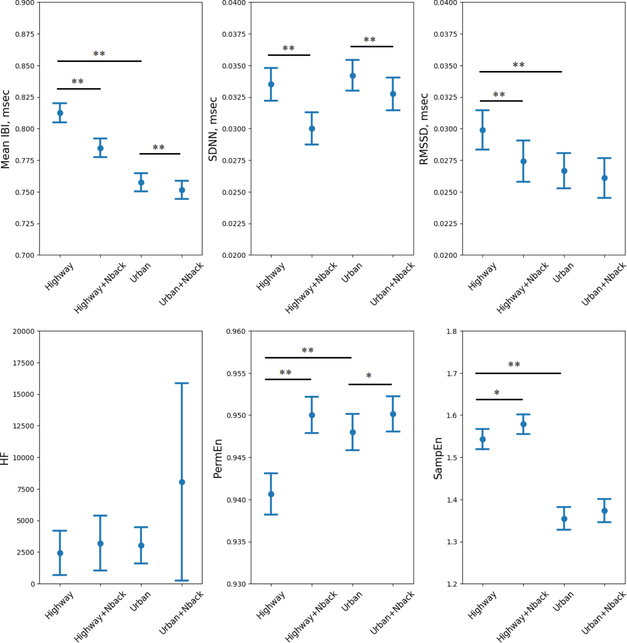
Mean IBI, SDNN, RMSSD, HF, PermEn and SampEn calculated for shorter windows of analysis (30 s for time- and frequency- or 30 IBIs for non-linear domain metrics) within the four driving stages. Mean values +-2SE are shown. Mean IBI and RMSSD are consistently lower and PermEn is consistently higher in driving stages with increased CL: Highway vs. Highway + Nback, Urban vs. Urban + Nback, and Highway vs. Urban. Paired t-test, **p < 0.001, *p < 0.01.