Fig. 3
From: Heart rate dynamics for cognitive load estimation in a driving simulation task

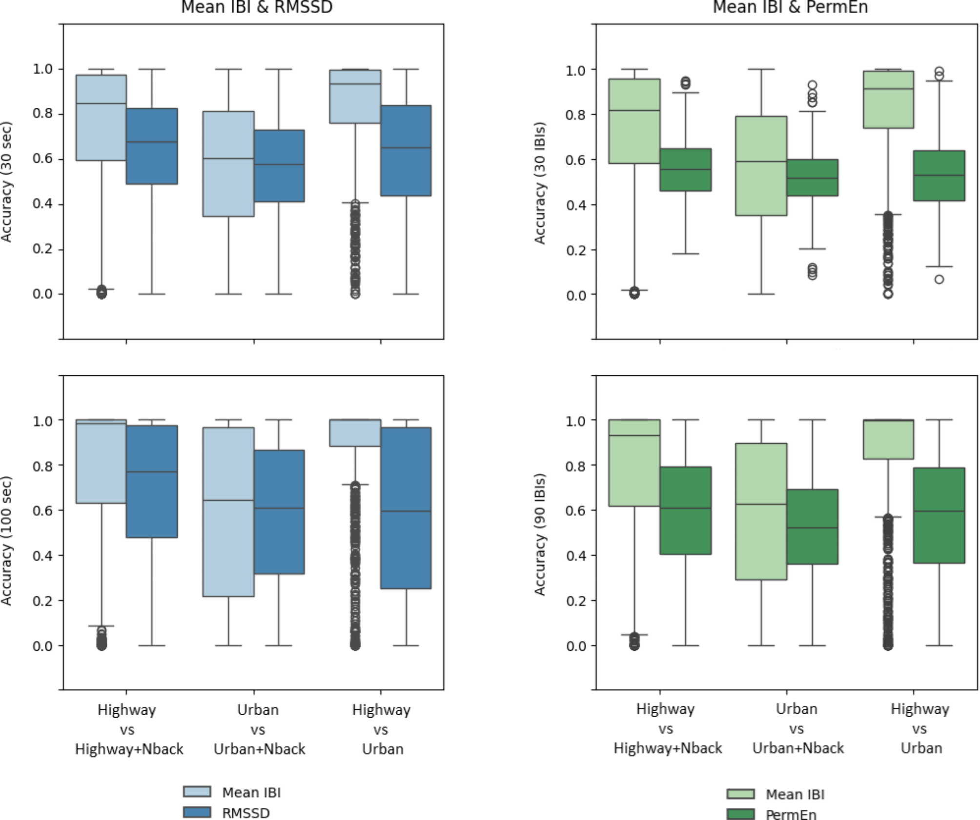
Distributions of within-subjects accuracy values for Mean IBI, RMSSD and PermEn.
From: Heart rate dynamics for cognitive load estimation in a driving simulation task

Distributions of within-subjects accuracy values for Mean IBI, RMSSD and PermEn.