Abstract
Functionally graded porous structures are at the forefront of material innovation, providing a flexible solution to suit the wide range of requirements in modern engineering applications. The capacity of these materials to integrate customized porosity with variable mechanical properties not only improves performance but also promotes improvements in performance, efficiency, and durability. One of the main contributions of this research its a comprehensive method of including porosity effects in the thermal buckling load analysis of functionally graded plates. Also, this study aims to apply the Quasi-3D theory to investigate the influence of porosity on the thermal critical buckling load of functionally graded plates. The plates demonstrate microscopic heterogeneity, with material characteristics changing continually according to a modified polynomial function. The primary goal is to investigate how different porosity distributions (even, uneven, and logarithmic uneven) influence the thermal critical buckling load under different thermal load circumstances. The governing equations are derived using a Quasi-3D deformation theory that takes into account transverse normal strain. Navier’s method is used to investigate simply supported FG plates, both perfect and imperfect, under uniform, linear, and nonlinear thermal loads. Numerical simulations are used to calculate the thermal critical buckling for various geometries, thermal loading conditions and porosity characteristics. The results show that the porosity distribution has a substantial influence on increasing the thermal critical buckling load of FG porous plates. The model of even porosity distribution has the largest thermal critical buckling load, whereas the model of logarithmic-uneven porosity distribution has the lowest thermal critical buckling load, indicating that such distributions should be carefully considered in FGM design. The type of thermal loading condition applied to the plate has a significant impact on the thermal critical buckling of the plate. Moreover, various geometries, volume fraction index, and inclusion of thickness stretching are considered to examine the effect on the thermal critical buckling load response. Comparisons with literature are added to validate the accuracy of numerical findings. This research has the potential to offer comprehensive reference and useful guidance in the design and application of FG porous plate structures.
Similar content being viewed by others
Introduction
Functionally graded materials (FGMs) are composite materials with spatially distinct variations in their material composition and structure, making their properties more advanced. The volume fractions of the constituent phases in the material are continually varied to produce this gradual change in the material’s characteristics. FGMs are characterized by a nonhomogeneous composition that varies continually from one surface to another. This differs from ordinary composite materials, which have a distinct boundary between the different parts. The gradual variation in the composition of FGMs offers a smooth shift in characteristics that include thermal conductivity, coefficient of thermal expansion, Young’s modulus, and fracture resistance.
Research on the impact of the thermal critical buckling load on functionally graded (FG) structures is essential, as the pre-stress states that result from changes in temperature in the working environment are one of the primary causes of buckling in these structures. Javaheri and Eslami1 used the third-order theory of Reddy to obtain the thermal critical buckling load of FG plates. Matsunaga2 employed 2D higher-order FG theory to investigate the critical temperatures of FG plates. Zhang et al.3 used a local Kriging meshless approach to analyze FG plates’ mechanical and thermal critical buckling loads. Javaheri and Eslami4 used classic plate theory to obtain the thermal critical buckling load of FG plates. Zhao et al.5 investigated the mechanical and thermal critical buckling loads of functionally graded plates utilizing the first-order shear deformation theory and the element-free kp-Ritz approach. Lee et al.6 investigated the thermal critical buckling load of FG plates with temperature-dependent materials using the finite element (FE) method and a neutral surface. Yu et al.7 used first-order shear deformation theory and isogeometric analysis to examine the thermal critical buckling load of FG plates with internal cuts. Farrokh8 applied the Carrera unified formulation with the finite element technique to explore the thermal critical buckling load of the FG plates. Zenkour and Mashat9 investigated the thermal critical buckling load of FG plates using higher-order plate theory. Bouiadjra et al.10 applied a four-variable refined plate theory to obtain the thermal critical buckling load of FG plates. Tati11 analyzed the buckling of rectangular FG plates subjected to mechanical and thermal loads. The analysis employs a four-node finite element approach using a simple high-order shear deformation theory. The thermal critical buckling load of FG plates resting on elastic foundations was investigated in12,13,14.
Porous structures have become significant tools in science and engineering because of their unique properties, which improve performance, efficiency, and sustainability across a variety of applications. Their constant development is revealing new opportunities across several sectors. Turan15 applied trigonometric shear deformation theory to investigate the critical buckling of porous orthotropic two-layered cylindrical panels. The porosities in this model are distributed according to both uniform and non-uniform patterns. Turan16 used hyperbolic shear deformation theory to examine the effects of porosity on the critical buckling load of orthotropic laminated plates. Thermal conditions can significantly affect the structural reliability and load-carrying capacity of porous structures. Song and She17 investigated the nonlinear frequency and chaotic dynamics of graphene platelet-reinforced metal foam plates in thermal environments. Their work demonstrated the influence of the temperature impact, volume fraction, and porosity coefficient on the nonlinear dynamics of rotating plates.
The incorporation of porosity in functionally graded structures is important, as it can affect these advanced materials’ mechanical, thermal, and functional properties. Researchers can manipulate the distribution of holes in a structure to purposefully introduce or regulate certain qualities, such as better thermal insulation, increased fluid permeability, or optimum mechanical performance. Understanding the fundamental concepts, the ways in which material composition and processing techniques interact, and the intended performance goals are crucial for porosity design and optimization in FG structures. Computational modeling and simulation are essential for predicting and understanding the response of complex systems. They allow for the creation of new materials and structures that have improved attributes and performance. In the ongoing evolution of the field of FG structures, the control and characterization of porosity will remain critical components of research and development. This will facilitate the design and fabrication of materials and structures with unparalleled capabilities across various applications.
Hadji et al.18 examined the impact of porosity on the nonlinear thermal critical buckling load of FG plates. Ngo et al.19 investigated the thermal critical buckling load of rectangular FG porous plates (imperfect FG plates). This work applies the Reissner–Mindlin plate theory with the radial point interpolation technique (RPIM). Hadji et al.20 used a trigonometric shear deformation plate theory with the finite element method to investigate the multi-directional functionally graded porous plates’ thermal critical buckling load response. Chedad et al.21 used the four-variable refined plate theory to explore the porosity influence on the buckling of FG sandwich plates under a nonlinear thermal condition. The thermal critical buckling load of FG porous plates with three distinct porosity distributions was studied using a four-variable shear theory by Saad and Hadji22. Fu et al.23 analyzed the behavior of stiffened sandwich functionally graded porous materials (FGPM) with a doubly-curved shell and a re-entrant honeycomb auxetic core using Hertz’s theory and the first-order shear deformation theory (FSDT). Wang and Teng24 analyzed the thermal critical buckling load and vibration of rectangular nanoplates with porous FG using Eringen’s nonlocal elastic theory. Saberi et al.25 applied the finite strip technique to evaluate thick nanoplates’ mechanical and thermal critical buckling loads. This analysis incorporates Eringen’s nonlocal elasticity theory and third-order shear deformation theory. Ertenli and Esen26 applied a novel sinusoidal high-order shear theory to investigate the thermal critical buckling load response of sandwich porous plates with FGM face layers. Hirannaiah et al.27 examined the thermo-mechanical vibration and buckling response of FG sandwich plates with cutouts by an FE method. Wattanasakulpong28 employed the Gram-Schmidt-Ritz technique to analyze the sandwich skew plate’s thermal critical buckling load and vibration with FG porous cores. Singh and Harsha29 discussed the impact of porosity and temperature changes on the buckling responses of the new modified sigmoid function-based FG sandwich plates. Recent studies have focused buckling analysis of thermally loaded FG porous shells30,31,32,33,34,35,36,37 and beams38,39,40,41,42,43,44,45. Several studies have considered both thermal and mechanical loads or have considered only thermal loads46,47,48,49,50,51,52,53,54.
Quasi-3D theories have been formulated to overcome the limitations of traditional 2D and 3D models, especially in the investigation of thick plates. These models maintain fundamental elements of three-dimensional elasticity while simplifying mathematical analysis. Hai Van and Hong55 applied refined Quasi 3D theory to analyze the buckling and free vibration of non-uniform thickness 2D-FG sandwich porous plates utilizing a novel finite element model. Zenkour and Aljadani56 reported the buckling response of FG porous sandwich plates using a Quasi-3D refined theory. The buckling of FG porous plates based on Winkler–Pasternak foundations was examined by Vu et al.57 using a novel quasi-3D theory. Radwan58 applied a nonlocal strain gradient theory to explore the free vibration, mechanical and thermal buckling responses of FG porous nanoscale plates based on an elastic medium.
In recent years, functionally graded materials (FGMs) have drawn significant popularity due to their distinctive characteristics, which include the capacity to customize their properties to meet the specific needs of particular applications. One of the most critical aspects of functionally graded plates is their response to thermal loading, particularly in the context of thermal critical buckling load. The application of porosity gradients in functionally graded structures provides innovative solutions in a variety of engineering domains. These applications leverage the distinctive mechanical and thermal characteristics of FGM structures to enhance performance, efficiency, and functionality in essential sectors. Examples of these applications include the Aerospace industry, such as turbine blades in turbine engines utilising porous FG to enhance thermal insulation and decrease weight. The external layer may be engineered for increased porosity to provide heat protection, but its inner layers preserve strength and structural integrity. Moreover, In the electronics sector, FG porous structures can be used as thermal management solutions for electrical devices. Their graded thermal conductivity may contribute to effective thermal dissipation, enhancing the performance and reliability of sensitive electronic parts. Furthermore, vehicle parts may be made of FG with porosity to manufacture lightweight vehicle components.
Existing studies have made valuable contributions; however, there remains numerous knowledge about the FG porous plate deficits that require further investigation. The role of porosity in the buckling of thermally loaded functionally graded plates remains unexplored.
One of the main contributions of this research is the use of a comprehensive method to include porosity effects in the thermal buckling analysis of FG plates. Previous studies have frequently regarded FG as a perfect material, neglecting the impact of porosity on thermal stress distribution and stability. Through the explicit consideration of porosity, this study presents insight into how different pore configurations might modify thermal gradients and, subsequently, the buckling response of the plates. Moreover, this study aims to apply the Quasi-3D theory to investigate the porosity influence of the thermal critical buckling load of functionally graded plates. This research utilizes Quasi-3D theory for the first time to connect traditional 2D and comprehensive 3D analyses, facilitating a more precise depiction of the mechanical behavior of FG plates. This method increases the prediction capacity for buckling processes under thermal loads by capturing the impacts of both through-thickness and in-plane variations. The examination of porosity distributions will focus on three particular forms: even, uneven, and logarithmic uneven distributions. The governing equations will be developed. The thermal critical buckling load of a simply supported functionally graded porous plate will be conducted using Navier’s technique. Calculations will be performed to assess the influence of porosity, thickness stretching inclusion, volume fraction index and geometric factors on the thermal critical buckling load under uniform, linear, and nonlinear thermal loadings.
This study provides practical design guidance for engineers utilizing functionally graded materials in thermal environments, highlighting the significance of porosity in improving the mechanical performance of structures. These findings may be directly utilized in practical engineering applications, including aerospace and mechanical parts, where functionally graded plates are exposed to thermal loading, which enhances safety and performance. Understanding porosity effects helps optimize material selection and processing procedures, resulting in more effective resource utilization in engineering applications.
Mathematical analysis
Consider rectangular perfect and imperfect FG plates of dimensions \([0, a]\times [0, b]\times [-h/2,h/2]\) in the coordinates \((x,y,z)\) as in Fig. 1. The FG plate materials are ceramic and metal; the upper plane is fully ceramic; the lower plane is entirely metal, and the plate materials vary continuously across the thickness direction. The porosity distribution of an imperfect FG plate is characterized by three distinct forms: even, uneven, and logarithmic-uneven distributions. The model includes the impact of porosity on mechanical and thermal characteristics. The imperfect FGM properties \(\mathcal{P}(z)\) vary across the z direction according to a modified polynomial function as follows59
The FG plate configurations and porosity distributions.
-
(i)
The even porous FG model (Imperfect I)
-
(ii)
The uneven porous FG model (Imperfect II)
In the uneven distribution model, porosities could be distributed functionally across the thickness of the FG plate as follows.
-
(iii)
The logarithmic-uneven porous FG model (Imperfect III)
A logarithmic function is used to expand the uneven model for the distribution of porosities as follows:
where \(\mathcal{P}\) represents the properties of the material such as Young’s modulus \(E(z)\) and thermal expansion \(\alpha (z)\) and where \(h\) is the plate’s thickness. The letters "c" and "m" stand for ceramic and metal, respectively. Moreover, \(0\le \tau \ll 1\) indicates the porosity volume fraction parameter, and the perfect FG plate properties are obtained by setting \(\tau =0\). \(\mathfrak{r}\) is the volume fraction index that describes the FG material change characterization over the thickness \(z\) of the plate \((0\le \mathfrak{r}\le \infty )\).
The quasi-3D theory for perfect and imperfect FG plates
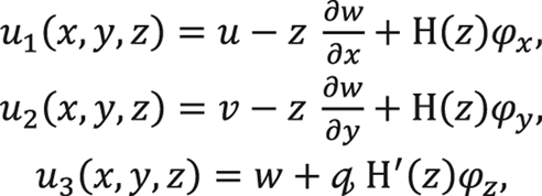
The displacement field in the Cartesian coordinate system \((x, y, z)\) may be expressed using the Quasi-3D theory as follows60:

The transverse normal rotations about the \(y\),\(x\), and \(z\) axes are represented by \({\varphi }_{x}\), \({\varphi }_{y}\) and \({\varphi }_{z}\), respectively. The in-plane displacements of the inner plane are \(u\), \(v\) and \(w\) \((z=0)\), while the displacements in the directions of \(x\), \(y\), and \(z\) are \({u}_{1}\), \({u}_{2}\) and \({u}_{3}\). The hyperbolic shape function \(\text{H}\left(z\right)=h \text{sinh}\left(\frac{z}{h}\right)-z \text{cosh}(1/2)\) describes the transverse shear stress or strain distributions across the thickness of the plate61. This shape function ensures that both the transverse shear strains \({\gamma }_{yz}\) and \({\gamma }_{xz}\) are equal to zero on the plate’s upper surface \((z=h/2)\) and lower surface \((z=-h/2)\).
includes transverse shear and normal stresses (3D theory), while
only considers transverse shear deformation (2D theory). Assuming linear structural kinematics, the strain–displacement relations are given in linearized form as follows60.
whereas
The perfect and imperfect FG plates’ linear constitutive equations (3D model) are determined as follows:
Normal stresses and strains are expressed by \({\sigma }_{i}\) and \({\varepsilon }_{i}\), while shear stresses and strains of the plate are indicated by \({\tau }_{ij}\) and \({\gamma }_{ij}\), where \(i, j = x, y\), and \(z\). The thermal expansion is \(\alpha (z)\) and the temperature rise across \(z\) axis is \(T\). The elastic constants \(\mathfrak{e}\) of the three-dimensional model are62
The constitutive constants \(\mathfrak{e}\) for the two-dimensional model can be expressed as follows62:
where \(E(z)\) denotes Young’s modulus and where \(v\) represents Poisson’s ratio which is considered to be fixed across the entire thickness of the structure.
Governing equations
The equilibrium equations may be found by using the total potential energy principle as follows:
The external forces work is expressed as \({\mathbb{F}}\), whereas the strain energy is referred to \({\mathbb{E}}\).
where \(\mathcal{K}={\mathcal{K}}_{1}\frac{{\partial }^{2}w}{\partial {x}^{2}}+2{\mathcal{K}}_{12}\frac{{\partial }^{2}w}{\partial x\partial y}+{\mathcal{K}}_{2}\frac{{\partial }^{2}w}{\partial {y}^{2}}\) and \({\mathcal{K}}_{1}\), \({\mathcal{K}}_{2}\) and \({\mathcal{K}}_{12}\) are the membrane forces caused by in-plane end loads. The following equation is obtained by inserting Eq. (5) into Eq. (11) and integrating across the \(z\)-direction.
After integration by parts of the results and setting the coefficients of \(\delta u\), \(\delta v\), \(\delta w\), \(\delta {\varphi }_{x}\), \(\delta {\varphi }_{y}\) and \(\delta {\varphi }_{z}\) to zero, separately. We have the current theory’s equilibrium equations as follows:
where the stress and moment resultants are established as
Equations (5–7) are inserted into Eq. (14), then integration over the thickness yields
where the stiffnesses of perfect and imperfect FG plates are stated as
Exact solutions for the thermal critical buckling load of perfect and imperfect FG plates
The thermal critical buckling load problem may be solved via Navier’s method. In order to apply this approach, the following simply supported boundary conditions must be required at the ends.
The expressions for displacements that satisfy the boundary criteria are selected as
where \({\lambda }_{m}=\frac{m\pi }{a}\), \({\mu }_{n}=\frac{n\pi }{b},\) \(m\) and \(n\) are the mode numbers. \(U\), \(V\), \(W\), \(X\), \(Y\) and \(Z\) may calculated by substituting Eq. (18) into Eq. (13); the results are as follows:
where \(\{{\mathbb{E}}\}={\left\{U, V, W, X, Y,Z\right\}}^{t}\), and the elements of the symmetric matrix \(\left[\zeta \right]\) appear as
This system of equations is an eigenvalue problem. The buckling is given by the eigenvalues, and the thermal critical buckling load is represented by the smallest eigenvalue.
Thermal environment loadings
Uniform thermal loading
As the temperature of the model increases uniformly, the perfect and imperfect FG plate buckles when its initial temperature \({T}_{i}\) reaches the highest value \({T}_{h}\). The temperature difference is shown as63
Linear and nonlinear thermal loadings
If \({T}_{u}\) and \({T}_{l}\) indicate the upper and lower surface temperatures of the perfect and imperfect FG plates, the temperature field distribution over the thickness of linear and nonlinear thermal rise over the thickness is expressed as63
in which \(\Delta T={T}_{u}-{T}_{l}\) is the temperature difference and \(\gamma\) is a thermal exponent. The thermal loading changes linearly across the thickness when \(\gamma =1\). On the other hand, a nonlinear thermal change across thickness is represented by the value of (\(0<\gamma <\infty\), \(\gamma \ne 1\)).
Results and discussions
This section discusses the thermal critical buckling load analysis of simply supported plates made of perfect and imperfect FG materials. The FG plate is made of Aluminum \((Al)\) as a metal and Alumina \((A{l}_{2}{O}_{3} )\) as a ceramic. The upper surface is ceramic-dominant and the bottom surface is metal-dominant. The plates exhibit microscopic heterogeneity, with material characteristics varying continually according to the power law and a modified polynomial function. These configurations provide a distinctive opportunity to explore how material variations affect the structural response under different thermal conditions. The perfect and imperfect plates are subjected to three distinct thermal environmental loadings along the \(z\)-axis (i.e., uniform, linear, and nonlinear). The imperfect FG model includes the impact of porosity on mechanical and thermal characteristics. Different porosity distributions, including even, uneven, and logarithmically uneven distributions, are considered to study the effect of the thermal critical buckling load. The present theory considers the influence of shear and normal strains on the thermal critical buckling load of perfect and imperfect plates. The impact of various geometries, volume fraction index, prosity parameter and inclusion of thickness stretching on the thermal buckling critical load behavior will be examined. Comparisons with literature will be presented to validate the accuracy of numerical findings. The present results are compared with several higher-order shear deformation models and classical plate theory to verify the accuracy of the current results. Table 1 provides Young’s modulus \(E\), coefficient of thermal expansion \(\alpha\), and Poisson’s ratio \(\nu\) for considered material properties. When the temperature rises linearly or nonlinearly across the thickness, the metal-rich surface of the plate experiences a 5 °C increase (\({T}_{l}=5^\circ \text{C}\)). Unless we specify differently, we shall assume \(a / b = 2\), \(a / h = 10\), \({\mathfrak{T}}_{cr}={10}^{-3} {\mathcal{T}}_{cr}\) and \(\tau = 3\).
Tables 2, 3 and 4 demonstrate the thermal critical buckling load response of perfect FG plates under various forms of thermal environmental loadings (uniform, linear, and nonlinear), considering various volume fraction index values \(\mathfrak{r}\) and plate thickness ratios \(a/h\). Tables 2 and 3 display the thermal critical buckling of a square perfect FG plate subjected to the uniform and linear temperature rise with various values of volume fraction indices and plate thickness ratios \(a/h\). It is seen that the thermal critical buckling load reduces when the volume fraction index \(\mathfrak{r}\) rises. This pattern is seen across several thickness ratios for both uniform and linear thermal loadings. The reduction in \({\mathcal{T}}_{cr}\) with the increase of \(\mathfrak{r}\) can be related to the material characteristics of the FG plate. The upper layer, which is ceramic dominant, has a greater modulus of elasticity than the metal-rich bottom layer. As \(\mathfrak{r}\) rises, the stiffness of the plate decreases due to the elevated percentage of the lower stiffness material (metal). As a result, the plate becomes more prone to buckling under thermal stress, leading to a reduced critical load. Additionally, both tables show a decrease in \({\mathcal{T}}_{cr}\) with increasing thickness ratio value \(a/h\). For example, as the value \(a/h\) goes from 10 to 100 (thick to thin plates), the thermal critical buckling loads \({\mathcal{T}}_{cr}\) substantially decrease for all values of \(\mathfrak{r}\). A higher value of \(a/h\) (thin plate) reduces the plate’s durability against buckling due to reduced stiffness.
The thermal critical buckling load for perfect FG plates exposed to nonlinear temperature load for various aspect ratios \(a/b\), temperature exponent \(\gamma\), and volume fraction index values \(\mathfrak{r}\) is shown in Table 4. As the value of volume fraction index \(\mathfrak{r}\) raises, the thermal critical buckling load reduces. Lower \({\mathcal{T}}_{cr}\) values reported at greater \(\mathfrak{r}\) indicate an adverse impact of decreasing overall stiffness resulting from increased metal content. The thermal critical buckling load is directly proportional to the rise in the ratio of \(a/b\). The increase in \(a/b\) of FG plates can improve their load-carrying capability under thermal gradients. The larger effective length allows more even dissipation of the thermal stress, hence improving the stability against buckling. An increase in the temperature exponent \(\gamma\) results in a rise in the thermal critical buckling load. A larger thermal exponent \(\gamma\) can enhance the load distribution over the plate, lowering localized stress concentrations that cause buckling. For high-temperature applications, engineers and designers should give preference to materials with desirable thermal exponents. Identifying the impact of \(\gamma\) on thermal stability might result in more resistant and reliable structures that effectively endure thermally induced stresses.
The results highlight the complex relationship between material characteristics and geometric configurations in determining the thermal critical buckling load. Recognizing these relationships is crucial for the optimization of design strategies in high-temperature applications, where thermal stability and rigidity are the greatest priorities.
In Tables 2, 3 and 4, the current shear deformation theory is consistent with the theories found in existing literature (a four-variable refined plate theory (RPT)10, a higher plate theory (HPT)18). Nevertheless, compared with the other shear deformation theories, the Quasi-3D theory may be observed to have a higher thermal critical buckling load, particularly when dealing with thick and moderately thick plates. In the case of \(\mathcal{q}\ne 0\), the thermal critical buckling load can increases due to the interaction between normal stresses and thermal effects, potentially yielding higher \({\mathcal{T}}_{cr}\) values than when \(\mathcal{q} =0\). For the same plate configurations, the thermal critical buckling load is generally higher under linear thermal loading than under uniform thermal loading. With the reduction in plate thickness, the thermal critical buckling load for the 3D model is consistent with the other higher shear deformation theories. According to the classical plate theory (CPT)4, the thermal critical buckling load is higher than the values reported in other higher-order shear deformation theories. Since the classical plate theory, transverse shear and normal strains are often ignored.
Tables 5, 6 and 7 display the thermal critical buckling load response of both square perfect and imperfect FG plates exposed to uniform, linear, and nonlinear thermal loading conditions. Three imperfect FG models of porosity inclusion are presented. The Tables consider various volume fraction indices, plate thickness ratios, and porosity parameters. Tables findings demonstrate that when the plate thickness ratio \(a/h\) increases, the thermal critical buckling load \({\mathcal{T}}_{cr}\) reduces in all situations, regardless of the porosity distribution or volume fraction index \(\mathfrak{r}\). An increase in the index r leads to a reduction in the thermal critical buckling load \({\mathcal{T}}_{cr}\). This impact is observed with uniform, linear, and nonlinear thermal loads. It is noticeable that the thermal critical buckling load rises when the porosity parameter value increases. Increasing τ improves the plate’s capability to absorb and distribute thermal stresses which delays the onset of buckling and results in an increase in \({\mathcal{T}}_{cr}\). The model of even porosity distribution has the largest thermal critical buckling load, whereas the model of logarithmic-uneven porosity distribution has the lowest thermal critical buckling load. This is due to the uneven distribution of porosity in uneven and logarithmic-uneven porosity distributions cause localized weaknesses and stress concentrations which result in early buckling, resulting in lower \({\mathcal{T}}_{cr}\) values. The thermal critical buckling \({\mathcal{T}}_{cr}\) exposed to linear thermal condition is higher than uniform thermal condition case.
Tables 5, 6 and 7 compare the thermal critical buckling load caused by the current shear deformation theory (2D) with that achieved by a higher plate theory (HPT)18. The results of the HPT and the current 2D models are in excellent agreement. Nonetheless, when dealing with thick or moderately thick plates, the Quasi-3D theory may be shown to have a larger thermal critical buckling load than higher-order shear deformation models. This is due to the fact that thickness stretching is taken into account in the Quasi-3D theory. The HPT and present theory (\(\mathcal{q}=0\)) tend to predict lower thermal critical buckling loads compared to the Quasi-3D theory (\(\mathcal{q}\ne 0\)). This is mostly attributable to the neglect of normal strain effects in the 2D method. In other words, the impact of normal strain caused by thickness stretching is considered when \(\mathcal{q}\ne 0\). This allows for a more accurate representation of the structure’s response to thermal loading, especially in thicker plates. The thermal critical buckling load for the 3D model is in agreement with the other higher-order shear deformation theories when the plate thickness is decreased.
The influences of the porosity parameter, plate thickness ratio, aspect ratio and thermal loading conditions on the thermal critical buckling load of perfect and imperfect FG plates employing a Quasi-3D theory are illustrated in Figs. 2, 3, 4, 5, 6, 7 and 8. Unless specified differently, we shall assume \(\mathfrak{r}=1\), \(a / h = 10\), \(\gamma =2\) and \(\tau = 0.2\).
The influences of the aspect ratio \(a/b\) and porosity parameter \(\tau\) on the thermal critical buckling load \({\mathfrak{T}}_{cr}\) of FG plates exposed to uniform thermal loading for three different porosity distributions. (a) The even FG porous model, (b) The uneven FG porous model and (c) The logarithmic-uneven FG porous model.
Figures 2, 3 and 4 depict the influence of the porosity parameter \(\tau\) and aspect ratio \(a/b\) on the thermal critical buckling load \({\mathfrak{T}}_{cr}\) of an imperfect FG plate exposed to uniform, linear and nonlinear thermal loadings with three distinct forms of porosity inclusions. The rise of thermal critical buckling load \({\mathfrak{T}}_{cr}\) is directly proportional to the increase in porosity parameter value for all the thermal loading conditions. As porosity rises, the material’s capacity to distribute thermal stresses is enhanced, resulting in a lower chance of buckling due to thermal expansion disparity. Increased porosity often indicates a more advantageous distribution of material characteristics over the plate’s thickness. Properly distributed porosity can improve the load-bearing capacity, particularly under different thermal loading conditions. The plate with an even porosity distribution reported the highest thermal critical buckling load due to uniform material distribution leading to enhanced stability and load capacity. The logarithmic-uneven FG porous model produces the lowest thermal critical buckling load due to the non-uniform material distribution, which results in stress concentrations and weakened overall stability. The thermal critical buckling load \({\mathfrak{T}}_{cr}\) rises with an increase in the aspect ratio \(a/b\). The nonlinear thermal loading case leads to a higher thermal critical buckling load \({\mathfrak{T}}_{cr}\). The uniform thermal loading condition gives the lowest thermal critical buckling load. The thermal loading conditions play a significant role. The application of the temperature gradient and its interaction with the material properties that vary across the plate’s thickness and aspect ratio can result in a complex interplay of stresses and strains. An increased aspect ratio may result in a more favorable stress distribution under certain thermal loading, hence raising the critical buckling load.
The influences of the aspect ratio \(a/b\) and porosity parameter \(\tau\) on the thermal critical buckling load \({\mathfrak{T}}_{cr}\) of FG plates exposed to linear thermal loading for three different porosity distributions. (a) The even FG porous model, (b) The uneven FG porous model and (c) The logarithmic-uneven FG porous model.
The influences of the aspect ratio \(a/b\) and porosity parameter \(\tau\) on the thermal critical buckling load \({\mathfrak{T}}_{cr}\) of FG plates exposed to nonlinear thermal loading for three different porosity distributions. (a) The even FG porous model, (b) The uneven FG porous model and (c) The logarithmic-uneven FG porous model.
Figures 5, 6 and 7 illustrate the influence of the porosity parameter, thermal loading conditions and plate thickness ratio on the thermal critical buckling load \({\mathfrak{T}}_{cr}\) of perfect and imperfect FG plates. The thermal critical buckling load \({\mathfrak{T}}_{cr}\) reduces as the ratio of \(a/h\) rises for all thermal loading conditions (i.e. when the plate becomes thinner). Thinner plates demonstrate reduced resistance to buckling under the thermal load. As the amount of porosity increases, the thermal critical buckling load \({\mathfrak{T}}_{cr}\) also increases. However, when the plate becomes thinner, the impact of the porosity disappears. Porosity’s impacts on strength and stiffness are more significant in thicker plates because the volume of material has a greater impact on overall performance. In thin plates, the influence of porosity on overall structural stability is reduced, as the plate’s load-bearing capacity is limited. Compared with other porosity models, even porosity distribution in the plate causes higher thermal critical buckling load change as \(\tau\) increases. The thermal critical buckling load \({\mathfrak{T}}_{cr}\) is most significant in the presence of nonlinear thermal loading. The thermal critical buckling load \({\mathfrak{T}}_{cr}\) is the lowest under the influence of uniform thermal loading. The perfect model \((\tau =0)\) has the lowest thermal critical buckling load. It’s worth mentioning that knowing the relationship between porosity and the thickness ratio helps guide material selection for applications requiring thermal stability.
The influences of \(a/h\) and porosity parameter \(\tau\) on the thermal critical buckling load \({\mathfrak{T}}_{cr}\) of FG plates exposed to uniform thermal loading for three different porosity distributions. (a) The even FG porous model, (b) The uneven FG porous model and (c) The logarithmic-uneven FG porous model.
The influences of \(a/h\) and porosity parameter \(\tau\) on the thermal critical buckling load \({\mathfrak{T}}_{cr}\) of FG plates exposed to linear thermal loading for three different porosity distributions. (a) The even FG porous model, (b) The uneven FG porous model and (c) The logarithmic-uneven FG porous model.
The influences of \(a/h\) and porosity parameter \(\tau\) on the thermal critical buckling load \({\mathfrak{T}}_{cr}\) of FG plates exposed to nonlinear thermal loading for three different porosity distributions. (a) The even FG porous model, (b) The uneven FG porous model and (c) The logarithmic-uneven FG porous model.
Figure 8 displays the influence of the volume fraction index \(\mathfrak{r}\), thermal loading conditions, and porosity distributions on the thermal critical buckling load \({\mathfrak{T}}_{cr}\) of both perfect and imperfect FG plates. The greatest thermal critical buckling load \({\mathfrak{T}}_{cr}\) occurs at the ceramic phase (\(\mathfrak{r}=0\)), then the thermal critical buckling load \({\mathfrak{T}}_{cr}\) reduces until it reaches near \(\mathfrak{r}=1.5\), after which there are no significant variations in the thermal critical buckling load \({\mathfrak{T}}_{cr}\) for the three thermal loading situations. This is due to the fact that variations in \(\mathfrak{r}\) can have a substantial impact on the plate’s stiffness, strength, and thermal characteristics for the three loading conditions.
The influence of volume fraction \(\mathfrak{r}\) on the thermal critical buckling load \({\mathfrak{T}}_{cr}\) of FG imperfect plates for three different porosity distributions. (a) The even FG porous model, (b) The uneven FG porous model and (c) The logarithmic-uneven FG porous model.
Finally, the limitations of this study are we only consider the impact of three porosity distributions even, uneven, and logarithmically uneven on the thermal critical buckling load of FG plates, where there are other forms of porosity (e.g. trigonometrically varying porosity). Also, as the Quasi-3D shear deformation theory states transverse shear deformation and normal stress distribution can be recorded more precisely than classic 2D or simpler 3D models. It assumes a smooth distribution of displacements along the plate’s thickness, which is suitable for materials with progressively changing characteristics. This theory’s limitations may be computationally demanding because of the additional degrees of freedom, and it frequently assumes no abrupt material changes across layers. While the Quasi-3D theory offers more flexibility in dealing with boundary conditions compared to the 2D theory, it may still struggle with highly complex or irregular boundary conditions.
Conclusion
Functionally graded porous plates represent significant progress in material science, providing versatile solutions that address the varied demands of modern engineering applications. Their potential to integrate tailored porosity with diverse mechanical properties improves both performance and efficiency, as well as durability. The present research analyzed the thermal critical buckling load behavior of FGM plates with various porosities, emphasizing the influence of various porosity distributions on the buckling resistance. The plates have microscopic heterogeneity, with their material properties altering continually according to modified polynomial function. The main aim was to investigate the impact of several porosity distributions even, uneven, and logarithmically uneven on the thermal critical buckling load behavior under different thermal loading conditions. The governing equations were formulated using a Quasi-3D theory that incorporates transverse normal strain, whereas Navier’s technique was utilized to examine the response of simply supported FG plates, both perfect and imperfect, under uniform, linear, and nonlinear thermal loads. Numerical simulations were performed to determine the thermal critical buckling for various geometries, porosity parameters and thermal conditions. The results indicate a significant impact of the porosity distribution on increasing the thermal critical buckling load response of the FG plates. An even porosity distribution produced the largest thermal critical buckling load, whereas a logarithmically uneven distribution led to the lowest critical buckling temperature. The thermal critical buckling is extremely influenced by the plate porous materials variations. These results highlight the need to carefully evaluate the porosity distribution in the design of functionally graded materials. Also, an increase in the index leads to a reduction in the thermal critical buckling load. The plate aspect ratio \(a/b\) plays a crucial part in the behavior of thermal critical buckling. The thermal critical buckling load reduces as the value of the thickness ratio rises for the three thermal loading conditions. The nonlinear thermal loading case leads to a higher thermal critical buckling load whereas the uniform thermal loading condition gives the lowest thermal critical buckling load. Moreover, the incorporation of thickness stretching significantly impacts the thermal critical buckling load behavior. The numerical results were validated by comparisons with existing literature, confirming the validity and accuracy of the study’s findings. This research not only advances our theoretical understanding of FG porous plates, in addition provides valuable insights into practical applications in engineering design.
Data availability
All data generated or analysed during this study are included in this published article [and its supplementary information files].
References
Javaheri, R. & Eslami, M. Thermal buckling of functionally graded plates based on higher order theory. J. Therm. Stress. 25(7), 603–625 (2002).
Matsunaga, H. Thermal buckling of functionally graded plates according to a 2D higher-order deformation theory. Compos. Struct. 90(1), 76–86 (2009).
Zhang, L., Zhu, P. & Liew, K. Thermal buckling of functionally graded plates using a local Kriging meshless method. Compos. Struct. 108, 472–492 (2014).
Javaheri, R. & Eslami, M. Thermal buckling of functionally graded plates. AIAA J. 40(1), 162–169 (2002).
Zhao, X., Lee, Y. & Liew, K. M. Mechanical and thermal buckling analysis of functionally graded plates. Compos. Struct. 90(2), 161–171 (2009).
Lee, Y.-H., Bae, S.-I. & Kim, J.-H. Thermal buckling behavior of functionally graded plates based on neutral surface. Compos. Struct. 137, 208–214 (2016).
Yu, T. et al. On the thermal buckling analysis of functionally graded plates with internal defects using extended isogeometric analysis. Compos. Struct. 136, 684–695 (2016).
Farrokh, M., Taheripur, M. & Carrera, E. Optimum distribution of materials for functionally graded rectangular plates considering thermal buckling. Compos. Struct. 289, 115401 (2022).
Zenkour, A. M. & Mashat, D. S. Thermal buckling analysis of ceramic-metal functionally graded plates. Nat. Sci. 2(09), 968 (2010).
Bouiadjra, M. B., Ahmed Houari, M. S. & Tounsi, A. Thermal buckling of functionally graded plates according to a four-variable refined plate theory. J. Therm. Stress. 35(8), 677–694 (2012).
Tati, A. Finite element analysis of thermal and mechanical buckling behavior of functionally graded plates. Arch. Appl. Mech. 91(11), 4571–4587 (2021).
Yaghoobi, H. & Torabi, M. Exact solution for thermal buckling of functionally graded plates resting on elastic foundations with various boundary conditions. J. Therm. Stress. 36(9), 869–894 (2013).
Zenkour, A. M. & Sobhy, M. Thermal buckling of functionally graded plates resting on elastic foundations using the trigonometric theory. J. Therm. Stress. 34(11), 1119–1138 (2011).
Nam, V. H. et al. Nonlinear thermo-mechanical buckling of higher-order shear deformable porous functionally graded material plates reinforced by orthogonal and/or oblique stiffeners. Proc. Inst. Mech. Eng. Part C: J. Mech. Eng. Sci. 233(17), 6177–6196 (2019).
Turan, F. Critical buckling load analysis of porous orthotropic two-layered cylindrical panels based on trigonometric shear deformation theory. Iran. J. Sci. Technol. Trans. Civ. Eng. 1–17 (2024).
Turan, F. Stability of the porous orthotropic laminated composite plates via the hyperbolic shear deformation theory. Steel Compos. Struct. 48(2), 145 (2023).
Song, J.-P. & She, G.-L. Nonlinear resonance and chaotic dynamic of rotating graphene platelets reinforced metal foams plates in thermal environment. Arch. Civ. Mech. Eng. 24(1), 45 (2024).
Hadji, L., Amoozgar, M. & Tounsi, A. Non-linear thermal buckling of FG plates with porosity based on hyperbolic shear deformation theory. Steel Compos. Struct. 42(5), 711–722 (2022).
Ngo, B. K. et al. Buckling analysis of porous functionally graded plates in thermal environment by using a meshfree method. Proc. Int. Conf. Sustainable Civ. Eng. Architect. 1278–1287 (2023).
Hadji, L., Madan, R. & Bernard, F. Thermal buckling in multi-directional porous plates: The effects of material grading and aspect ratio. Proc. Inst. Mech. Eng. Part G: J. Aerospace Eng. 238(4), 412–426 (2024).
Chedad, A. et al. Effect of porosity on the thermal buckling of functionally graded material (FGM) sandwich plates under different boundary conditions. Mech. Based Des. Struct. Machines 52(3), 1414–1436 (2022).
Saad, M. & Hadji, L. Thermal buckling analysis of porous FGM plates. Mater. Today: Proc. 53, 196–201 (2022).
Fu, T., Hu, X. & Yang, C. Impact response analysis of stiffened sandwich functionally graded porous materials doubly-curved shell with re-entrant honeycomb auxetic core. Appl. Math. Model. 124, 553–575 (2023).
Wang, W. & Teng, Z. Analysis of vibration and critical buckling load of porous functionally graded material rectangular nanoplates under thermo-mechanical loading. ZAMM-J. Appl. Math. Mech. 104(1), e202200073 (2024).
Saberi, E., Amoushahi, H. & Tanzadeh, H. Mechanical and thermal buckling of thick nanoplate with a new functionally graded porous pattern. Arch. Civ. Mech. Eng. 24(2), 56 (2024).
Ertenli, M. F. & Esen, İ. The effect of the various porous layers on thermomechanical buckling of FGM sandwich plates. Mech. Adv. Mater. Struct. 1–27 (2023).
Hirannaiah, S., Swaminathan, K. & Rajanna, T. Thermo-mechanical vibration and buckling analysis of porous FG sandwich plates with geometric discontinuity based on physical neutral surface. Mech. Adv. Mater. Struct. 1–25 (2023).
Wattanasakulpong, N., Thai, S. & Eiadtrong, S. Analyses on thermal vibration and stability of sandwich skew plates with functionally graded porous core. Proc. Struct. 105536 (2023).
Singh, S. & Harsha, S. Thermal buckling of porous symmetric and non-symmetric sandwich plate with homogenous core and S-FGM face sheets resting on Pasternak foundation. Int. J. Mech. Mater. Des. 16(4), 707–731 (2020).
Joueid, N. et al. Thermoelastic buckling analysis of plates and shells of temperature and porosity dependent functionally graded materials. Mech. Time-Dependent Mater. 1–43 (2023).
Long, V. T. & Tung, H. V. Thermal nonlinear buckling of shear deformable functionally graded cylindrical shells with porosities. AIAA J. 59(6), 2233–2241 (2021).
Talebi, S. et al. Dynamic thermal buckling of spherical porous shells. Thin-Walled Struct. 172, 108737 (2022).
Nam, V. H. & Trung, N.-T. Buckling and postbuckling of porous cylindrical shells with functionally graded composite coating under torsion in thermal environment. Thin-Walled Struct. 144, 106253 (2019).
Thanh Long, V. & Tung, H. V. Buckling and postbuckling of functionally graded porous material nearly cylindrical shells under external lateral pressure in thermal environments. Ships Offshore Struct. 18(7), 1016–1024 (2023).
Long, V. T. & Van Tung, H. Buckling behavior of thick porous functionally graded material toroidal shell segments under external pressure and elevated temperature including tangential edge restraint. J. Pressure Vessel Technol. 144(5), 051310 (2022).
Nhu Trang, L. T. & Van Tung, H. Thermal nonlinear stability of functionally graded porous material nearly cylindrical shells with surrounding elastic media and tangentially restrained edges. Math. Methods Appl. Sci. 46(6), 7285–7304 (2023).
Huang, H. & Rao, D. Thermal buckling of functionally graded cylindrical shells with temperature-dependent elastoplastic properties. Continuum Mech. Thermodyn. 32(5), 1403–1415 (2020).
Liu, Y., Su, S., Huang, H. & Liang, Y. Thermal-mechanical coupling buckling analysis of porous functionally graded sandwich beams based on physical neutral plane. Compos. Part B: Eng. 168, 236–242 (2019).
Yas, M.-H. & Rahimi, S. Thermal buckling analysis of porous functionally graded nanocomposite beams reinforced by graphene platelets using Generalized differential quadrature method. Aerospace Sci. Technol. 107, 106261 (2020).
Shengkai, S. & Huaiwei, H. Thermal-mechanical coupling buckling analysis of porous functionally graded beams. Acta Mater. Compositae Sinica 34(12) (2017).
Mirjavadi, S. S. et al. Thermal buckling behavior of two-dimensional imperfect functionally graded microscale-tapered porous beam. J. Therm. Stress. 40(10), 1201–1214 (2017).
Mojahedin, A., Jabbari, M. & Rabczuk, T. Thermoelastic analysis of functionally graded porous beam. J. Therm. Stress. 41(8), 937–950 (2018).
Babaei, H., Eslami, M. & Khorshidvand, A. Thermal buckling and postbuckling responses of geometrically imperfect FG porous beams based on physical neutral plane. J. Therm. Stress. 43(1), 109–131 (2020).
Ibnorachid, Z. et al. Buckling temperature and natural frequencies of thick porous functionally graded beams resting on elastic foundation in a thermal environment. Adv. Acoust. Vibration 2019(1), 7986569 (2019).
Patil, H. B., Pitchaimani, J. & Mailan Chinnapandi, L. B. Buckling and free vibration of porous functionally graded metal ceramic beams under thermal and mechanical loading: a comparative study. J. Inst. Eng. (India): Ser. C 102(5), 1107–1117 (2021).
Alghanmi, R. A. Nonlocal strain gradient theory for the bending of functionally graded porous nanoplates. Materials 15(23), 8601 (2022).
Alghanmi, R. A. Hygrothermal bending analysis of sandwich nanoplates with FG porous core and piezomagnetic faces via nonlocal strain gradient theory. Nanotechnology Rev. 12(1), 20230123 (2023).
Demir, Y. & Turan, F. Stability of porous orthotropic laminated cylindrical panels subjected to linearly varying edge compression based on shear deformation theory. Mech. Adv. Mater. Struct. 1–14 (2023).
Li, Q. et al. Nonlinear dynamics and chaos of functionally graded graphene origami-enabled auxetic metamaterials doubly curved shells with bi-directionally stepped thickness in thermal environment. Thin-Walled Struct. 205, 112420 (2024).
She, G.-L. et al. Thermal post-buckling analysis of graphene platelets reinforced metal foams beams with initial geometric imperfection. Comput. Concret. 33(3), 241 (2024).
Wang, Y. & Sigmund, O. Multi-material topology optimization for maximizing structural stability under thermo-mechanical loading. Comput. Methods Appl. Mech. Eng. 407, 115938 (2023).
Zhang, W. et al. Temperature-dependent debonding behavior of adhesively bonded CFRP-UHPC interface. Compos. Struct. 340, 118200 (2024).
Song, J.-P., She, G.-L. & Eltaher, M. Nonlinear aero-thermo-elastic flutter analysis of stiffened graphene platelets reinforced metal foams plates with initial geometric imperfection. Aerospace Sci. Technol. 147, 109050 (2024).
Yu, Y. et al. Dynamic response of novel sandwich structures with 3D sinusoid-parallel-hybrid honeycomb auxetic cores: The cores based on negative Poisson’s ratio of elastic jump. Eur. J. Mech. A/Solids 109, 105449 (2025).
Van Hai, N. & T. & Hong, N. T.,. Novel finite element modeling for free vibration and buckling analysis of non-uniform thickness 2D-FG sandwich porous plates using refined Quasi 3D theory. Mech. Based Des. Struct. Machines 52(6), 3052–3078 (2024).
Zenkour, A. M. & Aljadani, M. H. Buckling response of functionally graded porous plates due to a quasi-3D refined theory. Mathematics 10(4), 565 (2022).
Vu, T.-V. et al. Buckling analysis of the porous sandwich functionally graded plates resting on Pasternak foundations by Navier solution combined with a new refined quasi-3D hyperbolic shear deformation theory. Mech. Based Des. Struct. Machines 51(11), 6227–6253 (2023).
Radwan, A. Quasi-3D integral model for thermomechanical buckling and vibration of FG porous nanoplates embedded in an elastic medium. Int. J. Mech. Sci. 157, 320–335 (2019).
Shahsavari, D. et al. A novel quasi-3D hyperbolic theory for free vibration of FG plates with porosities resting on Winkler/Pasternak/Kerr foundation. Aerospace Sci. Technol. 72, 134–149 (2018).
Zenkour, A. A comprehensive analysis of functionally graded sandwich plates: Part 2—buckling and free vibration. Int. J. Solids Struct. 42(18–19), 5243–5258 (2005).
Soldatos, K. A transverse shear deformation theory for homogeneous monoclinic plates. Acta Mech. 94(3), 195–220 (1992).
Reddy, J. N. Theory and analysis of elastic plates and shells (CRC Press, 2006).
Zenkour, A. & Sobhy, M. Thermal buckling of various types of FGM sandwich plates. Compos. Struct. 93(1), 93–102 (2010).
Funding
This study was not funded.
Author information
Authors and Affiliations
Contributions
M. H. Aljadani confirms sole responsibility for the following tasks: conceptualization and design of the study, analysis, discussion, and manuscript preparation.
Corresponding author
Ethics declarations
Competing interests
The authors declare no competing interests.
Ethical approval
The author states that the research was conducted according to ethical standards.
Additional information
Publisher’s note
Springer Nature remains neutral with regard to jurisdictional claims in published maps and institutional affiliations.
Rights and permissions
Open Access This article is licensed under a Creative Commons Attribution-NonCommercial-NoDerivatives 4.0 International License, which permits any non-commercial use, sharing, distribution and reproduction in any medium or format, as long as you give appropriate credit to the original author(s) and the source, provide a link to the Creative Commons licence, and indicate if you modified the licensed material. You do not have permission under this licence to share adapted material derived from this article or parts of it. The images or other third party material in this article are included in the article’s Creative Commons licence, unless indicated otherwise in a credit line to the material. If material is not included in the article’s Creative Commons licence and your intended use is not permitted by statutory regulation or exceeds the permitted use, you will need to obtain permission directly from the copyright holder. To view a copy of this licence, visit http://creativecommons.org/licenses/by-nc-nd/4.0/.
About this article
Cite this article
Aljadani, M.H. The porosity effect on the buckling analysis of functionally graded plates under thermal environment using a Quasi-3D theory. Sci Rep 14, 30216 (2024). https://doi.org/10.1038/s41598-024-79894-y
Received:
Accepted:
Published:
Version of record:
DOI: https://doi.org/10.1038/s41598-024-79894-y
Keywords
This article is cited by
-
Size-dependent dispersion characteristics of piezoelectric sandwich nanoplates taking surface effects into account
Scientific Reports (2025)
-
Thermo-mechanical buckling of functionally graded material sandwich curved beams
Journal of the Brazilian Society of Mechanical Sciences and Engineering (2025)
-
Failure Mode Analysis of Microstructural Alignment in Freeze-Cast Scaffolds Using FEM
Integrating Materials and Manufacturing Innovation (2025)
-
Thermo-mechanical buckling response of functionally graded sandwich dome structures
Archive of Applied Mechanics (2025)










