Abstract
Planting structure adjustment (PSA) affects agricultural water saving, and is an essential part of water-saving agricultural construction. This study introduced virtual water theory and innovatively constructed a model to assess the water-saving effects of PSA in Shiyang River Basin over the past 38 years, explore the relationship between planting structure and water saving, and clarify the most water-saving planting structure. The results showed that the sown area of economic crops consistently increased as food crop areas decreased in the four counties (districts) from 1980 to 2017. Being considered a “big water consumer”, wheat has lost its dominant position. The water requirements of major crops in the four counties and districts showed an increasing trend. The total area proportion of vegetables, wheat, corn, and oil-bearing crops (Abbreviated as TPVWCO) directly determined the water-saving amount. The lower the TPVWCO, the better the water-saving effect. Taking 1980 as the reference year, the most water-saving years in Gulang, Liangzhou, Yongchang, and Minqin were 2007, 1981, 2008, and 2005, respectively. Taking 2007 as the reference year, there were no water-saving years available after that due to the higher TPVWCO. Taking into account food security, ecological and economic benefits, it was recommended to control the TPVWCO at 40% in the Shiyang River Basin in the future. The land vacated should be planted with cotton in Minqin, while the land vacated in the other three counties should be planted with fruits. The research results would provide scientific basis for optimizing the planting structure and managing agricultural water resources in inland river basins in arid regions.
Similar content being viewed by others
Introduction
Agricultural water accounts for 70–90% of the total global freshwater consumption1,2,3, and even exceeds 90% in some arid regions4. In the Shiyang River Basin (SRB), the agricultural water consumption reached 19.79 × 108 m3 in 2017, representing 86.30% of total water use. The increasing use of agricultural water has intensified the imbalance between the supply and demand of water resources, severely impacting future sustainable development5,6,7,8. Therefore, adjusting the crop planting structure to conserve agricultural water and alleviate water scarcity is necessary and urgent9,10.
The increase in the total sown area11 and the unreasonable PSA12,13 are the main reasons contributing to the increase in agricultural water requirements. Under the background that the sown area cannot be changed, even if the sown area may be increased, the implementation of water-saving irrigation technology based on the PSA can further reduce the crop water requirements. This represents the most economical and scientific approach to water conservation14,15,16,17. PSA can fundamentally change the actual total water requirements of crops due to the different water requirements of different crops during the growing season18. Thus, PSA is a critical element in the development of water-saving agriculture14,19.
Since the reform and opening-up, the planting structure has changed significantly, with the proportion of sown areas for fruits and vegetables rapidly increasing, while the proportion of wheat and other food crops has decreased20,21,22,23,24,25. Compared to 2003, the water saved from grain PSA in China was 437.09 × 108 m3, with the northern region achieving better savings in water and land resources than the southern region26. In 2012 (using 2002 as the base year), the water saved by PSA in North China Plain was 2.5 × 108 m3 13. The adjustment of planting structure improved the water use efficiency and the economic benefits in the Heihe River Basin3. In the Jinghuiqu irrigation area in the central Guanzhong Plain of Shaanxi Province, a large reduction in the sown area led to a decrease in total crop water demand, with the PSA having little effect on it11. Notably, regional differences in PSA’s water-saving effects are apparent, and the methods used to calculate these savings vary. At the same time, some scholars conducted a series of studies on the adjustment and optimization of planting structure using single or multi-objective water resources constraints22,27,28,29,30. For example, Su et al. applied an improved multi-objective optimization model to rationally allocate water resources in the SRB, and proposed a PSA program to enhance the green water utilisation efficiency27. Shi and Su suggested that reducing the sown area of high-water-demand and water-inefficient crops like wheat and corn could alleviate water shortages in the SRB31. These recommendations provide a scientific basis for government decision-making and promoting water-saving strategies in agricultural planting structures. However, in practice, the PSA implementation is a very complicated process and often needs to be closely linked to farmers’ wishes and ideological understanding32. In the actual production process, the planting structure may be adjusted frequently due to various factors, resulting in fluctuating water-saving effects. To identify the most water-saving planting structure implemented by farmers, the internal dynamic relationship between the PSA and water-saving effects needs to be tracked and evaluated promptly. This water-saving planting structure model, which has been implemented by farmers rather than merely theoretical calculation, is most likely to be popularised and implemented in the future. However, the research on this aspect has been relatively limited, leaving uncertainties regarding the most water-efficient planting structure and its influencing factors. Furthermore, it remains unclear how to carry out a planting structure adjustment that meets public opinion in the future. Therefore, the objective of this study is to thoroughly analyse the effect of planting structure adjustments on water saving, clarify the most water-saving planting structure, and provide a scientific basis for agricultural water resource management.
The SRB is a basin with the most prominent contradiction between land and water resources in northwest China, and with a serious shortage of water resources33,34. Since the 1970s, the amount of water discharged from the upper and middle reaches to the Minqin Oasis has been continuously decreasing, resulting in increased groundwater exploitation and a continuous decline in groundwater levels. This has led to extensive vegetation loss, worsening desertification, and brought the Minqin Oasis to the brink of collapse. In response, the Chinese central government launched the Key Treatment Program of the Shiyang River Basin (KTPSRB) in January of 2006, which was implemented in 2007 to curb ecological degradation and prevent the disappearance of the Minqin Oasis. The root cause of this degradation was insufficient ecological water use, exacerbated by high production and domestic water consumption in the SRB’s middle and lower reaches. In 2007, the total water consumption in the SRB reached 27.62 × 108 m3, with agricultural consuming 24.34 × 108 m3, 88.12% of the total. The water resources utilisation rate was as high as 135.33% (data from Gansu Water Resources Bulletin 2007). Building a water-saving society, particularly through agricultural water conservation, is essential to increase ecological water and support ecological restoration. Since the KTPSRB’s implementation in 2007, measures such as “closing wells and pressing fields” have been introduced to control the growth of cultivated land and adjust the planting structure in the middle and lower reaches. However, the actual water saving after PSA was still unclear, which has become a bottleneck constraining the optimization and adjustment of the future agricultural plantation. On the premise of ensuring basic farmland, how to realize agricultural water saving and determine the most water-efficient planting structure are key issues that should be further considered in future basin management.
The objective of this paper is to explore the impact mechanism of planting structure adjustment on agricultural water use, clarify the planting structure model that comprehensively considers ecological and economic benefits, and food security. The novelties of this paper mainly include: (1) The water-saving evaluation model of planting structure adjustment was proposed and created to analyze the impact of PSA on the total crop water requirements. The main novelty of this model is that it only considers the impact of planting structure adjustments on crop water requirements, eliminating the influence of increased water requirements caused by increased area. The significance of this model is its ability to evaluate the water consumption and water saving before and after the adjustment of planting structure in different years. (2) Based on practical adjustments of planting structure rather than purely theoretical calculations, this paper examined the internal relationship between planting structure and water saving over the past 38 years, identifying the most water-saving planting patterns implemented and accepted by farmers. The research idea is different from the existing research.
Materials and methods
Overview of the study area
The SRB (101° 41′–104° 16′ E, 36° 29′–39° 27′ N) is located on the northern slope of the Qilian Mountains, at the edge of the monsoon region and the intersection zone of the Qinghai–Tibet Plateau, the Inner Mongolia Plateau, and the Loess Plateau (Fig. 1). Its ecological function is highly significant. The total area of the basin is 4.16 × 104 km2. Its upper reaches originate from the northern slope of the eastern Qilian Mountains, characterized by a relatively humid climate with annual rainfall ranging from 300 to 600 mm. The upper reaches serve as the runoff-producing area of the SBR, with a mean annual runoff of about 15.60 × 108 m3. The corridor plains in the middle reaches function as runoff dissipation areas, while Minqin Oasis in the lower reaches is a vital irrigation agricultural area, receiving an annual rainfall of 100–300 mm. The Minqin Oasis is surrounded by the Tengger Desert and the Badain Jaran Desert (Fig. 1).
Overview of the study area.
In 2017, the total water resources in the SRB were 18.78 × 108 m3 and the total annual water consumption was 22.93 × 108 m3, with 86.30% used for planting. The water utilisation rate was as high as 122.1%, indicating a severe water shortage (data from 2017 Shiyang River Basin Water Resources Bulletin). The large scale of agricultural water use has encroached on ecological water, leading to the continuous degradation of the fragile oasis-desert system. The above hydrological monitoring date of the SRB provides an important reference for the assessment of water resources in the region, as well as a basis for decision-making for sustainable agricultural development. The cultivated land area was 0.3088 × 104 km2 in 2017, mainly distributed across the counties/districts of Yongchang, Liangzhou, Gulang, and Minqin (Fig. 1). The main food crops include wheat, corn, and tubers, while the main economic crops are oil-bearing crops, vegetables, fruits, and cotton35. Among them, cotton was mainly planted in Minqin Oasis. The SRB is not only an important part of the commercial grain production base in the Hexi Corridor of Gansu, but also serves a critical role as an ecological barrier. At the same time, it is one of the regions with the most acute water-land conflicts and the most severe ecological degradation. The establishment of a water-saving society should not be delayed. This is the primary reason for selecting this basin as the research area.
Materials
The data sets used in this paper include meteorology data and the areas and yields of wheat, corn, tubers, oil-bearing crops, vegetables, fruits, and cotton. The specific data contents and sources are shown in Table 1.
The four meteorological stations (Wuwei, Minqin, Yongchang, and Wushaoling) have not migrated in the past 38 years, with all observed data undergoing strict quality control to ensure integrity and continuity36. As a result, these data are highly credible and widely used in related studies34,37,38,39,40,41.
Methods
Virtual water theory and application
Virtual water theory, proposed by British scholar Tony Allan in 1993, refers to the amount of water consumed by a country or region in the production of goods (such as agricultural and industrial products), and represents an invisible water resource42,43. As an integrated concept encompassing hydrology, socioeconomics, and ecology, virtual water theory challenges traditional approaches to water resource management. The level of virtual water content not only reflects the water consumption of crops, but also provides a basis for evaluating the impact of different crops on regional water resources, which has been applied in the process of adjusting the planting structure44,45,46,47. At the same time, the calculation of virtual water for different crops can provide data support for the determination of irrigation quotas and agricultural water resource management.
Calculation of virtual water
The basic steps for calculating the virtual water content of crops are as follows: Firstly, the Penman–Monteith (P–M) model was applied to calculate the reference crop water requirements. Secondly, the reference crop water requirements was multiplied by the crop coefficient to obtain the water requirements for each crop. Finally, the crop virtual water content is calculated based on the crop yield per unit area.
Calculation of reference crop water requirements
The water consumed by crops during their growth primarily goes toward the transpiration process, and the reference crop water consumption refers to the transpiration amount during the crop growth period13,40. The Penman–Monteith (P–M) model was a standard model recommended by the Food and Agriculture Organization (FAO) for calculating reference crop evapotranspiration (ET0). Comparative studies in the European Union and the United States have demonstrated that the P–M model accurately calculates reference crop water requirements (ET0) in both humid and arid regions48,49,50. Unlike other models, the P–M model is more comprehensive and reliable, as it accounts for multiple meteorological factors such as radiation, temperature, wind speed, and humidity. If complete meteorological data required for the P-M model is unavailable, the FAO also recommends using the Hargreaves formula (H formula) to estimate ET051. However, numerous studies indicate that ET0 calculated using the H formula tends to have a larger margin of error, necessitating corrections to the results52,53,54.
Based on the daily meteorological station data of Wuwei, Yongchang, and Minqin stations, the reference crop water requirements (ET0–PM) were calculated by the P–M model55:
where \({\text{ET}}_{0-\text{PM}}\) is the reference crop water requirements (mm/d), △ is the slope of saturation vapor pressure versus air temperature curve (kPa/℃), \({\text{R}}_{\text{n}}\) is the net radiation at the land surface [MJ/(m2 × day)], G is the soil heat flux density [MJ/(m2 × day)], \(\upgamma\) is the psychrometric constant (kPa/℃), T is the mean air temperature at 2 m height (℃), \({\mu }_{2}\) is the wind speed at 2 m height (m/s), \({e}_{s}\) is the saturation vapor pressure (kPa), and \({e}_{a}\) is the actual vapor pressure (kPa).
There are only 0.5° × 0.5° grid meteorological data and no daily meteorological station data in Gulang, which cannot meet the calculation requirements of the P–M model but is sufficient for the H formula. On this basis, ET0–PM is calculated by the regression model, and the specific process is as follows:
Firstly, the regression model of ET0–H and ET0–PM is established at Wushaoling Meteorological Station (Fig. 1, the closest station to Gulang). The Wushaoling meteorological station meets both the P–M model and the H formula, so the regression model of ET0–H and ET0–PM can be established:
where \({\text{ET}}_{0-\text{PM}}\) is the reference crop water requirement (mm) calculated using the P–M model, and \({\text{ET}}_{0-\text{H}}\) is reference crop water requirement (mm) calculated using the H formula, \({\text{T}}_{\text{mean}}\) is the average temperature (℃), \({\text{T}}_{\text{max}}\) is the maximum temperature (℃), \({\text{T}}_{\text{min}}\) is the minimum temperature (℃), and \({\text{R}}_{\text{a}}\) is solar radiation at the top of the atmosphere [MJ/(m2 × day)].
The correlation coefficient (R) of this regression model was 0.970, passing the significance test at the 0.01 level. The F-value (22.919) was much larger than the value of SigF (0.0001), indicating that the accuracy of this model is very high. The simulated values were compared with the calculated values of the P–M Model to further illustrate the accuracy of the regression model (Fig. 2).
The ET0 of Wushaoling Meteorological Station during crop growth period (March–October) before (a) and after correction (b).
As shown in Fig. 2b, the ET0–PM calculated using regression model (2) was larger than that calculated by the P–M model. The absolute deviation was − 11.08 to 70.30 mm and the relative deviation was − 1.74 to 7.69%, highlighting the model’s high accuracy.
Next, based on the calculation of ET0–H in Gulang County by the H model, the regression model (2) was employed to further calculate its ET0–PM.
On this basis, the water requirements of each reference crop in the growth period were calculated, and then it was further used to calculate the virtual water content of each main crop.
Calculation of virtual water content of primary crop
The virtual water content of each crop was calculated based on the calculation of reference crop water requirements48,56. The specific calculation process was as follows:
where \({\text{V}}_{\text{nci}}\) is the virtual water content (m3/kg) of crop i in region c in the n-th year, \({\text{WR}}_{\text{nci}}\) is the water requirements per unit area (m3/ha) in the growth period of crop i in region c in the n-th year, including the total utilisation of precipitation and irrigation water, \({\text{y}}_{\text{nci}}\) is the yield per unit area (kg/ha) of crop i in region c in the n-th year, \({\text{ET}}_{\text{nci}-\text{x}}\) is the water requirements (mm) in the x-th stage during the growth period of crop i in region c in the n-th year, The constant 10 was used to convert the water requirements depth (mm) into water requirements volume per unit area (m3/ha), m denotes the number of crop growth stages, \({\text{K}}_{\text{ci}-\text{x}}\) is the crop coefficient in the x-th stage during the growth period of crop i in region c, as derived from Kang et al. in the current study57, and \({\text{ET}}_{0\text{nc}-\text{x}}\) represents the reference crop water requirements (mm) in the x-th stage during the growth period in region c in the n-th year (mm).
Water-saving assessment model
The water requirements per unit area of different crops varies greatly. In the process of agricultural production by farmers, the planting structure has constantly adjusted due to various factors. Planting structure adjustment means that the area proportion of different crops in the total sowing area changes, resulting in changes in the total agricultural water requirements before and after PSA, and there were two situations: water-saving or non-water-saving. Reducing the planting area and proportion of crops with high water requirements per unit area will achieve water saving. In order to quantitatively evaluate the impact of PSA on the water saving, the following quantitative model was constructed:
where \({\text{C}}_{\text{cn}}\) is the water-saving amount (m3) of all crops in region c in the n-th year, \({\text{A}}_{\text{cn}}\) is the actual total water requirements (m3) of all crops in region c in the n-th year, \({\text{B}}_{\text{cn}}\) is the total water requirements of all crop in region c in the n-th year, calculated according to the planting structure (the proportion of different crop area) in the reference base years (1980 and 2007).
where \({\text{Y}}_{\text{nci}}\) represents the total yield (kg) of crop i in region c in the n-th year, \({F}_{nc}\) is the total sown area (ha) of all crops in region c in the n-th year, \({\text{P}}_{\text{nci}}\) is the area proportion of crop i in region c in the reference base year, and j is the number of crop species.
If \({\text{C}}_{\text{cn}}\) < 0, PSA has reduced total crop water requirements, indicating a significant water-saving effect. If \({\text{C}}_{\text{cn}}=0\), PSA had no effect on total crop water requirements. \({\text{If C}}_{\text{cn}}>0\), PSA increased crop water requirements, indicating no water savings.
The construction of this model provides a new idea for studying the water-saving effect of PSA. The assumption of this model is that a reference year must be selected, and the difference in water consumption before and after the adjustment of the planting structure in other years must be calculated based on the planting structure of that year, in order to evaluate the water-saving situation. Therefore, the water-saving situation largely depends on the selection of the reference year. The reason why this article chose 1980 and 2007 as reference years is that 1980 was a crucial year for China to implement the household contract responsibility system, and 2007 was a crucial year for implementing comprehensive watershed management in the SRB, both of which have special historical significance.
Correlation analysis method
The virtual water content and the water requirements per unit area of different crops are different. PSA directly affects the total water requirements of crops, which leads to change in the total water requirements of crops after PSA. In order to further clarify the crop types that directly affect the total water requirements, correlation analysis method was used to analyse the correlation between the sown area proportion and the water-saving amount (Ccn) in four counties (districts) of SRB from 1980 to 2017.
Correlation analysis refers to the statistical examination of two or more elements that exhibit a certain correlation, allowing for the measurement of the degree of correlation among variable factors. This analysis helps determine the influence of different variable factors on the results of primary factors and assesses the positive or negative correlation between these factors58,59.
In order to ensure the accuracy of correlation analysis, the statistic value (t) of the t test is usually used to test the significance level. According to significance level (α = 0.05 and α = 0.01) and critical value table, \({t}_{\alpha }\) is obtained. By comparing the size of t and \({t}_{\alpha }\), the correlation significance can be assessed: if \(t>{t}_{\alpha }\), the correlation between two samples passed the significance level of 0.05 or 0.01. If \(t<{t}_{\alpha }\), the correlation between the two samples is not significant.
Results
Change characteristics of planting structure
Changes of crop sown areas
The total sown area of crops in the middle and lower reaches of SRB increased from 0.002386 × 108 ha in 1980 to 0.002976 × 108 ha in 2017 (Fig. 3). Among them, the sown area of economic crops increased by 840.27 ha per year, while the area of food crops decreased by 2638.88 ha per year. Therefore, the growth rate of the economic crops area surpassed that of food crops. The area ratio of grain to economic crops has changed from 71:7 in 1980 to 59:30 in 2017 (Fig. 3).
Changes in sown area of crops and the area proportion of food and economic crops.
Changes of planting structure in each county (district)
From 1980 to 2017, the planting structure changed significantly in the SRB (Fig. 4).
Changes of the area proportions of main crops in each county (district) of SRB.
In Yongchang, the proportions of sown area for corn and vegetables increased by 24.21% and 12.35%, respectively, while the proportions of sown area of oil-bearing crops and wheat decreased. Specifically, the proportion of sown area of oil-bearing crops followed a pattern of initial increase, subsequent decrease, and overall decline, with an average decrease rate of 0.43% per year, reaching a maximum of 24% in 1989 and a minimum of 2.1% in 2006. The area proportion of wheat decreased from 65.16% in 1980 to 33.23% in 2017, indicating a continuous decline in its dominant position within the planting structure.
In Liangzhou, the proportions of sown area for corn, fruits, and vegetables exhibited a notable upward trend, particularly for corn, which increased by 47.25%. The proportion of sown area for wheat decreased from 60% in 1980 to 7% in 2017, with a very significant downward trend, indicating that the dominant position of wheat was gradually replaced by corn.
In Gulang, the proportions of sown area for tubers, vegetables, and fruits increased by 16.69%, 13.78%, and 8.94%, respectively, while the proportion of sown area of wheat declined rapidly by 43.44% over the 38-year period. In contrast, the changes in the sown area proportions of corn and oil-bearing crops were not noticeable.
In Minqin, the proportions of sown area for wheat decreased rapidly from 61.85% in 1980 to 14.76% in 2017, marking a gradual loss of its dominant status. Meanwhile, the proportions of sown area of corn, oil-bearing crops, vegetables, and fruits increased by 16.29%, 16.77%, 10.15%, and 13.45%, respectively. Notably, the sown area proportion for cotton, classified as a higher-water-requirement crop, demonstrated a trend of “first increasing and then decreasing”.
From a spatial point of view, all four counties and districts were mainly planted with wheat, accounting for more than 60% of the total in 1980. By 2017, significant changes had occurred in the cropping patterns of these counties, with notable differences emerging. The area proportions of grain crops (wheat and corn) in Liangzhou and Yongchang were 58.69% and 59% respectively, indicating the dominant position of food crops. The area proportions of grain crops (wheat and corn) in Gulang and Minqin were 40.16% and 41.91% respectively, with economic crops becoming predominant.
Based on the above analysis, the planting structures of the four counties (districts) have undergone a series of adjustments over the past 38 years. The sown area proportion for wheat decreased rapidly, while the proportions of sown area for corn, vegetables, fruits, and oil-bearing crops increased. Overall, the dominant position of wheat has been lost. The area ratio of food crops to economic crops was continuously adjusted, tending toward a state of balance.
Change characteristics of crop water requirements
Virtual water content of each crop
The virtual water content of each crop for each year was calculated from 1980 to 2017 (Fig. 5). The average virtual water content of each crop is given in Table 2.
Changes of virtual water content for main crops in the SRB from 1980 to 2017.
It can be observed that the water requirements per unit mass for the seven main crops showed a decreasing trend in the middle and lower reaches of the SRB (Fig. 5). Among them, the virtual water content of fruits decreased the most, with an annual change rate of 0.031 m3/kg. After the turn of the twenty-first century, this downward trend gradually tended to stabilize. On the one hand, climatic factors such as sunshine hours, wind speed, and relative humidity are the main controlling factors of potential evapotranspiration. Under the background of global warming, lower wind speed has led to lower potential evapotranspiration60,61,62. On the other hand, the yield of crops increased with the improvement of agricultural level, leading to a downward trend of water requirements per unit mass of main crops.
As shown in Table 2, the virtual water contents of cotton and oil-bearing crops were relatively higher, followed by fruits and wheat. The virtual water contents of corn, tubers, and vegetables were relatively lower in the middle and lower reaches of the SRB. These results are basically consistent with those calculated by Li et al.63 and Su et al. 27.
Changes of crop water requirements in each county (district)
In Yongchang (Fig. 6), the water requirements of food crops and economic crops all increased. Notably, the water requirements of corn increased significantly, from 0.04 × 108 m3 in 1980 to 0.90 × 108 m3 in 2017, increasing 22-fold over the past 38 years. The increase in water requirements for vegetables was the largest, with an average increasing rate of 1.40 × 107 m3 per year. In Liangzhou, the water requirements of economic crops increased significantly, with the largest rise occurring for vegetables, which increased from 0.11 × 108 m3 in 1980 to 1.38 × 108 m3 in 2016. In Gulang, the total water requirements for food crops showed a rapidly decreasing trend, particularly for wheat, which decreased at an average rate of 0.04 × 108 m3 per year, from 2.18 × 108 m3 in 1980 to 0.68 × 108 m3 in 2017. Conversely, the total water requirements of economic crops showed an increasing trend, with the water requirements for vegetables increasing most significantly, averaging 0.01 × 108 m3 per year, from 0.02 × 108 m3 in 1980 to 0.44 × 108 m3 in 2017. In Minqin, the total water requirements for food crops decreased rapidly, while the water requirements of economic crops increased obviously. Among them, the water requirements of wheat rapidly decreased at an average rate of 0.04 × 108 m3 per year, from 1.97 × 108 m3 in 1980 to 0.29 × 108 m3 in 2016. However, in 2017, an expansion in the sown area of wheat led to an increase in its water requirements.
Water requirements of each crop in each county (district).
From a spatial perspective, in 1980, the crop water requirements for Liangzhou, Gulang, Minqin, and Yongchang (mainly wheat) were 3.51 × 108 m3, 2.6 × 108 m3, 2.41 × 108 m3, and 1.46 × 108 m3, respectively. By 2017, due to the increase in crop planting area and the adjustment of planting structure, the water requirements for crops in the four counties and districts had increased to 5.4 × 108 m3, 2.63 × 108 m3, 3.1 × 108 m3, and 2.91 × 108 m3, respectively, with a total increase of 4.06 × 108 m3. Among them, Liangzhou and Yongchang had the largest increases.
Impacts of PSA on crop water requirements
Impacts of PSA on crop water requirements (Taking 1980 as the reference base year)
In Yongchang (Fig. 7), the \({\text{C}}_{\text{cn}}\) values were all more than 0 in 1981–1992, 1999, 2010, 2016, and 2017, indicating that there was no water-saving and PSA resulted in more water requirements in these years. Notably, the water requirements increased the most in 1991, with the sown area ratio of food to economic crops at 22:9. From 1993 to 1998, 2000 to 2009, and 2011 to 2015, the \({\text{C}}_{\text{cn}}\) values were all less than 0, indicating that PSA played a role in water saving, and the most water-saving year was 2008. In Liangzhou, from 1982 to 2017, the \({\text{C}}_{\text{cn}}\) values were all more than 0 except for 1981, which means that there was no water-saving after PSA. In Gulang, the \({\text{C}}_{\text{cn}}\) values were all more than 0 in 1981–1983, 1989, 1991, and 2013–2015, indicating that there was no water-saving and PSA has resulted in higher water requirements in these years. Among them, the water requirements increased the most in 1989. In 1984–1988, 1990, 1992–2012, and 2016–2017, the values were all below 0, indicating that the PSA resulted in some water savings, whereas the year with the largest amount of water-saving was 2007. In Minqin, the \({\text{C}}_{\text{cn}}\) values were all greater than 0 in 1981, 1982, 2001, 2009–2015, and 2017, which means that there was no water-saving and PSA resulted in higher water requirements in these years. Among them, the water requirements increased the most in 2011. In other years, the \({\text{C}}_{\text{cn}}\) values were all less than 0, indicating the water-saving by the PSA, with the most significant water saving in 2005.
The water saving caused by PSA in different years with 1980 as the reference base year.
Based on the above analysis, the years with the largest amount of water-saving in Minqin, Gulang, and Yongchang were 2005, 2007, and 2008, respectively. After that, the total water-saving amount continued to decrease, and in 2017, PSA even resulted in higher crop water requirements in Yongchang and Minqin. Since 1980, PSA has led to increased water requirements in Liangzhou. This may be the root cause of the large overall water requirements in the middle reaches of Liangzhou, and the decreasing discharge to Minqin Oasis in the lower reaches, which should be paid notable attention.
As shown in Table 3, in the most water-saving years of four counties (district), the water consumption per unit area of vegetables, wheat, corn, and oil crops was much higher than that of fruits and cotton, and the area proportion of these four crops was also the lowest in the past 38 years, at 46.1%, 53.0% and 45% (Fig. 4). Preliminary inference suggests that the area proportion of these four crops determined the water saving.
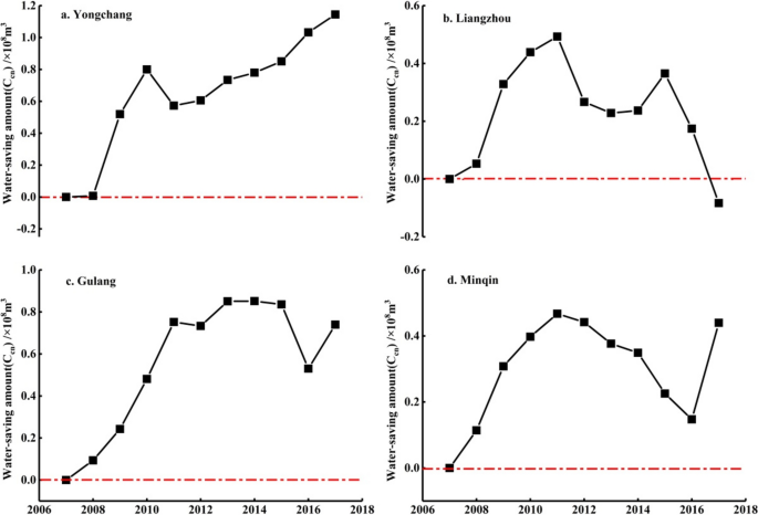
Impacts of PSA on crop water requirements since the implementation of the KTPSRB (2007)
It can be observed that the \({\text{C}}_{\text{cn}}\) values of the four counties (districts) were all greater than 0, except for 2017 in Liangzhou (Fig. 8), which means that there was no water-saving following the implementation of the KTPSRB. Under the background that wheat as a “big water consumer” has completely lost its dominant position, why has not the goal of saving water been achieved yet? This seems to be inconsistent with our previous understanding, so we considered it necessary to deeply study the internal relationship between PSA and the increase or decrease of crop water requirements.
Changes of the water saving before and after PSA with 2007 as reference base year.
Discussion
Relationship between Cn and PSA
Reasons for changes in water requirements of different crops
As mentioned earlier, the total sowing area in the four counties and districts showed a continuous increase from 1980 to 2017. Among them, the sowing area of grain crops showed a slight decreasing in fluctuations, while the economic crops area showed a significant increasing trend (Fig. 3). There were differences in the planting structure changes among the four counties and districts. Liangzhou had the smallest change in the proportion of grain crop area, while Gulang and Minqin had the largest decrease. The adjustment of sowing area and planting structure, coupled with changes in water demand per unit area, had led to significant changes in water demand for different crops (Fig. 6). From the perspective of changes in water requirements for a certain crop, the main reason for the decrease in water requirements for grain crops (wheat and corn) in Gulang and Minqin was the reduction of sowing area, while the main reason for the significant increase in water requirements of grain crops in Yongchang was the increase in sowing area. The slight increase in water requirements for grain crops in Liangzhou was due to the slight increase in sowing area and water requirements per unit area. At the same time, the main reasons for the increase in total water demand for economic crops was the continuous increase in sowing area. From the perspective of changes in total crop water requirements, the main reasons were changes in area and adjustments in planting structure. The increase in water requirements due to the increase in area can only be controlled through the application of water-saving technologies, which is not the focus of this article. Due to the different water requirements per unit area of each crop, the adjustment of planting structure also have an impact on the total water requirements of crops, which contains huge water-saving space behind it3,13,17,19,26,32. The PSA is a very complex process, and its water-saving status cannot be obtained through changes in total water demand, which is the focus of this paper. The study by Karandish et al. 32 also addressed the water resources issue by proposing optimal crop cropping patterns based on virtual water theory, and emphasized the importance of rational crop restructuring in water conservation. In 2009, Shi and Su linked planting structure adjustment to water savings in the Shiyang River Basin, and suggested that reforming cultivation practices could enhance water resource utilisation31.
Relationship between Cn and PSA
First of all, different crops had varying water requirements per unit area and total water demands (Table 3), leading to distinct impacts on overall water requirements. This was the root of differences in water saving of different planting structures. Therefore, by calculating the contribution of each crop’s water requirements to the total water requirements, the main crop types for controlling water saving were determined. From Table 4 it can be seen that the water requirements of wheat, corn, Oil-bearing crops, and vegetables accounted for a relatively high proportion of the total water, which had a significant impact on agricultural water saving.
Secondly, in order to further clarify which crops have an important influence on water saving, the correlation analysis between the sown area proportion and the water-saving amount of the four combinations (Top1 (Wheat), Top2 (Wheat + Corn), Top3 (Wheat + Corn + Oil-bearing crops) and Top4 (Wheat + Corn + Oil-bearing crops + Vegetables)) was carried out, and the correlation coefficient was shown in Table 5.
The correlation coefficients between the area proportion and the water saving varied significantly across the four crop combinations. Top 4 exhibited the highest correlation coefficient (Table 5), indicating that the total area proportion of vegetables, wheat, corn, and oil-bearing crops (Abbreviated as TPVWCO) has the greatest influence on water saving.
From Fig. 9, it can be seen that the trend of water saving and TPVWCO changes was very consistent, which means that the area proportion of four crops directly determined the water-saving. The years with the largest amount of water-saving were 2008, 2007, and 2005 in Yongchang, Gulang, and Minqin, and the TPVWCO were 46.1%, 53%, and 45%, respectively (Table 6). Therefore, it can be inferred that maintaining the TPVWCO around 50% may maximised water saving over the past 38 years.
Relationship between the water-saving amount and the TPVWCO in each county (district).
As mentioned earlier (Table 3), the crops with higher water requirements per unit area were vegetables, wheat, corn, and oil-bearing crops, while fruits and cotton have lower water requirements per unit area. Crops with high water demand per unit area would definitely have a significant impact on total water requirements. Therefore, the smaller the TPVWCO, the greater the water saving (Fig. 9).
Controlling the TPVWCO
According to “Relationship between Cn and PSA”, the TPVWCO played a decisive role in water saving. Therefore, it is particularly important to control the TPVWCO during the process of adjusting the planting structure. In order to further understand the potential water saving under different planting structure patterns, the water requirements were simulated in different scenarios. The basis for these scenarios was as follows: as concluded in “Relationship between Cn and PSA”, the smaller the TPVWCO, the greater the water saving. Meanwhile, The TPVWCO of meeting people’s minimum food needs was 30.21% in four counties (districts). Accordingly, the following three simulation scenarios were established.
Scenario I: The TPVWCO was controlled at 50%, Scenario II: The TPVWCO was controlled at 40%, and Scenario III: The TPVWCO was controlled at 30%. The vacated farmland in Yongchang, Liangzhou, and Gulang should be planted with fruits, a crop with the smallest water requirement per unit area. For the same reason, the vacated farmland of Minqin should be planted with cotton.
The three hypothetical scenarios resulted in water savings (Table 7): the lower the TPVWCO, the greater the water saving. The total water-saving amounts for the four counties (districts) were 1.20 × 108 m3 (scenario I), 1.81 × 108 m3 (scenario II), and 2.43 × 108 m3 (scenario III), respectively, the third scenario has the highest water conservation and the most obvious ecological effect. But in the future PSA, there may be a risk of economic income decline, and the economic benefits need to be comprehensively considered. In order to further clarify the economic benefits of different scenarios, this paper further calculated the agricultural net economic benefits under those three scenarios (Table 8). It can be seen that Scenario II yielded the best total economic benefit, amounting to 87.54 hundred million yuan. Therefore, considering food security, agricultural water saving, ecological and economic benefits comprehensively, the TPVWCO should be controlled at about 40% in the future.
The adjusted planting structure not only meets the basic food needs of local residents but also achieves significant economic benefits. Additionally, it can save 1.81 × 108 m3 of water for ecological restoration, alleviating water scarcity issues. This is crucial for the recovery of the degraded ecological systems in the arid oasis-desert transition zone and for water quality purification. However, we also observed that the transition towards a water-saving planting structure has led to a reduction in the planting area of oil-bearing crops and vegetables, resulting in a decrease in the total economic income of residents. This may have a certain impact on the local agricultural community, posing certain risks. Therefore, while ensuring food security, it is essential to maximize the planting area of economic crops such as oil-bearing crops and vegetables and to moderately increase the cultivation of low-water-consuming economic crops like fruits and cotton. This approach aims to minimize the impact on the agricultural community and mitigate the potential risks associated with the adjustment of the planting structure.
Taking into account water conservation and ecological benefits, food security, and ensuring farmers’ economic income, the adjusted planting structure models for each county and district were presented in Table 9. Among them, considering the food security, the planting proportion of wheat in Liangzhou has not changed by 6.68%.
As shown in Table 10, during the compression of TPVWCO, the vacant land will be used to plant fruits in Gulang, Liangzhou, and Yongchang, while the vacant land will be used to plant cotton in Minqin. Therefore, the water-saving threshold ranges for wheat, corn, oil- bearing crops, and vegetables per unit area are 1836.55–2942.42 m3/ha, 1707.84–2513.04 m3/ha, 1495.05–2065.92 m3/ha, and 2165.02–2942.42 m3/ha, respectively. Among them, wheat and vegetables have great water-saving potential.
In summary, the main content discussed in this section is the relationship between planting structure adjustment and water saving. Through analysis, the most water-saving planting structure model has been identified over the past 38 years, and the future optimal planting structure model for each county and district was proposed.
Conclusions
PSA is one of the key links in building a water-saving agriculture. The scientific evaluation on the impact of PSA on agricultural water saving can provide a scientific basis for agricultural water resource management and agricultural policy making. In this paper, we introduced the virtual water theory and constructed the water-saving evaluation model to analyse the impact of PSA on crop water requirements and identify the optimal agricultural structure model in Shiyang River Basin. The conclusions were as follows:
From 1980 to 2017, the sown area of crops in SRB showed an overall increasing trend. In particular, the sown area of economic crops increased rapidly and the sown area of food crops decreased continuously. At the same time, the proportion of sown area of wheat decreased rapidly, whereas the area proportions of corn, vegetables, fruits, and oil-bearing crops increased in Minqin, Liangzhou, Gulang, and Yongchang. Consequently, wheat gradually lost its dominant position within the planting structure.
The PSA affected the total water requirements of crops and brought different water-saving effects. The water requirements of major crops in the four counties and districts showed an increasing trend due to the increase in sowing area and the adjustment of planting structure. The total area proportion of vegetables, wheat, corn, and oil-bearing crops (TPVWCO) directly determined the water-saving amount. The lower the TPVWCO, the better the water-saving effect. Taking 1980 as the reference year, the most water-saving years in Gulang, Liangzhou, Yongchang, and Minqin were 2007, 1981, 2008, and 2005, respectively. Taking 2007 as the reference year, there were no water-saving years available after that due to the higher TPVWCO. This indicates that the KTPSRB, implemented in 2007, has not yet achieved the goal of agricultural water saving through PSA. Taking into account food security, ecological and economic benefits, it was recommended to control the TPVWCO at 40% in the Shiyang River Basin in the future. The above conclusions can provide guidance to local governments in formulating sustainable agricultural policies. By optimizing planting structures, water resource consumption can be effectively reduced while ensuring the stability of agricultural production. However, this cropping structure model may lead to a certain degree of decline in local residents’ economic income. Therefore, when formulating relevant policies, the government should guide farmers to increase the cultivation of economic crops such as vegetables, oil-bearing crops, and fruits to raise their income. Additionally, farmers should receive certain economic compensation in order to mitigate the potential risks associated with cropping structure adjustments. Investments in water-saving irrigation technologies should be increased to reduce water-saving pressure, and education and training for community residents should be strengthened to enhance farmers’ motivation.
The adjustment of cropping structures is a highly complex and important process, involving various factors such as community residents, government, funding, and technology. This article used meteorological data and socio-economic data to conduct an in-depth study on the impact of planting structure adjustment on water saving in the SRB over the past 38 years by constructing a water-saving evaluation model. It provides new ideas for the relevant research on the water-saving effect of planting structure adjustment. However, due to the lack of long-term field monitoring and research data, it may have a certain impact on the accuracy of the evaluation results. Therefore, in the future work, field monitoring and research should be continuously strengthened, with a focus on the following aspects of research: the impact of climate change on crop water requirements, the potential risks of cropping structure adjustments, and agricultural water resource management policies, as well as the socioeconomic factors influencing farmers’ adoption of water-saving measures. These efforts will provide stronger support for the development of a water-saving society.
Data availability
The data for this study is sourced from China Meteorological Data Network (http:// data.cma.cn), Compilation of Statistics on National Economy and Social Development, Wuwei Statistical Yearbook, Yongchang Statistical Yearbook, Statistics Bureau of Gansu Province, Balanced diet pagoda of Chinese Dietary Guidelines (2016) and Gansu Development Yearbook (2017). Data will be provided upon request. You can contact the corresponding author to obtain data.
References
Zhang, X. & Vesselinov, V. V. Integrated modeling approach for optimal management of water, energy and food security nexus. Adv. Water Resour. 101, 1–10. https://doi.org/10.1016/j.advwatres.2016.12.017 (2017).
Song, J. et al. System dynamics simulation for optimal stream flow regulations under consideration of coordinated development of ecology and socio-economy in the Weihe River Basin, China. Ecol. Eng. 124, 51–68. https://doi.org/10.1016/j.ecoleng.2018.09.024 (2018).
Tan, M. & Zheng, L. Increase in economic efficiency of water use caused by crop structure adjustment in arid areas. J. Environ. Manage. 230, 386–391. https://doi.org/10.1016/j.jenvman.2018.09.060 (2019).
Li, J., Mao, X. & Li, M. Modeling hydrological processes in oasis of Heihe River Basin by landscape unit-based conceptual models integrated with FEFLOW and GIS. Agric. Water Manag. 179, 338–351. https://doi.org/10.1016/j.agwat.2016.09.007 (2017).
Sauer, T. et al. Agriculture and resource availability in a changing world: The role of irrigation. Water Resour. Res. 46, W065003. https://doi.org/10.1029/2009WR007729 (2010).
Zhao, C. & Chen, B. Driving force analysis of the agricultural water footprint in China based on the LMDI method. Environ. Sci. Technol. 48, 12723–12731. https://doi.org/10.1021/es503513z (2014).
Bekchanov, M., Ringler, C. & Bhaduri, A. A water rights trading approach to increasing inflows to the Aral Sea. Land Degradation Develop. 29, 952–961. https://doi.org/10.1002/ldr.2394 (2018).
He, Y., Song, J., Hu, Y., Tu, X. & Zhao, Y. Impacts of different weather conditions and land use change on runoff variations in the Beiluo River Watershed, China. Sustain. Cities Society. 50, 101674. https://doi.org/10.1016/j.scs.2019.101674 (2019).
Ruisen, Z., Xinguang, D. & Yingjie, M. Sustainable water saving: new concept of modern agricultural water saving, starting from development of Xinjiang’s agricultural irrigation over the last 50 years. Irrig. Drain. 58, 383–392. https://doi.org/10.1002/ird.414 (2009).
Raeisi, L. G., Morid, S., Delavar, M. & Srinivasan, R. Effect and side-effect assessment of different agricultural water saving measures in an integrated framework. Agric. Water Manag. 223, 105685. https://doi.org/10.1016/j.agwat.2019.105685 (2019).
Zhang, Z. T., Su, X. L. & Dang, Y. R. Influence of crop planting structure change on irrigation water requirement in Jinghuiqu irrigation area. Trans. Chin. Soc. Agric. Mach. 47, 122–130. https://doi.org/10.6041/j.issn.1000-1298.2016.10.017 (2016).
Berbel, J., Gutiérrez-Martín, C. & Expósito, A. Impacts of irrigation efficiency improvement on water use, water consumption, and response to water price at field level. Agric. Water Manag. 203, 423–429. https://doi.org/10.1016/j.agwat.2018.02.026 (2018).
Zhang, Y., Guo, Y., Shen, Y., Qi, Y. & Luo, J. Impact of planting structure changes on agricultural water requirement in North China Plain. Chin. J. Eco-Agric. 28, 8–16. https://doi.org/10.13930/j.cnki.cjea.190490 (2020).
Wang, Y. B. et al. The optimization for crop planning and some advances for water-saving crop planning in the semiarid Loess Plateau of China. J. Agron. Crop Sci. 196, 55–65. https://doi.org/10.1111/j.1439-037X.2009.00386.x (2010).
Dong, Z. et al. Effective crop structure adjustment under climate change. Ecol. Indicators. 69, 571–577. https://doi.org/10.1016/j.ecolind.2016.04.010 (2016).
Barrett, T., Feola, G., Khusnitdinova, M. & Krylova, V. Adapting agricultural water use to climate change in a post-Soviet context: Challenges and opportunities in Southeast Kazakhstan. Hum. Ecol. 45, 747–762. https://doi.org/10.1007/s10745-017-9947-9 (2017).
Karimov, A. K., Hanjra, M. A., Simunek, J. & Abdurakhmannov, B. Can a change in cropping patterns produce water savings and social gains: A case study from the Fergana Valley, Central Asia. J. Hydrol. Hydromech. 66, 189–201. https://doi.org/10.1515/johh-2017-0054 (2018).
Han, X., Wei, Z., Zhang, B., Han, C. & Song, J. Effects of crop planting structure adjustment on water use efficiency in the irrigation area of Hei River Basin. Water. 10, 1305. https://doi.org/10.3390/w10101305 (2018).
Hao, L., Huang, L., Wang, W. & Zhang, H. Evaluation of the impact of planting structure on water resources. Environ. Eng. Manag. J. 10, 899–903. https://doi.org/10.30638/EEMJ.2011.126 (2011).
Liu, Y., Wang, D., Gao, J. & Deng, W. Land use/cover changes, the environment, and water resources in Northeast China. Environ. Manag. 36, 691–701. https://doi.org/10.1007/s00267-004-0285-5 (2005).
Striker, G. G. Visiting the methodological aspects of flooding experiments: Quantitative evidence from agricultural and ecophysiological studies. J. Agron. Crop Sci. 194, 249–255. https://doi.org/10.1111/j.1439-037X.2008.00317.x (2008).
Zhang, L., Yin, X., Xu, Z., Zhi, Y. & Yang, Z. Crop planting structure optimization for water scarcity alleviation in China. J. Ind. Ecol. 20, 435–445. https://doi.org/10.1111/jiec.12447 (2016).
Liu, Z., Yang, P., Wu, W. & You, L. Spatiotemporal changes of cropping structure in China during 1980–2011. J. Geograph. Sci. 28, 1659–1671. https://doi.org/10.1007/s11442-018-1535-4 (2018).
Liu, D. Q., Liu, S. W. & Wen, X. Spatial-temporal evolution of the grain production structure in the Northeast. Econ. Geogr. 39, 163–170. https://doi.org/10.15957/j.cnki.jjdl.2019.05.019 (2019).
Wang, L. M. & Liu, J. Analysis of spatial-temporal dynamic change of wheat planting structure of China. Chin. Agric. Sci. Bull. 35, 12–23 (2019).
Zhang, Y., Wang, J. & Dai, C. The adjustment of China’s grain planting structure reduced the consumption of cropland and water resources. Int. J. Environ. Res. Public Health. 18, 7352. https://doi.org/10.3390/ijerph18147352 (2021).
Su, X., Li, J. & Singh, V. P. Optimal allocation of agricultural water resources based on virtual water subdivision in Shiyang River Basin. Water Resour. Manag. 28, 2243–2257. https://doi.org/10.1007/s11269-014-0611-5 (2014).
Wang, Z. et al. Optimizing the planting structure in Daxing District in 2020 based on inaccurate two-stage planning model and grey model. MATEC Web Conf. 246, 2052. https://doi.org/10.1051/matecconf/201824602052 (2018).
Yue, Q., Zhang, F. & Guo, P. Optimization-based agricultural water-saving potential analysis in Minqin County, Gansu Province, China. Water. 10, 1125. https://doi.org/10.3390/w10091125 (2018).
Yu, H. et al. The agricultural planting structure adjustment based on water footprint and multi-objective optimisation models in China. J. Clean. Prod. 297, 126646. https://doi.org/10.1016/j.jclepro.2021.126646 (2021).
Shi, P. & Su, X. Countermeasures of crop planting structure adjustment and water saving of Shiyanghe River Basin in Wuwei City. Water Sav. Irrig. 5, 55–57. https://doi.org/10.3969/j.issn.1007-4929.2009.05.018 (2009).
Karandish, F., Salari, S. & Darzi-Naftchali, A. Application of virtual water trade to evaluate cropping pattern in arid regions. Water Resour. Manage. 29, 4061–4074. https://doi.org/10.1007/s11269-015-1045-4 (2015).
Zhou, J. J., Lei, L., Shi, P. J., Wang, L. Y. & Wei, W. Response of runoff to the climate and land use pattern changes in Shiyang River Basin. Acta Ecol. Sin. 35, 3788–3796. https://doi.org/10.5846/stxb201307311997 (2015).
Li, Q. et al. A tributary-comparison method to quantify the human influence on hydrological drought. J. Hydrol. 595, 125652. https://doi.org/10.1016/j.jhydrol.2020.125652 (2020).
Gansu Statistics Bureau. Gansu Development Yearbook. https://tjj.gansu.gov.cn/tjj/c109464/info_disp.shtml (2018).
Lu, H., Wu, Y., Li, Y. & Liu, Y. Effects of meteorological droughts on agricultural water resources in southern China. J. Hydrol. 548, 419–435. https://doi.org/10.1016/j.jhydrol.2017.03.021 (2017).
Wang, J. S., Fei, X. L. & Wei, F. Further study of temperature change in Northwest China in recent 50 years. J. Desert Res. 28, 724–732 (2008).
Xu, X., Jiang, Y., Liu, M., Huang, Q. & Huang, G. Modeling and assessing agro-hydrological processes and irrigation water saving in the middle Heihe River basin. Agric. Water Manag. 211, 152–164. https://doi.org/10.1016/j.agwat.2018.09.033 (2019).
Liu, X. et al. New challenges of food security in Northwest China: Water footprint and virtual water perspective. J. Clean. Product. 245, 118939. https://doi.org/10.1016/j.jclepro.2019.118939 (2020).
Cao, Y. & Wei, H. Spatio-temporal characteristics of adaptability between crop water requirements for summer maize and rainfall in Henan Province, China. Environ. Sci. Pollut. Res. 27, 37419–37431. https://doi.org/10.1007/s11356-020-09186-1 (2020).
Xue, D. et al. Impacts of climate change and human activities on runoff change in a typical arid watershed, NW China. Ecol. Indic. 121, 107013. https://doi.org/10.1016/j.ecolind.2020.107013 (2021).
Allan, J.A. Fortunately there are substitutes for water: Otherwise our hydropolitical futures would be impossible. in Proceedings of the Conference on Priorities for Water Resources Allocation and Management. 13, 26 (1993).
Zhu, D. J. & Tian, Y. H. Comparative research of virtual water and water footprint. Tongji Univ. J. Social Sci. Sect. 23, 43–49. https://doi.org/10.3969/j.issn.1009-3060.2012.04.006 (2012).
Yang, H., Wang, L., Abbaspour, K. C. & Zehnder, A. J. B. Virtual water trade: An assessment of water use efficiency in the international food trade. Hydrol. Earth Syst. Sci. 10, 443–454. https://doi.org/10.5194/hess-10-443-2006 (2006).
Wu, L. et al. Toward a better understanding of virtual water trade: Comparing the volumetric and impact-oriented virtual water transfers in China. Resources Conserv. Recycling. 186, 106573. https://doi.org/10.1016/j.resconrec.2022.106573 (2022).
Nie, Y., Li, X. Y., Jiang, W. Q. & Liu, N. J. Planting structure optimization of three main grain crops in 10 northern China provinces based on water footprint method. Resour. Sci. 44, 2315–2329. https://doi.org/10.18402/resci.2022.11.12 (2022).
Huang, H. et al. Cropping pattern optimization considering water shadow price and virtual water flows: A case study of Yellow River Basin in China. Agric. Water Manag. 284, 108339. https://doi.org/10.1016/j.agwat.2023.108339 (2023).
Allen, R. G., Pereira, L. S., Raes, D. & Smith, M. Crop evapotranspiration: Guidelines for computing crop water requirements. FAO Irrigation and drainage paper 56. Fao Rome. 300, D05109 (1998).
Qin, L., Jin, Y. & Duan, P. Production water footprint of maize in the West of Jilin Province. Sci. Geogr. Sin. 32, 1020–1025. https://doi.org/10.13249/j.cnki.sgs.2012.08.012 (2012).
Valipour, M. Future of agricultural water management in Africa. Arch. Agron. Soil Sci. 61, 907–927. https://doi.org/10.1080/03650340.2014.961433 (2015).
Hargreaves, G. H. & Allen, R. G. History and evaluation of Hargreaves evapotranspiration equation. J. Irrigation Drainage Eng. 129, 53–63. https://doi.org/10.1061/(ASCE)0733-9437(2003)129:1(53) (2003).
Wu, I. A simple evapotranspiration model for Hawaii: The Hargreaves model. Eng. Noteb. 106, 1–2 (1997).
Wang, X. H., Guo, M. H. & Xu, Z. M. Comparison of estimating ET0 in arid-area of Northwest China by Hargreaves equation and Penman-Monteith equation. Trans. Chin. Soc. Agric. Eng. 22, 21–25. https://doi.org/10.3321/j.issn:1002-6819.2006.10.005 (2006).
Feng, K. & Tian, J. C. Estimation of evapotranspiration in Ningxia by Hargreaves equation. J. Arid Land Resources Environ. 28, 100–105. https://doi.org/10.13448/j.cnki.jalre.2014.09.026 (2014).
Zhou, J. J., Shi, P. J. & Shi, W. Temporal and spatial characteristics of climate change and extreme dry and wet events in Shiyang River Basin from 1960 to 2009. J. Nat. Resour. 27, 143–152. https://doi.org/10.11849/zrzyxb.2012.01.015 (2012).
Hoekstra, A. & Hung, P. Q. Virtual water trade: A quantification of virtual water flows between nations in relation to international crop trade. Water Sci. Technol. 49, 203–209 (2002).
Kang, S., Su, X., Du, T., et al. Patterns of Water Resource Transformation and Water-saving Regulation Models in Northwest Arid River Basins: A Case Study of the Shiyang River Basin in Gansu. 239–250 (China Water & Power Press, Beijing, 2009).
Pang, F. H., Yang, J. W., Pang, Z. L. & Du, R. Q. The correlation analysis between Populus Simonii ecophysiological indexes and environmental factors. Sci. Total Environ. 30, 3188–3197 (2010).
Zhou, J. et al. Wind speed changes and influencing factors in inland river basin of monsoon marginal zone. Ecol. Indic. 130, 108089. https://doi.org/10.1016/j.ecolind.2021.108089 (2021).
Gao, G., Chen, D., Ren, G., Chen, Y. & Liao, Y. Spatial and temporal variations and controlling factors of potential evapotranspiration in China: 1956–2000. J. Geogr. Sci. 16, 3–12. https://doi.org/10.1007/s11442-006-0101-7 (2006).
Li, Z., Chen, Y., Yang, J. & Wang, Y. Potential evapotranspiration and its attribution over the past 50 years in the arid region of Northwest China. Hydrol. Process. 28, 1025–1031. https://doi.org/10.1002/hyp.9643 (2014).
Ravazzani, G., Ceppi, A. & Davolio, S. Wind speed interpolation for evapotranspiration assessment in complex topography area. Bull. Atmos. Sci. Technol. 1, 13–22. https://doi.org/10.1007/s42865-019-00001-5 (2020).
Li, J. F. & Shu, X. L. Subdividing virtual water of farm produce in Shiyang River basin. J. Irrigation Drainage. 31, 113–116. https://doi.org/10.13522/j.cnki.ggps.2012.01.009 (2012).
Acknowledgements
First of all, we would like to thank our colleagues for their support. Secondly, we thank the support of the National Natural Science Foundation of China [Grant numbers 42361005, 41861040, 41867030], such that we could successfully complete this paper. Finally, we sincerely thank the editors and expert reviewers for their valuable comments.
Funding
This research is funded by the National Natural Science Foundation of China [Grant numbers 42361005, 41861040, 41867030].
Author information
Authors and Affiliations
Contributions
J Zhou: Conceptualization, Validation, Writing-Review & Editing, Project administration. Y Luo: Conceptualization, Methodology, Writing-Original Draft, Writing-Review & Editing, Software. J Wang: Date curation, Writing-Review & Editing, English polishing. J Dou: Investigation. L Wang: Investigation. W Shi: Investigation. D Zhang: Investigation. W Wei: Funding acquisition. G Zhu: Funding acquisition.
Corresponding author
Ethics declarations
Competing interests
The authors declare no competing interests.
Additional information
Publisher’s note
Springer Nature remains neutral with regard to jurisdictional claims in published maps and institutional affiliations.
Rights and permissions
Open Access This article is licensed under a Creative Commons Attribution-NonCommercial-NoDerivatives 4.0 International License, which permits any non-commercial use, sharing, distribution and reproduction in any medium or format, as long as you give appropriate credit to the original author(s) and the source, provide a link to the Creative Commons licence, and indicate if you modified the licensed material. You do not have permission under this licence to share adapted material derived from this article or parts of it. The images or other third party material in this article are included in the article’s Creative Commons licence, unless indicated otherwise in a credit line to the material. If material is not included in the article’s Creative Commons licence and your intended use is not permitted by statutory regulation or exceeds the permitted use, you will need to obtain permission directly from the copyright holder. To view a copy of this licence, visit http://creativecommons.org/licenses/by-nc-nd/4.0/.
About this article
Cite this article
Zhou, J., Luo, Y., Wang, J. et al. Impacts of planting structure adjustment on water saving in the Shiyang River Basin of Arid Region. Sci Rep 14, 30732 (2024). https://doi.org/10.1038/s41598-024-80105-x
Received:
Accepted:
Published:
Version of record:
DOI: https://doi.org/10.1038/s41598-024-80105-x











