Abstract
The bound-state solution of the radial Klein-Gordon equation has been obtained under the interaction of an exponential-type and Yukawa potential functions. The Greene-Aldrich approximation has been used to overcome the centrifugal barrier and enable the analytical solutions of the energy and wave functions in closed form. The momentum space wave function in D dimensions has been constructed using the Fourier transform. The mean values have been conjectured for the position and momentum spaces using two equivalent equations. The effects of the potential parameters on the expectation values and quantum information measurement have been investigated. For the 1D case, the results obey the Heisenberg uncertainty principle, Fisher, Shannon, Onicescu, and the Rényi entropic inequalities. Other information complexities measures, such as Shannon Power, Fisher-Shannon, and Lopez-Ruiz-Mancini-Calbet, have been verified. For the ground state, the 1D momentum expectation value \(\langle p^{2} \rangle_{00}\) coincides with the 3D \(\langle p^{2} \rangle_{000}\) values, which is an indication of degeneracy. The total energy of a particle in both 1D and 3D space may be degenerate due to the inter-dimensional degeneracy of the quantum numbers. However, in this present result, the degeneracy in 1D and 3D occurred for fixed quantum states at different momentum intervals. Thus, in 1D, a particle may transit an entire space (\(\:-\infty\:<p<\infty\:)\) with a certain kinetic energy, which must be equal to its kinetic energy if it moves through the interval \(\:0<p<\infty\:\) in 3D space. This may have implications for kinetic energy degeneracy in higher dimensions.
Similar content being viewed by others
Introduction
Quantum mechanical observables are useful for predicting the behaviour of particles confined in potential barriers and wells. The average kinetic and potential energies of particles and molecules may aid in the understanding of the spectroscopic and statistical properties of quantum mechanical systems. The position mean values and the corresponding momentum average values have been used to measure physical quantities in many branches of science1. For example, the mean value \(\langle\,r^2\rangle\)has been used to determine the Pauli-Lagevin diamagnetic susceptibility2. The expected value for the momentum moments (\(\:{p}^{a}\)) may provide useful information on kinetic energy measurement, Compton profile, and the relativistic kinetic energy corrections3. Also, the entropic densities derived from the probability of the wave functions play important roles in determining the Shannon4, Tsallis5, and Rényi6information entropies, as well as energy exchanges in atomic physics7. The matrix elements of certain particles, together with their energy levels, have been applied to obtain the strength of oscillators8and the optical properties of quantum dots9. The bound-state solutions to the wave equations are vital for describing the properties of quantum systems. A considerable number of potential functions have been used to describe physical systems with the relativistic and nonrelativistic wave equations10,11,12,13,14,15,16,17,18,19,20where only a few permit exact analytical solutions. The solutions of the non-exactly solvable systems may be obtained using approximations21,22as well as numerical methods23. Gil-Barrera et al.24 investigated one-dimensional quantum information entropies with hyperbolic potentials. They obtained the Shannon entropies for both position and momentum spaces and their results verify the global Shannon entropic sum inequality. Dong et al.25obtained the bound states of the one-dimensional Schrödinger equation with a squared tangent potential function. They applied the wave function to obtain the position and momentum space expectation values and the Shannon entropies. Their results satisfy the Heisenberg uncertainty and the Shannon sum inequality. Quantum information theoretic measures for one-dimensional systems under different potential wells have also been examined in the literature26,27. In two dimensions, the cylindrical polar wave equation is used to obtain the bound state for any magnetic and principal quantum numbers. The resulting wave function has been applied to obtain quantum information theoretic measures with different potential functions28,29. For the three-dimensional problem, the bound state solutions for any principal, orbital, and magnetic quantum numbers can be obtained by solving the Schrödinger equation in spherical polar coordinates, where the wave function may be separated into the spherical harmonics and the radial component. The radial part of the wave function has been used to investigate quantum information under a three-dimensional infinite Spherical well30. The energy levels of the multi-dimensional eigenvalue problem can be obtained using any preferred analytical method but the analytical solutions of the momentum space wave functions in two and three dimensions may require a rigorous algebraic approach depending on the potential function. Our motivation is drawn from the fact that quantum information theoretic studies for two and three dimensions have been conspicuously neglected due to the difficulty in obtaining the Fourier transforms for the momentum space wave functions.
The objectives of this paper are: To obtain the analytical bound state solutions of the relativistic radial Klein-Gordon equation in closed form with an exponential-type potential plus Yukawa potential function. To obtain expectation values and verify quantum information theoretic complexity measures in multi-dimensional spaces using the nonrelativistic bound state solutions. The organization of the remaining parts of the paper are as follows. In sect. two, the energy levels and wave function of the time-independent radial Klein-Gordon equation (KGE) will be obtained in closed form using the Parametric Nikiforov-Uvarov approach (pNU)31. Section three contains the determination of the non-relativistic wave function which will be applied to obtain quantum expectation values and theoretic information complexity measures in D dimensions. The inequalities characterizing the theoretic quantities will be verified for both 1D-3D spaces. In sect. four, we present the discussion of results and the article is concluded in sect. five.
Bound state solution of exponential-type plus Yukawa potential function using pNU method
In this work, we proposed the an exponential potential plus Yukawa potential function given by
The first term is a special case of the molecular potential32 for \(\:q=1,\:{V}_{0}={D}_{e}\:,{V}_{1}=0\). Also, the Yukawa potential33 can be obtained when \(\:{V}_{0}=0\). The notations \(\:{V}_{i}\left(i=0,\:1\right),\:\)\(\:\alpha\:\) and \(\:R\) are the respective depths of the potential, range and equilibrium distance. The bound states solutions with the individual potentials have been obtained for the wave equations in existing literature32,33,34 using different methods. The bound state solutions have various applications in molecular and nuclear physics.
The time-independent radial KGE can be expressed as35,36
where \(\:{E}_{nl}^{R}\), \(\:M\), \(\:\hslash\:\) and \(\:c\) are the respective relativistic energy, rest mass, reduced Planck’s constant and speed of light. The notations \(\:U\left(r\right)\) and \(\:S\left(r\right)\) are repulsive vector and attractive scalar potentials. In this work, we used the condition for equal vector and scalar potential such that (2) can be reduced further to
where
The radial Schrödinger equation can be obtained from (3) using the transformation \(\:\frac{\left({E}_{nl}^{R}-M{c}^{2}\right)}{{\hslash\:}^{2}{c}^{2}}\to\:2{E}_{nl}^{R}\) and \(\:\frac{\left({E}_{nl}^{R}+M{c}^{2}\right)}{{\hslash\:}^{2}{c}^{2}}\to\:\mu\:/{\hslash\:}^{2}\). Inserting the potential in Eq. (1) into Eq. (3) gives
To solve Eq. (4) we adopted the pNU method used for obtaining the bound states of the wave equations with solvable potential functions in quantum mechanics. The details of the method can be found in the literature31. Equation (4) is not exactly solvable owing to the centrifugal barrier term. To this end an approximation such as the Greene-Aldrich approximation for small \(\:\alpha\:\ll\:1\)and radial distance21 has been used to solve exponential-type potential.
Using the change of variable, \(\:\:\omega\:={e}^{-\alpha\:r}\), Eq. (4) transforms to the standard hypergeometric-type differential equation:
where
Comparing the parameters associated with the standard hypergeometric equation31 with Eq. (6), we obtained the necessary conditions for the energy spectra and the wave function respectively
where.
\(\:{P}_{n}^{\left(a,\:\:\:b\:\right)}\left(1-2\omega\right)\) is the Jacobi polynomial of order \(\:n\:\:\)and \(\:{N}_{nl}\) is the normalization constant.
Inserting the quantities \(\:{\gamma\:}_{i}\left(i=1,\:\:2,\:3\right)\) in Eqs. (7–9) into (10) and (11), the bound state energy of the radial KGE can be written in closed-form
where
Using the transformation \(\:\frac{\left({E}_{nl}^{R}-M{c}^{2}\right)}{{\hslash\:}^{2}{c}^{2}}\to\:2{E}_{nl}^{R}\) and \(\:\frac{\left({E}_{nl}^{R}+M{c}^{2}\right)}{{\hslash\:}^{2}{c}^{2}}\to\:\mu\:/{\hslash\:}^{2}\), the non-relativistic energy is obtained as
where
The nonrelativistic wave function can be written as
where
Normalization of the wave function and determination of expectation values in position and momentum spaces
One-dimensional case
The normalization factor for the position space wave function can be obtained starting from the probability of finding a quantum particle in the region \(\:0<r<\infty\:\) of space provided the condition is satisfied
Using the wave function in (14), Eq. (15) turned out as
If we let \(\:\omega\:={e}^{-\alpha\:r}\) then
The explicit expression for the Jacobi polynomial can be written in two different ways37
Substituting Eqs. (18) and (19) into (17) gives
where
Using the integral notation for the hypergeometric function37,38
Equation (22) can further be reduced to
The property of the hypergeometric function is given as
With Eq. (24), the solution of Eq. (21) is obtained as
Inserting (25) into (20) gives the normalization constant as
where
The momentum space wave function can be obtained from the Fourier transform as follows:
The wave function \(\:{\psi\:}_{nl}^{NR}\left(p\right)\) is complex and satisfies the ortho-normality condition
where \(\:p\) and \(\:{\delta\:}_{n{n}^{{\prime\:}}}\) are the respective momentum of a particle and the Kronecker delta.
Using the wave function in (14) with the explicit expression of the Jacobi function in Eq. (18), the momentum space wave function is given as
Solving Eq. (29) analytically is a difficult task but with the help of the Mathematica program, the solution becomes
where \(\:H\left(p\right)\) is a generalized hypergeometric function given as
Two and three-dimensional cases
The two- dimensional Schrödinger equation can be written as an eigenvalue Eq.
The 2D Hamiltonian is given in cylindrical polar coordinates as
The eigenfunction \(\:{\psi\:}_{nm}^{NR}\left(r,\:\:\:{\phi\:}_{r}\right)=\frac{{R}_{nm}\left(r\right)}{\sqrt{2\pi\:r}}{e}^{im{\phi\:}_{r}}\), in the boundary \(\:0<r<\infty\:\), \(\:0<{\phi\:}_{r}<2\pi\:\) is the solution of (32) where \(\:\frac{{R}_{nm}\left(r\right)}{\sqrt{r}}\) and \(\:\frac{{e}^{im{\phi\:}_{r}}}{\sqrt{2\pi\:}}\) correspond to the respective solutions of the radial and azimuthal components of the 2D Schrödinger equation given by
where \(\:{E}_{nm}^{NR}\), \(\:{R}_{nm}\left(r\right)\) and \(\:m\) are the 2D energy, wave function and the magnetic quantum number. The 2D bound states of both the Klein-Gordon and Schrodinger equations are obtained by mapping the 1D problem using the relation \(\:\left(l+1/2\right)\to\:m\). The 2D wave function normalization condition can be written as
where
The momentum space wave function in 2D space can be written via the Fourier transform
The solution of the azimuthal integral is straightforward using the integral properties of the Bessel function39
where.
\(\:{J}_{m}\left(pr\right)\) is the \(\:m\)-order Bessel function of the first kind.
Substituting Eq. (39) into (38) yields
Since the wave function contains the Jacobi function, the analytical solution of Eq. (40) is a difficult task to achieve. To this end, we utilized an asymptotic approximation of the Bessel function40
Substituting Eq. (41) into (40) with \(\:{R}_{nm}\left(r\right)\) gives
Using the expression in Eq. (18) and evaluating the integral with the help of the Mathematica programme gives the 2D momentum space wave function as
where
For \(\:m=0\), the momentum space wave function is given by
For the 3D case, the solution of the eigenfunction of the Schrödinger equation in spherical polar coordinates is given by
where \(\:{Y}_{lm}\left(\theta\:,\varphi\:\right)\) are the Spherical Harmonics and the solution of the angular part of the Schrödinger equation whereas \(\:{R}_{nl}\left(r\right)\) remains the usual one-dimensional position wave function. The \(\:{Y}_{lm}\left(\theta\:,\varphi\:\right)\) is expressed as
where the function \(\:{P}_{l}^{m}\left(\text{c}\text{o}\text{s}\left(\theta\:\right)\right)\:\)is the associated Legendre polynomial.
The wave function in momentum space is given by the Fourier transform41
The notation \(\:d\varvec{r}\)\(\:=\left({r}^{2}dr\right)\text{s}\text{i}\text{n}\left(\theta\:\right)d\theta\:d\varphi\:\) is the volume element in position space. The plane-wave expansion for \(\:{e}^{-i\varvec{p}\cdot\varvec{r}}\)is given as42
Due to axial symmetry, only the \(\:m=0\) terms would remain such that the plane-wave expansion reduces to
Inserting Eqs. (46) and (50) into (48) gives
By utilizing Eq. (41) for the Bessel function, and also the orthonormality condition for the Spherical Harmonics, Eq. (51) simplifies to
where
Using the position wave function with the expression for the Jacobi function in (18), the integral in Eq. (53) can be evaluated with the Mathematica programme. The momentum space wave function is then obtained as
where
Expectation values and theoretic information measures
The respective 1D position and momentum space expectation values can be given as
It is worth stating that the first equations in (56) and (57) containing the derivative, are not suitable to finding the expectation values with \(\:t<0\) and fractional values of \(\:t.\) In 2D, the expectation values in position and momentum spaces are given by the relations
In 3D space, the mean values in position and momentum spaces are given by
where \(d\Omega =\sin \left( \theta \right)d\theta d\phi\) is the differential solid angle.
The knowledge of the wave functions is vital in studying the quantum information theoretic measures using the entropic densities. The Rényi entropies in D-dimensional spaces for the position and momentum coordinates are given by the equations43
where \(\:g\in\:\left[0,\infty\:\right]\) is a real number. The Rényi entropies increase with a decrease in \(\:g\) but decrease as \(\:g\)increases. An increment in the Rényi entropy is an indication of delocalization or the reduction of information for a given system39,44. When the Rényi entropy decreases then we have more information on the system or localization is prominent. Also, the sum of the Rényi entropies for a system should satisfy global inequality44
where \(\:D\) is the dimension number and the parameters \(\:f\) and \(\:g\)satisfy the linear constraint44.
When the index parameter \(\:g=1\), the Rényi entropies reduce to the Shannon entropies44
The Shannon entropic sum obeys the Beckner Bialynicky Birula Mycielski (BBM)45 inequality
The Fisher information is a local measure of the spread of the probability distribution which can be represented by the gradient of the probability densities in position and momentum spaces46.
where\(\rho \left( {\varvec{r}} \right)={\left| {\Psi \left( {\varvec{r}} \right)} \right|^2}\) and \(\gamma \left( {\varvec{p}} \right)={\left| {\Psi \left( {\varvec{p}} \right)} \right|^2}\) are the respective probability densities in position and momentum spaces. The notation\(\nabla\)is the gradient operator of a particle. In spherical coordinates, it is given as
The higher the fisher information, the more localized the probability density which implies also less uncertainty. The Fisher information obeys the inequality \(\:I\left(\rho\:\right)I\left(\gamma\:\right)\ge\:4{D}^{2}\). The Onicescu information is the square of the probability densities which measure the distance of the system from uniform equilibrium47. The Onicescu information in position and momentum spaces entropies can be expressed as48
The total Onicescu information obeys the inequality49 \(\:O\left(\rho\:\right)O\left(\gamma\:\right)\le\:\frac{1}{{\left(2\pi\:\right)}^{D}}\). The smaller the value of \(\:O\left(\rho\:\right)O\left(\gamma\:\right)\), the more information we have about the system47,50 and vice versa.
Using the information-theoretic quantities, other complex measures can be obtained. The Shannon entropic power in position and momentum spaces are given as51
The Shannon entropic power for a quantum system should satisfy the uncertainty relation
The Fisher-Shannon complexity measure obeys the uncertainty relations.
\(\:I\left(\rho\:\right)J\left(\rho\:\right)\ge\:D\) and \(\:I\left(\gamma\:\right)J\left(\gamma\:\right)\ge\:D\). Another information complexity measure is the Lopez-Ruiz-Mancini-Calbet (\(\:{C}_{LMC}\)) defined as52
The LMC complexity obeys the bound \(\:{C}_{LMC}\ge\:1.\)
Recently, the LMC-Renyi complexity of the D-dimensional hydrogenic system has been studied and applied to quasi-spherical and highly excited Rydberg states53. The LMC-Renyi complexity is given as54,55.
The LMC-Rényi complexity is dimensionless55 and bounded from below as \(\:{\stackrel{-}{C}}_{LMC}\left(\gamma\:\right)\ge\:1\) provided \(\:g<f\).
Discussion of results
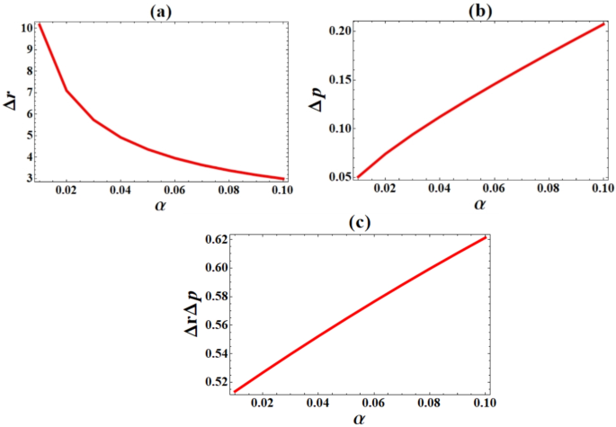
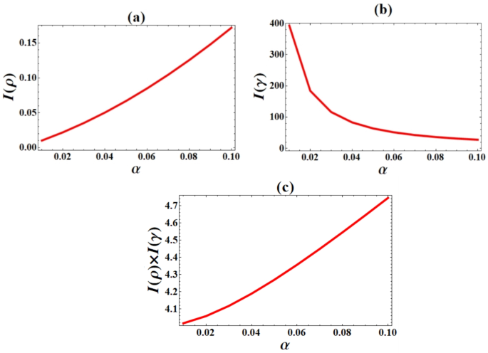
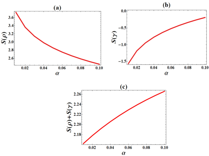
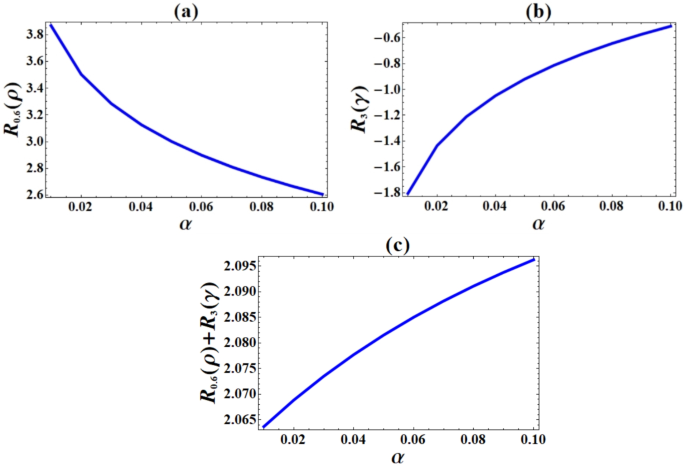
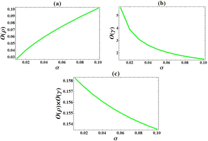
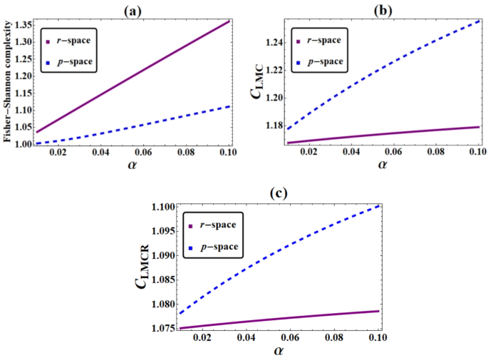
The analytical bound state solutions of the radial Klein-Gordon equation have been obtained under an exponential potential plus Yukawa potential via the parametric Nikiforov-Uvarov approach. Using a Greene-Aldrich approximation for the centrifugal barrier, the energy spectra and the wave function were obtained in closed form. The Schrödinger equation is obtained as a special case of the Klein-Gordon equation using an appropriate transformation. Using the non-relativistic wave functions in position and momentum representations, the ground state expectation values and information complexity measures have been investigated with arbitrary parameters (\(\:R=1.2,{\text{V}}_{0}=0.05,{\text{V}}_{1}=0.44,q=0.1\)) of the potential and natural units \(\:\mu\:=0.5,\hslash\:=1\).The 1D uncertainty in position space (\(\:\varDelta\:r\)) is observed to decrease as \(\:\alpha\:\) increases (Fig. 1a) However, in Fig. 1b, the momentum space uncertainty increases with \(\:\alpha\:\). The uncertainty product (\(\:\varDelta\:p\times\:\varDelta\:r\)) increases monotonically, while satisfying the Heisenberg uncertainty inequality. In Fig. 2, the \(\:r\)-space Fisher information increases, while the \(\:p\)-space Fisher information decreases with increasing \(\:\alpha\:\). This implies better localization of the radial probability density and a more diffuse momentum probability density function with increasing \(\:\alpha\:\). This further implies a decrease in the position uncertainty and an increase in momentum uncertainty as \(\:\alpha\:\) increases. The Fisher product as shown in Fig. 2c shows the same trend as the uncertainty product in Fig. 1c and obeys the inequality \(\:I\left(\rho\:\right)\times\:I\left(\gamma\:\right)\ge\:4\). In Fig. 3, the position Shannon entropy is observed to increase as \(\:\alpha\:\) increases, while the momentum Shannon entropy decreases (Fig. 3a, b). This is in line with the Fisher information result since it implies a narrowing of the radial probability density with increasing \(\:\alpha\:\) and a broadening of the momentum probability density. The Shannon entropy sum shows an identical trend to the Fisher product where the result verifies the BBM inequality for the 1D system (see Fig. 3c). Similarly, the Rényi entropy in Fig. 4 shows a similar trend to the Shannon entropy where the Rényi sum is found to be bounded above the lowest value thus satisfying the relations in Eq. (65). In Fig. 5, the radial Onicescu information is observed to decrease monotonically, while the momentum Onicescu information increases. This is, as expected an opposite trend to the Shannon entropy since the Shannon entropy and Onicescu information describe a mutually opposite form of probability density47. It is observed that the total Onicescu information decreases sharply as \(\:\alpha\:\) increases (Fig. 5c), implying an increase in the information content of the system. In Fig. 6, the Shannon power shows a similar trend to the Fisher information. In Fig. 7 (a), the product of the Fisher information and Shannon power for both \(\:r\)- and \(\:p\)- space increase slowly above the lowest bound as \(\:\alpha\:\) increases. Figure 7b, shows LMC complexity in \(\:r\)- space and\(\:\:p\)- space increasing with an increase in \(\:\alpha\:\). In Fig. 7 (c), the position and the momentum space LMC-Rényi complexities increase with an increase in \(\:\alpha\:\). In all the cases, the lower bound of the complexities is satisfied as expected.
(a-c). Uncertainties for \(\:\varDelta\:r\), \(\:\varDelta\:p\) and Heisenberg uncertainty product.
(a-c). Fisher information in position and momentum coordinates and Fisher uncertainty product.
(a-c). Shannon entropies in position and momentum coordinates and Shannon sum.
(a-c). Rényi entropies in position and momentum coordinates and Renyi sum.
(a-c). Onicescu information entropies in position and momentum coordinates and total Onicescu information entropies.
(a-c). Shannon power complexities measures in position and momentum spaces.
(a). Fisher-Shannon complexities measures in position and momentum spaces (b) Lopez-Ruiz-Mancini-Calbet (\(\:{C}_{LMC}\)). (c) Lopez-Ruiz-Mancini-Calbet-Rényi (\(\:{C}_{LMCR}\)) complexities measures.
The 2D eigenenergy solutions can be obtained by mapping the quantum numbers (\(\:m=l+1/2\)). However, to obtain the momentum space wave function, the Fourier transform for the cylindrical polar coordinate has been applied in Eq. (38). Evaluating the Fourier transform is a difficult task owing to the nature of the position space wave function. In this case, we applied an asymptotic approximation of the Bessel function in Eq. (41) inside the Fourier integral to obtain an approximate solution of the 2D momentum wave function. In Fig. 8 (a-d) we graphed the exact and the asymptotic Bessel function of the first kind for the magnetic quantum numbers \((m=0-3)\). It can be seen that the ground state \(\:m=0\), is a fair approximation.
(a-d). Variations of exact and asymptotic Bessel function of the First Kind with position for magnetic quantum numbers \((m=0-3)\).
Using the eigenfunctions, the ground state 2D mean values for \(\langle p^{2} \rangle_{00}\) and \(\langle r^{2} \rangle_{00}\) have been obtained numerically in Table 1. The momentum space expectation value obtained with the asymptotic approximation (Eq. (59a)) is fairly accurate for small \(\:\alpha\:\) compared to the results obtained from the (Eq. (59b)) in radial representation. The expectation value for \(\langle p^{2} \rangle\) increases with an increase in the screening parameter while \(\langle r^{2} \rangle\) decreases as the screening parameter increases. Consequently, the 2D Fisher information in position space increases as \(\:\alpha\:\) increases but in momentum representation, the Fisher entropy decreases with increasing \(\:\alpha\:\) parameter. The Fisher product obeys the inequality \(\:I\left(\rho\:\right)I\left(\gamma\:\right)\ge\:16\). Also, the Heisenberg-type product \(\langle p^{2} \rangle_{00}\times\langle r^{2} \rangle_{00}\) is bounded above the lowest bound. In Table 2, the 3D expectation values \(\langle p^{2} \rangle_{000}\) and \(\langle p \rangle_{000}\) increase with the screening parameter but \(\langle p^{-2} \rangle_{000}\) and \(\langle p^{-1} \rangle_{000}\) decrease as the screening parameter increases. The mean values of \(\langle p^{2} \rangle_{000}\) and \(\langle p^{-1} \rangle_{000}\) play a vital role in accessing the kinetic energy of a particle and the Compton profile. The 3D Fisher information in position space increases with \(\:\alpha\:\), while in momentum coordinate, it decreases as \(\:\alpha\:\) increases. The Fisher product obtained in Table 2 is greater than the lowest bound and satisfies the inequality \(\:I\left(\rho\:\right)I\left(\gamma\:\right)\ge\:36\). In Table 3, the Shannon entropy in position space decreases as the screening parameter increases but in the momentum space, the Shannon entropy increases steadily. The Shannon sum is bounded above the minimum value and obeys the global inequality \(\:\:S\left(\rho\:\right)+S\left(\gamma\:\right)\ge\:6.43419.\) The Rényi entropies variations with the screening parameter follow a similar trend as the Shannon entropies. The Rényi sums are bounded above the lowest bound. In Table 4, the Onicescu information and Shannon entropic power follow a similar trend where the entropies in position space decrease with the screening parameter but increase with the increase in the screening parameter for momentum coordinate. The Shannon entropic power and the Fisher-Shannon Complexity measures obey the inequality \(\:\:J\left(\rho\:\right)J\left(\gamma\:\right)\ge\:\frac{1}{4}\) and \(\:I\left(\rho\:\right)J\left(\rho\:\right)\ge\:3.\) The total Onicescu information entropy obeys the inequality\(\:\:O\left(\rho\:\right)O\left(\gamma\:\right)\le\:\frac{1}{{\left(2\pi\:\right)}^{3}}\). However, as \(\alpha\) become large, the total Onicescu information is bounded above the minimum value. It is worth stating that the 1D expectation values for \(\langle p^{\pm{z}} \rangle\) (\(\:z=\)odd integers) vanish due to symmetry but are finite for 2D and 3D spaces.
Conclusion
The bound state solutions of the radial Klein-Gordon equation have been obtained under an exponential-type and Yukawa potential functions using the parametric Nikiforov-Uvarov approach. The Greene-Aldrich approximation was used to replace the centrifugal term to allow for the analytical solution of the energy and wave function in closed form. The Schrödinger equation bound states were obtained as a special case by using an appropriate transformation. The wave functions have been utilized to obtain expectation values and entropic densities in both position and momentum in \(\:D\)-dimensional spaces. In addition, the information measurements for the system are analogous to the Heisenberg uncertainty principle and satisfy the entropic inequalities. Also, the 1D momentum expectation value \(\langle p^{2} \rangle_{00}\) coincides with the 3D \(\langle p^{2} \rangle_{000}\) values which is an indication of degeneracy. The total energy of a particle in both 1D and 3D space may degenerate due to the inter-dimensional degeneracy of the quantum numbers. However, in this present result, the degeneracy in 1D and 3D occurred for fixed quantum states at different momentum intervals. Thus in 1D, a particle may transit an entire space (\(\:-\infty\:<p<\infty\:)\) with a certain kinetic energy which must be equal to the kinetic energy of the same particle which moves through the interval \(\:0<p<\infty\:\) in 3D space.
Data availability
All data reported in this article were obtained from the analytical equations discussed within the article.
References
Dehesa, J. S., López-Rosa, S. & Manzano, D. in In Statistical Complexity. 129 (eds Sen, K. D.) (Springer Netherlands, 2011).
Mukherjee, N. & Roy, A. K. Some complexity measures in confined isotropic harmonic oscillator. J. Math. Chem. 57, 1806–1821 (2019).
Mukherjee, N. & Roy, A. K. Analysis of Compton profile through information theory in H-like atoms inside impenetrable sphere. J. Phys. B. 53, 235002 (2020).
Shannon, C. E. A Mathematical Theory of Communication. Bell Syst. Tech. J. 27, 379–423 (1948).
Tsallis, C. Possible generalization of Boltzmann-Gibbs statistics. J. Stat. Phys. 52, 479–487 (1988).
Rényi, A. Probability Theory (North Holland, 1970).
Sen, K. D. Statistical Complexity: Applications in Electronic Structure (Springer, 2012).
Omugbe, E. et al. Fisher information entropies and the strength of an oscillator under a mixed hyperbolic Pöschl–Teller potential function. Indian J. Phys. 97, 3411–3417 (2021).
Mathe, L. et al. Linear and nonlinear optical properties in spherical quantum dots: inversely quadratic Hellmann potential. Phys. Lett. A. 397, 127262 (2021).
Eckart, C. The penetration of a potential barrier by Electrons. Phys. Rev. 35, 1303–1309 (1930).
Hulthén, L. Uber die Eigenlösungen Der Schrödinger Chung Des Deutrons. Ark. Mat. Astron. Fys a. 28, 1–12 (1942).
Levine, I. N. Accurate potential energy function for diatomic molecules. J. Chem. Phys. 45, 827–828 (1966).
Manning, M. F. & Rosen, N. Minutes of the Middletown meeting, October 14, 1933. Phys. Rev. 44, 951–954 (1933).
Morse, P. M. Diatomic molecules according to the wave mechanics. 2. Vibrational levels. Phys. Rev. 34, 57–64 (1929).
Pöschl, G. & Teller, E. Z. Bemerkungen Zur Quantenmechanik Des Anharmonischen Oszillators. Z. für Physik. 83, 143–151 (1933).
Schiöberg, D. The energy eigenvalues of hyperbolical potential functions. Mol. Phys. 59, 1123–1137 (1986).
Varshni, Y. P. & Shukla, R. C. On a potential energy function. J. Chem. Phys. 40, 250 (1964).
Chen, X. Y., Chen, T. & Jia, C. S. Solutions of the Klein-Gordon equation with the improved Manning-Rosen potential energy model in D dimensions. Eur. Phys. J. Plus. 129, 75 (2014).
Jia, C. S., Dai, J. W., Zhang, L. H., Liu, J. Y. & Zhang G. D. Molecular Spinless energies of the modified Rosen–Morse potential energy model in higher spatial dimensions. Chem. Phys. Lett. 619, 54–60 (2015).
Tan, M. S., He, S. & Jia, C. S. Molecular spinless energies of the improved Rosen-Morse potential energy model in D dimensions. Eur. Phys. J. Plus. 129, 264 (2014).
Greene, R. L. & Aldrich, C. Variational wave functions for a screened Coulomb potential. Phys. Rev. A. 14, 2363–2366 (1976).
Pekeris, C. L. The rotation-vibration coupling in diatomic molecules. Phys. Rev. 45, 98–103 (1934).
Lucha, W. & Schöberl, F. F. Solving the Schrödinger equation for bound states with Mathematica 3.0. Int. J. Mod. Phys. C. 10, 607–619 (1999).
Gil-Barrera, C. A., Santana-Carrillo, R., Sun, G. H. & Dong, S. H. Quantum Information Entropies on hyperbolic single potential Wells. Entropy 24, 604 (2022).
Dong, S., Sun, G. H., Dong, S. H. & Draayer, J. P. Quantum information entropies for a squared tangent potential well. Phys. Lett. A. 378, 124–130 (2014).
Valencia-Torres, R., Sun, G. H. & Dong, S. H. Quantum information entropy for a hyperbolical potential function. Phys. Scr. 90, 035205 (2015).
Song, X. D., Dong, S. H. & Zhang, Y. Quantum information entropy for one-dimensional system undergoing quantum phase transition. Chin. Phys. B. 25, 050302 (2016).
Olendski, O. Comparative analysis of information measures of the Dirichlet and Neumann two-dimensional quantum dots. Int. J. Quant. Chem. 121, e26455 (2021).
Estanon, C. R., Aquino, N., Puertas-Centeno, D. & Dehesa, J. S. Two-dimensional confined hydrogen: an entropy and complexity approach. Int. J. Quant. Chem. 120, e2619 (2020).
Nath, D. & Carbo-Dorca, R. Information-theoretic spreading measures of a particle confined in a 3D infinite spherical well. J. Math. Chem. 61, 1383–1402 (2023).
Tezcan, C. & Sever, R. General Approach for the exact solution of the Schrödinger equation. Int. J. Theor. Phys. 48, 337–350 (2009).
Onyeaju, M. C. et al. Information theory and thermodynamic properties of diatomic molecules using molecular potential. J. Mol. Model. 29, 311 (2023).
Yukawa, H. On the Interaction of Elementary particles. Proc. Phys. Math. Soc. Jpn. 17, 48–57 (1935).
Omugbe, E., Osafile, O. E. & Okon, I. B. Improved energy spectra of the Klein–Gordon and Schrödinger equations under the Tietz potential by WKB and super-symmetric WKB methods. Mol. Phys. 119, e1970265 (2021).
Chen, T., Lin, S. R. & Jia, C. S. Solutions of the Klein-Gordon equation with the improved Rosen-Morse potential energy model. Eur. Phys. J. Plus. 128, 69 (2013).
Ikhdair, S. M. Exact Klein-Gordon equation with spatially dependent masses for unequal scalar-vector coulomb-like potentials. Eur. Phys. J. A. 40, 143–149 (2009).
Abramowitz, M., Stegun, I. A. & Mathematical Tables Handbook of Mathematical Functions with Formulas, Graphs,and (U.S. Department of Commerce, National Bureau of Standards: New York, (1965).
Ikhdair, S. M. Approximate l-States of the Manning-Rosen Potential by Using Nikiforov-Uvarov Method. ISRN Math. Phys. 201525 (2012). (2012).
Olendski, O. Rényi and Tsallis entropies: three analytic examples. Eur. J. Phys. 40, 025402 (2019).
Moxhay, P. & Rosner, J. L. Semiclassical results on normalization of bound state wavefunctions. J. Math. Phys. 21, 1688–1695 (1980).
Majumdar, S., Mukherjee, N. & Roy, A. K. Information entropy and complexity measure in generalized Kratzer potential. Chem. Phys. Lett. 716, 257–264 (2019).
Flügge, S. Practical Quantum Mechanics (Springer, 1974).
Rényi, A. On measures of entropy and information. Proc. Fourth Berkeley Symp. Math.Stat. and Probability, Berkeley, CA: University of California Press, 1, 547–561 (1961).
Olendski, O. Rényi and Tsallis Entropies of the Aharonov–Bohm Ring in Uniform magnetic fields. Entropy 21, 1060 (2019).
Bialynicki-Birula, I. & Mycielski, J. Uncertainty relations for information entropy in wave mechanics. J. Commun. Math. Phys. 44, 129–132 (1975).
Fisher, R. A. Theory of statistical estimation. Proc. Camb. Philos. Soc. 22, 700–725 (1925).
Kumar, K. & Prasad, V. Entropic measures of an atom confined in modified Hulthen potential. Res. Phys. 21, 103796 (2021).
Onicescu, O. Theorie De L’information. Energie Informationelle C. R. Acad. Sci. Paris A. 263, 25 (1966).
Olendski, O. One-dimensional pseudoharmonic oscillator: classical remarks and quantum-information theory. J. Phys. Commun. 7, 045002 (2023).
Chatzisavvas, K. C., Moustakidis, C. C. & Panos, C. P. Information entropy, information distances, and complexity in atoms. J. Chem. Phys. 123, 174111 (2005).
Ikot, A. N. et al. Quantum information-entropic measures for exponential-type potential. Res. Phys. 18, 103150 (2020).
Lopez-Ruiz, R., Mancini, H. L. & Calbet, X. A statistical measure of complexity. Phys. Lett. A. 209, 321–326 (1995).
Dehesa, J. S. Cramér–Rao, Fisher–Shannon and LMC–Rényi complexity-like measures of Multidimensional Hydrogenic systems with application to Rydberg States. Quantum Rep. 5, 116–137 (2023).
Sanchez-Moreno, P., Angulo, J. C. & Dehesa, J. S. A generalized complexity measure based on Rényi entropy. Eur. Phys. J. D. 68, 212 (2014).
Lopez-Ruiz, R., Nagy, A., Romera, E. & Sanudo J. A generalized statistical complexity measure: applications to quantum systems. J. Math. Phys. 50, 123528 (2009).
Author information
Authors and Affiliations
Contributions
Conceptualization, E. Omugbe. & I.J. Njoku; Data curation, E. Omugbe & R. Horchani; Methodology, C.A. Onate, E.S. Eyube; Discussion of results, I.J. Njoku, R. Horchani. & E. Omugbe; Writing original draft, E. Omugbe, E. Feddi.; Writing—review & editing, E. Feddi., L.M. Pérez. K.O. Emeje. & A. Jahanshir. All authors have read and agreed to the published version of the manuscript.
Corresponding author
Ethics declarations
Competing interests
The authors declare no competing interests.
Additional information
Publisher’s note
Springer Nature remains neutral with regard to jurisdictional claims in published maps and institutional affiliations.
Rights and permissions
Open Access This article is licensed under a Creative Commons Attribution-NonCommercial-NoDerivatives 4.0 International License, which permits any non-commercial use, sharing, distribution and reproduction in any medium or format, as long as you give appropriate credit to the original author(s) and the source, provide a link to the Creative Commons licence, and indicate if you modified the licensed material. You do not have permission under this licence to share adapted material derived from this article or parts of it. The images or other third party material in this article are included in the article’s Creative Commons licence, unless indicated otherwise in a credit line to the material. If material is not included in the article’s Creative Commons licence and your intended use is not permitted by statutory regulation or exceeds the permitted use, you will need to obtain permission directly from the copyright holder. To view a copy of this licence, visit http://creativecommons.org/licenses/by-nc-nd/4.0/.
About this article
Cite this article
Horchani, R., Omugbe, E., Njoku, I.J. et al. Relativistic bound state solutions and quantum information theory in D dimensions under exponential-type plus Yukawa potentials. Sci Rep 14, 28582 (2024). https://doi.org/10.1038/s41598-024-80123-9
Received:
Accepted:
Published:
Version of record:
DOI: https://doi.org/10.1038/s41598-024-80123-9
Keywords
This article is cited by
-
Accurate evaluation of molecular potential energy functions through vibrational quantum defect analysis
Scientific Reports (2025)










