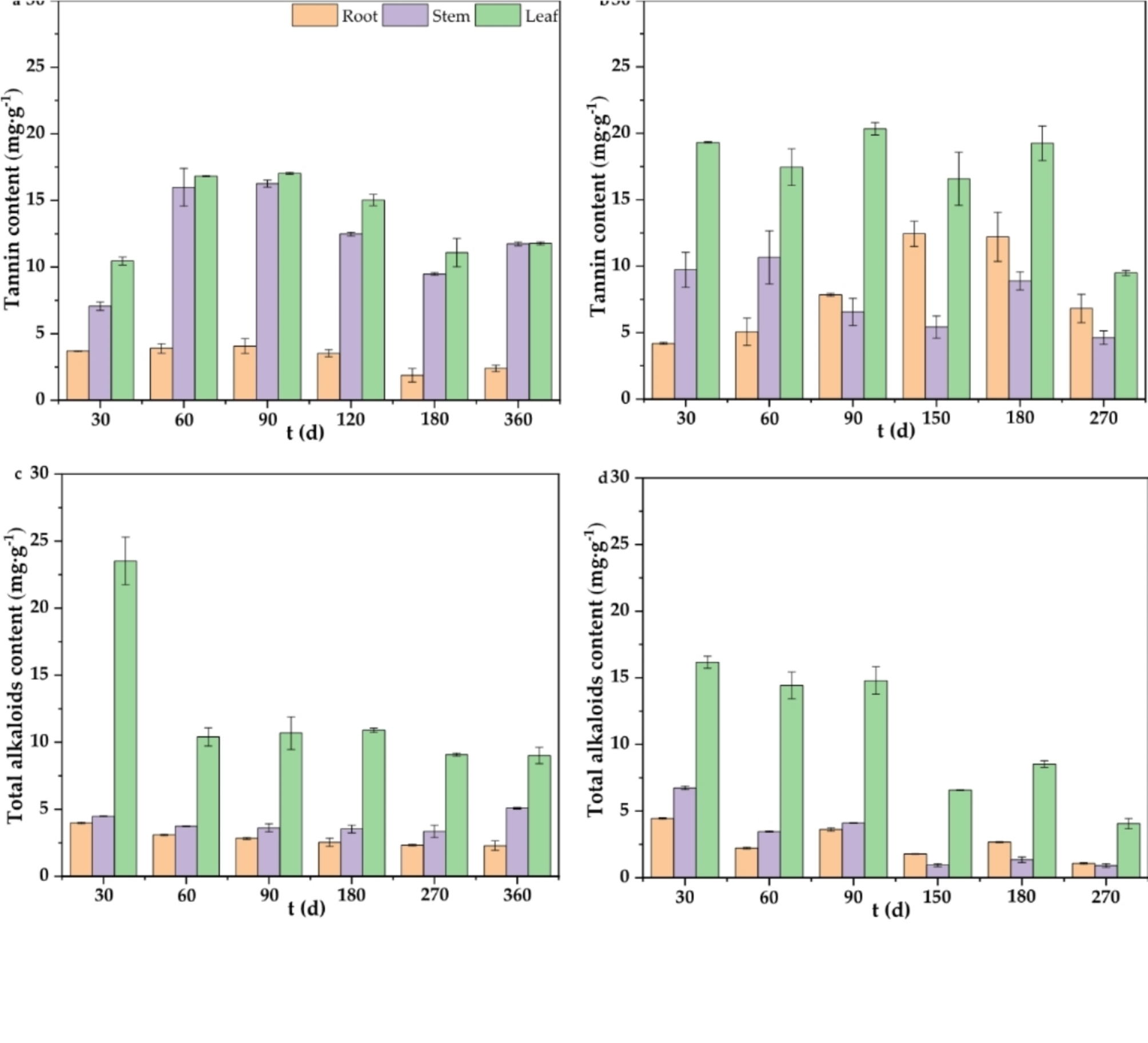
Fig. 3

Total tannin and alkaloid content from the leaf, root, and stem of submerged (a, c) and emergent Rotala rotundifolia (b, d). Each value indicates mean ± standard error (n = 3).

Total tannin and alkaloid content from the leaf, root, and stem of submerged (a, c) and emergent Rotala rotundifolia (b, d). Each value indicates mean ± standard error (n = 3).