Fig. 10

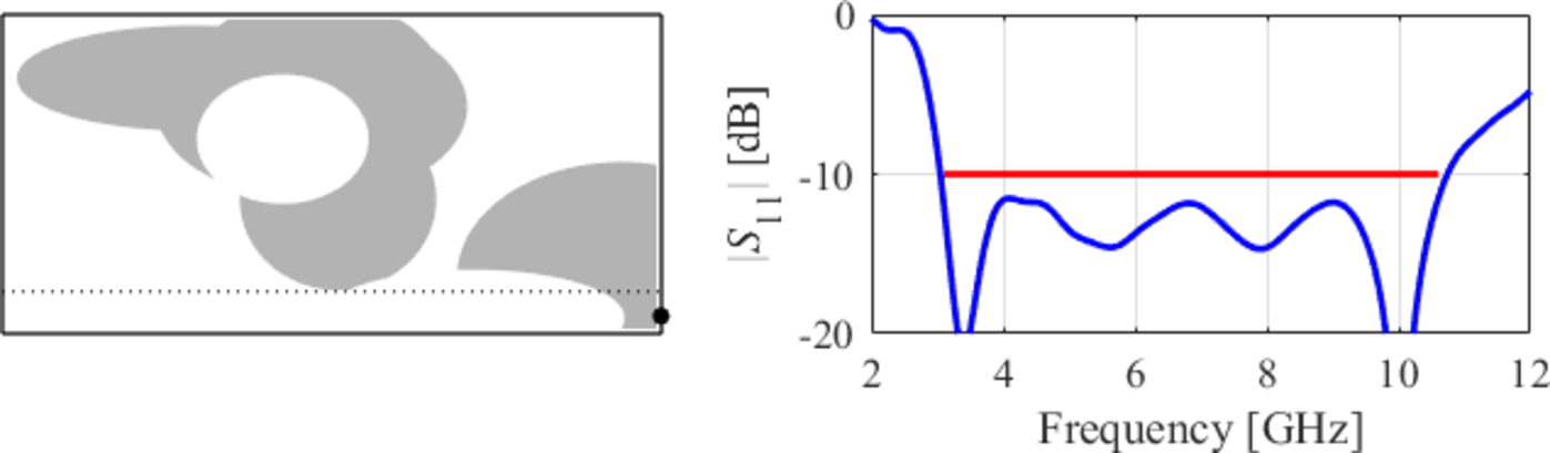
Case II: a UWB antenna working in the 3.1Â GHz to 10.6Â GHz range. Final geometry (ground plane marked using the dotted line) and the reflection response.

Case II: a UWB antenna working in the 3.1Â GHz to 10.6Â GHz range. Final geometry (ground plane marked using the dotted line) and the reflection response.