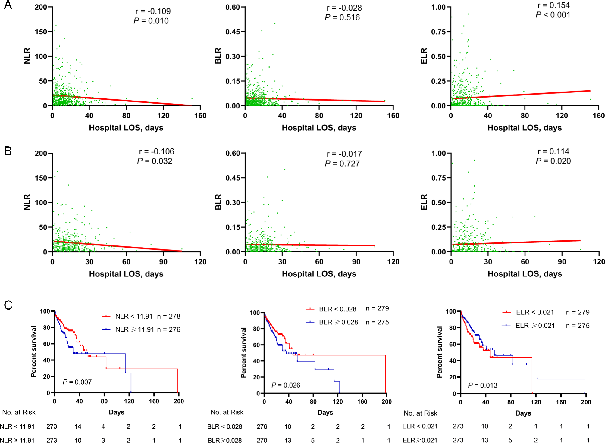
Fig. 5

Associations of systemic inflammatory factors with hospital LOS and OS in patient with SCAP. (A) Associations of NLR, BLR, and ELR with hospital LOS in patient with SCAP. (B) Associations of NLR, BLR, and ELR with hospital LOS in survival patients with SCAP in hospital. (C) Associations of NLR, BLR, and ELR with OS in patient with SCAP. SCAP severe community-acquired pneumonia, LOS length of stay, OS overall survival, NLR neutrophil-to-lymphocyte, BLR basophil-to-lymphocyte ratio, ELR eosinophil-to-lymphocyte ratio.