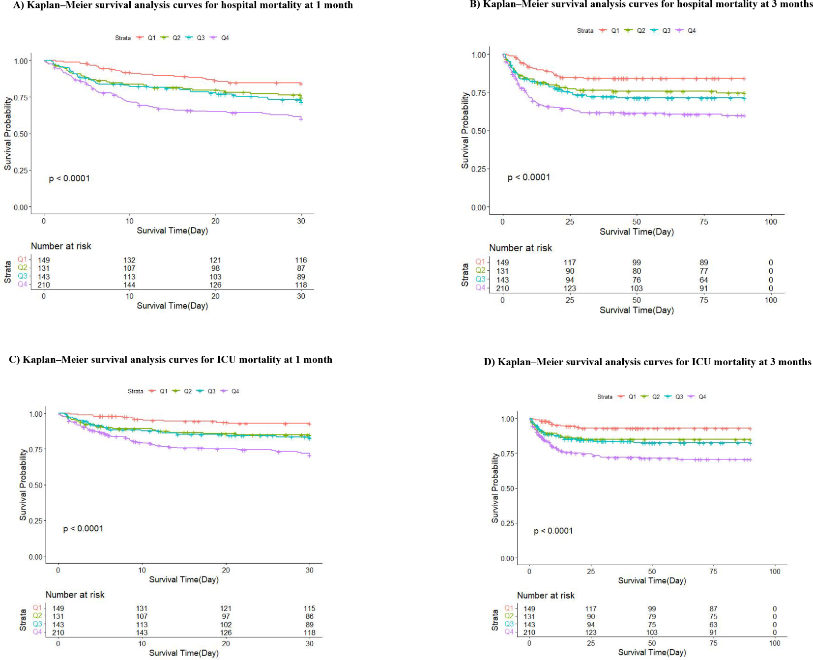
Fig. 2

Kaplan–Meier survival analysis curves for all-cause mortality. Footnote SHR quartiles: Q1: 0.19–0.88; Q2: 0.88–1.07; Q3: 1.07–1.37; Q4: 1.37–15.09. Kaplan–Meier curves showing probability of hospital mortality according to groups at 1 month (A), and 3 months (B), and ICU mortality according to groups at 1 month (C), and 3 months (D).