Abstract
Soil-rock mixture embankments are essential for infrastructure stability, particularly in high-fill construction projects. This study evaluates the effects of rock content and spatial distribution of rock blocks on the bearing capacity, stability, and failure sliding surfaces of SRM embankments through static load model tests. An Equation for Sliding Surface of Block-Rock Content and Distribution was developed to calculate sliding surfaces based on rock content and distribution, and validated it through numerical simulation experiments. The results demonstrate that rock content significantly influences embankment stability. When rock content is below 60%, the shear outlet position of the sliding surface increases, and its curvature decreases as rock content rises, thereby enhancing the bearing capacity. Beyond 60% rock content, the internal structure densifies, markedly improving stability, although further increases yield diminishing returns. Additionally, the spatial distribution of rock blocks is crucial; concentrating rock blocks at the slope crest or toe enhances stability, while distributing them in the middle reduces it. These findings offer practical guidance for optimizing the design and construction of the soil-rock mixture embankments, emphasizing the importance of appropriate rock content and spatial distribution to achieve enhanced stability and safety.
Similar content being viewed by others
Introduction
Background and significance of soil-rock mixture embankment stability
Soil-rock mixture (SRM) embankments, crucial for supporting road traffic, have been the focus of extensive research in civil engineering due to their complex stress failure mechanisms and the evolution of their failure sliding surfaces1,2. Countless slope failures occur annually, resulting in significant economic losses3. SRM represents a unique geological material that lies between discrete and continuous media. Influenced by its genesis, component types, and contents, SRM exhibits complex and diverse particle characteristics with uneven distribution4. The mechanical behavior of the SRM is significantly influenced by the content, shape, and spatial distribution of rock blocks, leading to considerable variability in strength and deformation characteristics5,6. As a result, the stability and morphology of the sliding surfaces in SRM embankments are greatly affected7, which may lead to excessive deformation and shear failure in SRM high embankments engineering projects. Consequently, the stability of such engineering projects is jeopardized8. Undeniably, the stability of road embankments constitutes a pivotal aspect in the realm of sustainable infrastructure.
Review of research on SRM embankment stability
From an engineering perspective, as long as hard rock blocks are embedded in relatively weak matrix materials, the analysis models in engineering geomechanics are similar, regardless of differences in geological processes, diagenesis, or formation processes. Amir Yazdani and Saeed Karimi-Nasab9 classified materials based on uniaxial compressive strength (UCS), with samples below 1 MPa classified as “Bimsoil” (block-in-matrix soil)10,11, such as SRM. Conversely, samples with UCS exceeding 1 MPa were classified as “Block-in-Matrix Rocks (Bimrock)”, such as fault breccia. Currently, there is no definitive standard for distinguishing between SRM and Bimrock. Some researchers12 study the mechanical properties of Bimrock from the perspective of rock blocks, while others focus on conceptualizing the cemented matrix as a SRM and explore its formation mechanisms and significance in global plate tectonics13,14.
The failure modes of Bimrock embankments are closely related to the heterogeneity of materials, particularly the weak interfaces between rock blocks and the matrix15,16. Therefore, both SRM and Bimrock embankments may experience sliding or rock block movement due to local stress concentration. However, SRM embankments are more prone to deformation dominated by the soil, with failure modes typically manifesting as overall sliding or arc-shaped sliding17,18. As the rock content (Rc) increases, the sliding surface becomes more complex and curved. In contrast, Bimrock embankments, with higher Rc, experience failures primarily controlled by the interfaces between rock blocks and the matrix. They are more prone to localized collapse and interface failure19, often extending along weak interfaces between rock blocks, leading to irregular and unpredictable sliding surfaces20,21.
Factors influencing sliding surfaces
Numerous studies have investigated the mechanical properties of SRMs through in-situ tests22,23, large-scale laboratory experiments24,25, and numerical simulations26,27. The Rc within the embankment fill is a critical factor impacting its stability28. For example, Xu and Zhang29 examined the effect of Rc on slope stability through indoor physical model experiments. Similarly, Khorasani et al.20 conducted artificial slope tests and finite difference method simulations, demonstrating that increased Rc improves stability but also introduces greater uncertainty. Certain scholars have also conducted plate loading tests for the purpose of assessing the deformation modulus of embankments. Discrete element simulations by Lu et al.30 revealed that the safety factor of SRM slopes significantly increases when Rc exceeds 60%. However, traditional stability evaluation methods, such as the strength reduction method, often result in considerable errors for heterogeneous structures due to the lack of consideration of sliding surface shapes31,32. This highlights the inadequacy of conventional methods for accurately assessing the stability of SRM embankments33,34.
The spatial distribution of rock blocks plays a significant role in the formation of plastic sliding bands within the embankment, thereby affecting its overall stability2. Hu and Lu33 employed discrete element models to study the impact of rock block distribution on slope bearing capacity. It was found that rock blocks concentrated along potential sliding surfaces result in smaller deformations. Peng et al.34 conducted simulations by coupling the Discontinuous Deformation Analysis (DDA) method with Smoothed Particle Hydrodynamics (SPH) and demonstrated that the spatial distribution of rock blocks has a significant influence on slope deformation. However, most studies lack quantitative analysis of the spatial positions of rock blocks and their impact on sliding bands35,36.
Challenges and future directions
Research on SRM sliding surfaces faces several challenges, including accurately modeling the heterogeneous nature of the SRM, limitations of experimental setups, and the need for comprehensive quantitative analyses. The inherent heterogeneity of SRMs complicates the modeling of their mechanical behavior, leading to non-uniform stress distributions and deformation patterns37,38. Traditional experimental setups often fail to replicate real-world conditions, resulting in discrepancies between experimental results and field observations39. Advanced numerical methods like the discrete element method (DEM) and generalized interpolation material point method (GIMP) have improved understanding but still face issues in capturing particle interactions and the effect of particle shape on mechanical properties4,40,41.
Given these challenges, there is an urgent need for improved modeling techniques that accurately reflect the strain softening phenomena observed in SRMs. Utilizing large-scale direct shear tests to explore the shear characteristics of SRMs with varying particle gradations can provide deeper insights. Furthermore, developing novel experimental and simulation methods to understand failure modes and crack evolution mechanisms under different environmental and loading conditions will enhance the theoretical foundation for slope stability analysis. These advancements will ultimately improve the prediction and prevention of safety incidents such as landslides and collapses25,42,43.
Study objective
In summary, preious studies highlight the significant impact of Rc and spatial distribution on the stability of SRM embankments. However, there is still a need for comprehensive quantitative analyses and improved modeling techniques to accurately predict embankment behavior. A novel equation for calculating the sliding surface of SRM embankments, termed the Equation for Sliding Surface of Block-Rock Content and Distribution (ESRD), is introduced, which provides a new theoretical basis for stability calculations. Additionally, the impact of Rc and spatial distribution on embankment stability is examined through static load experiments, offering new insights into the optimization of high-fill embankment designs.
Experimental design and methodology
Building upon insights from previous research, static load experiments are employed to investigate the detailed effects of Rc and spatial distribution on the stability and failure mechanisms of high SRM embankments. The use of static load experiments allows for controlled and repeatable testing conditions, providing clear insights into the mechanical behavior of SRM embankments under varying Rc and distributions. This method is particularly advantageous over in-situ tests for its ability to isolate specific variables and accurately measure their effects.
Test equipment and monitoring points
In this study, an embankment model was constructed with a similarity ratio of 100 to simulate a high fill highway embankment in Chongqing, P.R. China. Figure 1 illustrates the setup of the static load experiment, highlighting the key components and measurement points. The dimensions of the model box were specified as follows, a length of 650 mm, a width of 250 mm, and a height of 650 mm. The framework of the model box was constructed using 10 mm thick angle steel. The model’s dimensions, loading positions, and the arrangement of measurement points are depicted in Fig. 1. The slope ratio for the embankment model was set at 1:1 with a height of 300 mm.
Experimental setup and measurement points.
A self-developed static loading apparatus, designed for model embankments, was employed in the experiment. The setup consisted of a model box, framed in steel and lined with tempered glass, and a reaction system comprising reaction rods, L-shaped base plates, and the loading plate. Additional components, including a hydraulic jack, force sensor, and high-definition camera, were incorporated. Displacement gauges, soil pressure cells, force sensors, and a Donghua DH-3821 static strain gauge constituted the data acquisition instruments. Six soil pressure measurement points were established, labeled 101, 102, 103, 104, 105, and 106: 101, 103, and 105 were positioned directly beneath the loading plate, spaced at 75 mm intervals in depth, while the remaining three, 102, 104, and 106, were aligned with the expected trajectory of the sliding surface. Soil pressure cells were embedded in layers to record the variations in internal soil pressure within the embankment when subjected to concentrated loads.
Test materials
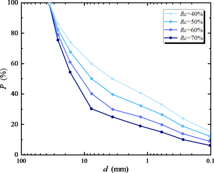
Figure 2 shows the particle size gradation curves for different Rc. The experimental material was obtained from a high-fill road embankment project in Chongqing, and consisted of SRM. The primary materials used were sandstone boulders and fine particles, with the sandstone exhibiting strengths ranging from 24.1 to 26.6 MPa. Four different grading curves for the fill were established, with Rc of 40%, 50%, 60%, and 70%, as shown in Fig. 2. The compaction degree was set at 90%, and the moisture content was 6%.
Particle size gradation curves for various rock contents.
Figure 3 depicts the spatial distribution of rock blocks within the embankment. To investigate the impact of rock block spatial distribution on the embankment sliding surface, the embankment fill was composed of 40% Rc. The positions of rock block concentration were arranged along the embankment height and within the preliminarily assessed sliding surface areas, at heights of 0.13 H, 0.38 H, 0.63 H, and 0.88 H, as shown in Fig. 3. The Rc in these spatial distributions was 80%, with a compaction degree of 90% and a moisture content of 6%.
Spatial distribution of rock blocks within the embankment.
Loading process
Vertical deformation of the embankment was investigated by a vertical gradient loading method. The initial load applied was 20 kPa, followed by incremental increases in vertical stress of 50 kPa. When the vertical deformation of the embankment did not exceed 0.1 mm over a continuous hour at any load level, the displacement was considered to have stabilized at that load. Once stable vertical deformation was achieved, soil pressure and displacement values were recorded before applying the next level of load. Based on the collected data, load-settlement (p-s) curves were plotted. The expansion process of surface cracks on the embankment was observed and photographed, and the shape of the embankment’s failure sliding surface was drawn. The loading process of the high SRM embankment model test is shown in Fig. 4.
Loading process for SRM embankment model at 0.13 H.
The criteria for stopping the loading in this experiment are as follows: (a) Visible shear failure occurred around the loading plate, which had been pressed into the embankment. (b) Instability in soil pressure values, recorded by the soil pressure cells within the embankment during the loading period, was noted. (c) Significant loading-induced damage on the embankment surface was observed, including clear fracture lines or other distinct signs of failure. For instance, under the condition where the rock block spatial position was 0.13 H, the loading damage on the embankment surface was illustrated in Fig. 5.
Failure Modes of SRM Embankment: (a) Slope crest crushing; (b) Slope face failure.
Analysis of experimental results
Load-settlement p-s curves of rock content
The ultimate bearing capacity of an embankment, a critical consideration in road engineering design and construction, directly influences the safety and stability of the roadway. The p-s (load-settlement) curves demonstrate the embankment’s ultimate bearing capacity and deformation characteristics. The load corresponding to the Sudden Drop on these curves was identified as the ultimate bearing capacity.
Figure 6 presents the p-s curves for embankments containing different percentages of rock. These curves consistently exhibited three distinct stages: compression deformation, shear deformation, and failure. In the embankment model with 60% Rc, the compression deformation stage was observed when the load was below 570 kPa. The load ranged from 570 to 770 kPa during the shear deformation stage. Loads exceeding 770 kPa marked the failure stage.
Load-settlement (p-s) curves for various rock contents.
The curves exhibit three distinct stages: compression deformation, shear deformation, and failure. The ultimate bearing capacity is indicated by the sudden drop in the curves.
During the compression deformation stage, a linear increase was recorded on the p-s curve, with no significant cracks observed on the embankment’s surface. Cracks began to appear at the edges of the loading plate and expanded outward during the shear deformation stage, indicating the onset of plastic damage. The slope of the p-s curve increased gradually. A steep decline was noted in the failure stage, where the settlement increased dramatically, multiple times the amount observed in the shear stage. A sliding mass was formed inside the embankment, and a clear sliding surface was observed. Structural and skeletal integrity was progressively lost, leading to complete failure. The embankment’s structural capacity diminished, and the ultimate bearing capacity was established at 780 kPa.
The ultimate bearing capacities of each p-s curve were marked with circles, as shown in Fig. 6. As the Rc increased, the ultimate bearing capacity was gradually enhanced. With Rc below 60%, the rate of increase in bearing capacity remained consistent. However, when the Rc increased from 60 to 70%, the rate of increase in bearing capacity sharply decreased. This reduction may be attributed to the formation of a structural framework within the SRM at this stage. Further increases in Rc had limited impact on the resistance to rolling friction among internal particles. Therefore, when the Rc in high SRM embankments was below 60%, the bearing capacity was significantly enhanced by increasing the Rc.
Load-settlement p-s curves of rock blocks spatial distribution
Figure 7 presents the p-s curves for embankments under four different spatial distributions of rock blocks. Similarly, these curves were categorized into compression deformation, shear deformation, and failure stages. The ultimate bearing capacities for the different rock block spatial distributions were ranked from highest to lowest as follows: 0.88 H > 0.13 H > 0.63 H > 0.38 H. The embankment’s bearing capacity was greater when rock blocks were concentrated at the slope crest and toe, and lower when distributed in the middle of the embankment44.
Load-settlement (p-s) curves for different rock block distributions.
Concentrations of rock blocks at the crest or toe of the slope effectively enhanced the overall ultimate bearing capacity of the embankment. This improvement is likely because the rock blocks obstructed the continuity of shear deformation pathways within the embankment. Rock blocks concentrated at the toe notably hindered the development of deformation in the shear outlet area of the SRM embankment’s slope. Similarly, rock blocks at the crest not only impeded the development of the internal plastic zone but also, due to the rock-wrapping effect, multiple plastic bands were generated at the top of the slope, extending into the embankment and elongating the path of shear deformation development. Rock blocks placed in the second and third layers obstructed the sliding zone to some extent. However, only the parts near the plastic zone experienced an elongation in the path of sliding deformation, hence the rock-wrapping effect was relatively weak.
Discussion of pressure distribution in SRM embankments
Pressure distribution under different rock content
At the experiment’s commencement, initial soil pressure readings at all monitoring devices were reset to zero. Negative readings subsequently observed indicated unloading behaviors either at these points or in the layers above, signifying the presence of shear deformation bands associated with slope sliding at these locations. Figure 8 depicts these soil pressure variations. At Rc of 40%, negative readings at points 102 and 104 suggested shear failures above point 104. At Rc of 50%, a significant negative value at point 102 and stable readings at point 104 indicated shear deformations above point 102 and beneath point 104. At Rc of 60%, negative readings at both points 102 and 104 denoted shear damage above point 104. At Rc of 70%, negative values exclusively at point 104 pointed to shear damage directly above this location.
Soil pressure variation patterns for various rock contents.
Soil pressure characteristics at lower Rc (Rc = 40% and 50%) versus higher Rc (Rc = 60% and 70%) allowed for classification of the internal structures of SRM slopes into rock suspension and rock skeleton structures. At lower Rc, the structural response primarily involved the soil bearing the load, with rocks potentially rotating in response to soil deformations, leading to sharp fluctuations in soil pressure. Conversely, at higher Rc, soil pressure changes were subtler. The embankment’s internal structure featured a dense rock skeleton, which restricted rock movement and rotation, enabling it to sustain higher soil pressures.
With lower Rc, the broader range of soil pressure fluctuations indicated a more loosely consolidated internal structure and greater deformation. In contrast, at higher Rc, a significant reduction in the range of soil pressure changes was noted, reflecting less internal deformation and enhanced embankment stability when the Rc exceeded 60%.
Pressure distribution under different rock blocks spatial distributions
Figure 9 illustrates the impact of rock block distribution on embankment soil pressure. When rock blocks were concentrated at the 0.13H area, negative values were recorded at monitoring point 102, while positive values were observed at point 104. It was inferred that shear damage occurred between points 102 and 104. With rock blocks concentrated at 0.38H, negative values appeared at both points 102 and 104, indicating that shear damage had taken place above these points. Similarly, when rock blocks were concentrated at 0.63H, negative values were noted at both points 102 and 104, suggesting shear damage above these locations. When rock blocks were concentrated at 0.88H, a negative value was observed at point 102, while point 104 remained positive, indicating that shear damage occurred above point 102.
Soil Pressure variation patterns for different rock block distributions.
Under smaller load conditions, as the height of rock block spatial distribution within the embankment increased, the range of internal soil pressure variations decreased. This indicated greater stability of the internal stress. The balance of the internal structure was less likely to be disrupted. When the load reached a certain critical value, a sharp increase in internal soil pressure was initiated. This critical value increased with the height of rock block spatial distribution. Embankments with higher rock block distribution positions could withstand greater loads. Therefore, elevating the position of rock block distribution within the embankment was found to enhance embankment stability to a certain extent.
Discussion on the sliding surfaces of embankment
Failure sliding surfaces under different rock content
Figure 10 illustrates the failure sliding surfaces of SRM slopes under the influence of varying Rc. When Rc was less than 60%, as the Rc increased, the area of the sliding blocks gradually decreased. At Rc of 70%, the number of shear failure lines increased. At an Rc of 40%, the embankment’s sliding surface assumed an arcuate shape, similar to that of uniform soil slopes. With increasing Rc, the sliding surfaces became more irregular, and the incidence of secondary cracks increased, no longer displaying an arcuate shape. This indicates significant differences between the failure surfaces of SRM embankments and traditional soil embankments. The SRM bases were characterized by dispersed structures, uneven distribution of rock blocks, and weak inter-particle bonding45.
Failure sliding surfaces for various rock contents.
Impact of rock block aggregation on sliding failure surfaces
Figure 11 illustrates the impact of rock block aggregation on sliding failure surfaces. It was observed that changes in the spatial distribution of rock blocks within the embankment significantly altered the position and shape of the sliding failure surfaces. A notable rock-wrapping phenomenon was present on these surfaces46. When rock blocks were positioned at the slope toe (0.13H), the entire failure surface was elevated. In contrast, when rock blocks were located in the middle of the embankment, the extension of the sliding failure surface into the embankment interior was impeded, resulting in an reduction in the area of the failure block. When rock blocks were positioned at the slope crest (0.88H), the extension of the sliding surface directly beneath the loading plate was obstructed. This alteration changed the direction of the failure surface’s extension, resulting in a more elongated final failure surface.
Effect of rock block aggregation on sliding failure surfaces.
A equation for sliding surface
Given that the origins of the sliding surfaces were consistently located at the rear edge of the loading plate, a Cartesian coordinate system was established with its origin at this point. An equation capable of describing the sliding surfaces of SRM slopes was developed, based on the shapes observed in the experiments. The morphology of the sliding surfaces was fitted using an exponential decay function, as described below.
y0, A1, t1 are undetermined coefficients, the morphology of the sliding surface is jointly determined by y0, A1, t1. The Eq. (1) called Equation for Sliding Surface of Block-Rock content and Distribution, for short, called ESRD.
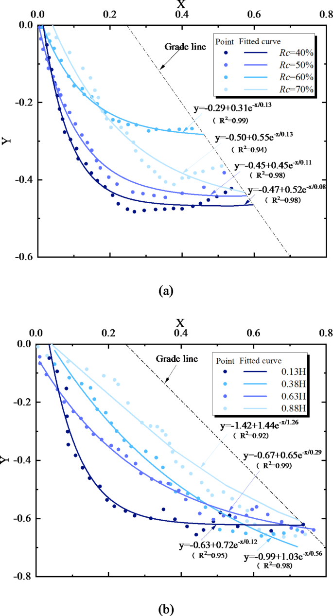
Figure 12 depicts the sliding failure surfaces of SRM slopes with varying Rc and spatial distributions of rock blocks. As shown in Fig. 12a, within the Rc range of 40–60%, the shear outlet position of the sliding surface was gradually elevated and its curvature decreased as the Rc increased. When the Rc reached 70%, the area of the sliding block increased and the shear outlet position dropped slightly. Figure 12b shows that the shear outlet positions of the sliding surfaces with different rock block distributions were essentially consistent; however, the curvature of the sliding surfaces decreased in the order of 0.13 H > 0.63 H > 0.38 H > 0.88 H. The aggregation of rock blocks could alter the morphology of the sliding surfaces. When rock blocks were concentrated at the slope base, the shape of the sliding surface still exhibited an arcuate form. Elevating the position of rock block distribution noticeably reduced the curvature of the embankment failure surface.
Sliding failure surfaces: (a) Rock content; (b) Rock block distribution.
Figure 13 illustrates the influence of Rc and rock block distribution on the parameters of ESRD. As depicted in Fig. 13a, the parameter t1 increased linearly with an increase in Rc. When the Rc was less than or equal to 60%, A1 decreased linearly and y0 increased linearly as the Rc increased. However, when Rc exceeded 60%, A1 increased and y0 decreased, possibly related to the Rc necessary for the formation of a structural framework within the SRM, with Rc = 60% identified as a critical threshold. Figure 13b shows that as the height of rock block distribution increased, A1 and t1 increased linearly, while y0 decreased linearly.
ESRD equation parameters: (a) Rock content; (b) Rock block distribution.
The parameter variation functions obtained from the fitting were incorporated into the ESRD to derive the final sliding surface equation, considering both the morphology and spatial distribution of rock blocks (the ESRD equation), as presented in Table 1. From the ESRD equation, the impact of Rc and rock block distribution on the sliding surface can be calculated. This equation can be applied to computing the stability of soil-rock mixed embankments.
Discrete element numerical simulation study of SRM embankment
Based on the results of the static load tests on the subgrade model discussed earlier, the PFC2D (Particle Flow Code in two Dimensions) software was used as an analysis tool. A two-dimensional model of the SRM embankment was established to conduct static load numerical simulations, validating the sliding surface equation proposed from the experimental data.
Construction of the numerical model and experimental scheme
An embankment with 60% Rc was used as an example, and a DEM model of the high-fill soil-rock mixed embankment slope was established, as shown in Fig. 14. The embankment height was 300 mm, with a slope angle of 45°, and a 20 mm gravel layer was set. The rock blocks in the subgrade were randomly distributed, using the grid method for sampling, where the embankment was arranged in a 75 × 75 mm grid and divided into blocks for sampling. The surrounding walls are set as fixed boundaries. To simulate the compaction process of the embankment fill, the model was pre-compressed before performing slope cutting calculations until equilibrium convergence was reached. For load application, due to the large computational demands of the model, the built-in Fish language of the software was used, adopting the servo mechanism from the uniaxial compression case to apply the load. A rectangular loading device was placed on top of the embankment slope, and a constant static loading rate of 0.01 mm/s was applied until the slope’s bearing capacity reached its maximum, resulting in large-scale sliding failure47,48. A local damping mechanism was used to allow the model to reach static equilibrium as quickly as possible, with the local damping coefficient set to 0.749.
DEM model of static load test for subgrade (Rc = 60%).
Calibration of meso-parameters
In this study, soil-rock fill material samples from actual high-fill embankment projects were collected and sieved. The model’s meso-parameters were comprehensively determined, as shown in Table 2, based on literature33 and experimental results. The specific unit weight of the soil is 20 kN/m³, and the specific unit weight of the rock is 26.5 kN/m³. In this paper, the soil-soil contact adopts a bonded rolling resistance linear model, while the soil-rock contact uses a linear model. The deformation parameters of the SRM are controlled by the effective modulus and stiffness ratio, and the contact stiffness between particles is determined by the following equation.
In the equation: \(k_{n}\)and\(k_{s}\)are the contact stiffness in the normal and shear directions, respectively; \(E^*\)is the effective modulus; \({\kappa^ *}\)is the stiffness ratio; A is the contact area between particles (the diameter of the smaller particle in 2D); and L is the distance between the centers of the contacting particles.
Analysis of static load numerical simulation results
The bearing capacity of the subgrade is significantly influenced by the shape of the sliding surface45, and the strength of the subgrade depends on the curvature of the sliding surface, while the lateral displacement field can effectively reflect the position of the slope’s sliding surface. The lateral displacement fields at different stages of subgrade loading are extracted for analysis, as shown in Fig. 15. The final settlement amount divides the process into four stages: initial loading, early loading, mid-loading, and late loading. The changes in the sliding surface during the subgrade loading process are analyzed accordingly.
Lateral displacement field during the loading stages of soil-rock mixed embankment load test.
From Fig. 15, it can be seen that after loading, the displacement field of the soil and rock inside the embankment produces layered movement in an arc shape. The entire sliding zone is studied, and the sliding surface is found to take on a “C” shape, with horizontal displacement of the soil and rock near the exposed side of the embankment gradually increasing. Large-diameter rocks within the sliding zone of the embankment impede the sliding process. As loading continues, the sliding zone expands inward, and the sliding surface becomes more angular, which hinders the sliding process.
By comparing the shape of the sliding surface in the late stage of embankment loading in Fig. 15. with the sliding surface curve in Fig. 12a under the condition of Rc = 60%, it can be seen that the sliding surface obtained from the discrete element numerical simulation is highly consistent with the fitted equation, thus sufficiently validating the applicability of the ESRD equation.
Sensitivity of ESRD
The ESRD equation was utilized to optimize the design of Rc and rock block distribution parameters in SRM slopes. Sensitivity analyses were performed on the parameters y0, A1, and t1. The effects of parameter values on the sliding surface are shown in Fig. 16. Figure 16a shows that as A1 increased, the shear outlet position of the sliding surface significantly elevated, and its curvature slightly increased. Figure 16b indicates that with an increase in t1, the shear outlet position also significantly elevated, while the curvature of the sliding surface markedly decreased. Figure 16c demonstrates that as y0 increased, the shear outlet position elevated significantly, with no change in the curvature of the sliding surface. The shear outlet position of the sliding failure surface was controlled by the parameters y0, A1, and t1. The curvature of the sliding surface was jointly controlled by A1 and t1, with t1 being more sensitive.
Sensitivity Analysis of ESRD Equation Parameters: (a) Parameter A1;(b) Parameter t1; (c) Parameter y0.
The parameters A1 and y0 were more sensitive to changes in Rc, while t1 was more sensitive to changes in the spatial distribution of rock blocks. In embankment fill engineering, increasing the Rc (Rc ≤ 60%) significantly enhanced embankment stability. When Rc > 60%, further increasing the Rc had less effect on improving stability. For the same Rc, placing more rock blocks at the slope crest could enhance embankment stability.
Conclusions
This study investigated the effects of Rc and spatial distribution of rock blocks on the bearing capacity, stability, and failure sliding surfaces of high SRM embankments through static load model tests and result analysis. An equation considering Rc and rock block distribution (ESRD) was proposed for calculating the sliding surface, providing a significant basis for enhancing the stability of SRM embankments. The main findings include:
Impact of Rc: When the Rc of high SRM embankments was below 60%, the shear outlet position of the sliding surface increased with the Rc, and the curvature of the sliding surface decreased. Consequently, the bearing capacity gradually increased. Thus, increasing Rc significantly enhances the embankment’s bearing capacity. However, when the Rc exceeded 60%, the internal structure became denser, and the stability of the embankment improved significantly, but the effect of further increases on bearing capacity diminished, and the shear outlet position decreased. Therefore, it is recommended that the Rc in SRM slopes should not exceed 60%.
Impact of Rock Block Distribution: The ESRD equation demonstrated that increasing Rc (Rc ≤ 60%) significantly enhances stability in embankment fill engineering. Conversely, when Rc > 60%, the effect of increasing Rc on stability was reduced compared to lower Rc. Additionally, for the same Rc, placing concentrated rock block areas at the slope crest helped improve stability.
This research provides practical guidelines for the design and construction of high fill embankments, particularly in terms of optimizing Rc and distribution for enhanced stability. Future research should focus on the following specific areas: Long-term Performance Studies: The focus should be on the long-term performance of SRM embankments under varying environmental conditions and loading scenarios. Advanced Numerical Model Development: The development of more advanced numerical models is necessary to more accurately predict the behavior of SRM embankments.
The limitations of this study lie in the static load model’s ability to reflect the complexity and diversity of real embankments. In the laboratory experiments, the sampled rock particles were relatively uniform, and the proposed model does not fully account for defects such as pore structures and joints in the rock blocks. Future studies will need to further explore rock blocks with defects or lower strength.
Data availability
Some or all data, models, or code that support the findings of this study are available from the corresponding author upon reasonable request.
References
Zhang, J., Zhang, S., Ding, Y. & Zhu, D. Evolution process and failure mechanism of a large expressway roadside landslide. Sci. Rep. 13, 4843 (2023).
Liu, S., Huang, X., Zhou, A., Hu, J. & Wang, W. Soil-rock slope stability analysis by considering the nonuniformity of rocks. Math. Probl. Eng. 1–15 (2018). (2018).
Badhon, F. F. & Islam, M. A. & Shariful Islam, M. Experimental evaluation of additional shear strength for vetiver root-reinforced soil. 207–217 https://doi.org/10.1061/9780784485330.022. (2024).
Wang, Z. et al. Model test and research on stability of soil-rock embankment. Highway 67 (7), 55–63 (2022).
Zhao, Y. & Liu, Z. Study of material composition effects on the mechanical properties of soil-rock mixtures. Adv. Civ. Eng. 3854727 (2018). (2018).
Liu, S. et al. Numerical investigation of the influence of rock characteristics on the soil-rock mixture (SRM) slopes stability. KSCE J. Civ. Eng. 24, 3247–3256 (2020).
Wang, Y., Li, C. & Hu, Y. Use of X-ray computed tomography to investigate the effect of rock blocks on meso-structural changes in soil-rock mixture under triaxial deformation. Constr. Build. Mater. 164, 386–399 (2018).
Brito, A., Maranha, J. R. & Caldeira, L. M. M. S. A constitutive model for soil-rockfill mixtures. Comput. Geotech. 95, 46–56 (2018).
Yazdani, A., Karimi-Nasab, S. & Jalalifar, H. Shear behavior and dilatancy of an artificial hard-matrix bimrock: An experimental study focusing on the role of blocky structure. Rock. Mech. Bull. 3, 100149 (2024).
Gunsallus, K. L. & Kulhawy, F. H. A comparative evaluation of rock strength measures. Int. J. Rock. Mech. Min. Sci. Geomech. Abstr. 21, 233–248 (1984).
Castro, L., Carvalho, J. & Sá, G. Discussion on how to classify and estimate strength of weak rock masses. In Proceedings of the International Symposium on Slope Stability in Open Pit Mining and Civil Engineering 205–217 (Australian Centre for Geomechanics, Perth, 2013). https://doi.org/10.36487/ACG_rep/1308_08_Castro
Sonmez, H. et al. An empirical method for predicting the strength of bim materials using modifications of Lindquist’s and leps’ approaches. In Challenges and Innovations in Geomechanics (eds Barla, M., Di Donna, A. & Sterpi, D.) 759–767 (Springer International Publishing, Cham, https://doi.org/10.1007/978-3-030-64518-2_90. (2021).
Shekhar, S., Ram, S. & Burman, A. Risk analysis of earthen embankment considering cross-correlated spatially variable soil parameters subjected to pore pressure and seismic loadings. Multisc. Multidiscip. Model. Exp. Des. 7, 191–215 (2024).
Lu, Y. C., Tien, Y. M., Juang, C. H. & Lin, J. S. Uncertainty of volume fraction in bimrock using the scan-line method and its application in the estimation of deformability parameters. Bull. Eng. Geol. Environ. 79, 1651–1668 (2020).
Khorasani, E., Amini, M., Hossaini, M. F. & Medley, E. Evaluating the effects of the inclinations of rock blocks on the stability of bimrock slopes. Geomech. Eng. 17, 279–285 (2019).
Johari, A., Fazeli, A. & Javadi, A. A. An investigation into application of jointly distributed random variables method in reliability assessment of rock slope stability. Comput. Geotech. 47, 42–47 (2013).
Bian, H., Wang, S., Li, D., Jiang, J. & Zhuang, P. Influence of gravel content on the stability of of filling embankment slope. Eng. Mech. 1–11 (2024).
Kumar, A., Pandit, B. & Tiwari, G. Reliability-based stability analysis of large rock slopes with different failure mechanisms using response surface methodology. Environ. Earth Sci. 81, 511 (2022).
Afifipour, M. & Moarefvand, P. Experimental study of post-peak behavior of bimrocks with high rock block proportions. J. Cent. South. Univ. 21, 761–767 (2014).
Khorasani, E., Amini, M., Hossaini, M. F. & Medley, E. Statistical analysis of bimslope stability using physical and numerical models. Eng. Geol. 254, 13–24 (2019).
Afifipour, M. & Moarefvand, P. Mechanical behavior of bimrocks having high rock block proportion. Int. J. Rock. Mech. Min. Sci. 65, 40–48 (2014).
Coli, N., Berry, P. & Boldini, D. In situ non-conventional shear tests for the mechanical characterisation of a bimrock. Int. J. Rock. Mech. Min. Sci. 48, 95–102 (2011).
Zhang, Z., Xu, W., Xia, W. & Zhang, H. Large-scale in-situ test for mechanical characterization of soil–rock mixture used in an embankment dam. Int. J. Rock. Mech. Min. Sci. 86, 317–322 (2016).
Xu, D., Tang, J., Zou, Y., Rui, R. & Liu, H. Macro and micro investigation of gravel content on simple shear behavior of sand-gravel mixture. Constr. Build. Mater. 221, 730–744 (2019).
Kalatehjari, R., Ali, N., Kholghifard, M. & Hajihassani, M. The effects of method of generating circular slip surfaces on determining the critical slip surface by particle swarm optimization. Arab. J. Geosci. 7, 1529–1539 (2014).
Meng, Q. et al. Three-dimensional mesoscale computational modeling of soil-rock mixtures with concave particles. Eng. Geol. 277, 105802 (2020).
Yu, J., Wu, C., Jia, C. & Xu, W. Study of variation of pore properties in gravel soil under triaxial loading based on discrete element method. Curr. Sci. (00113891) 121, 801–809 (2021).
Li, X., Liao, Q. L. & He, J. M. In-situ tests and a stochastic structural model of rock and soil aggregate in the three gorges reservoir area, China. Int. J. Rock. Mech. Min. Sci. 41, 702–707 (2004).
Xu, W. & Zhang, H. Research on the effect of rock content and sample size on the strength behavior of soil-rock mixture. Bull. Eng. Geol. Environ. 80, 2715–2726 (2021).
Lu, Y., Tan, Y. & Li, X. Stability analyses on slopes of clay-rock mixtures using discrete element method. Eng. Geol. 244, 116–124 (2018).
Yang, Y., Chen, T., Wu, W. & Zheng, H. Modelling the stability of a soil-rock-mixture slope based on the digital image technology and strength reduction numerical manifold method. Eng. Anal. Bound. Elem. 126, 45–54 (2021).
Chen, L., Yang, Y. & Zheng, H. Numerical study of soil-rock mixture: Generation of random aggregate structure. Sci. China Technol. Sci. 61, 359–369 (2018).
Hu, Y. & Lu, Y. Study on soil-rock slope instability at mesoscopic scale using discrete element method. Comput. Geotech. 157, 105268 (2023).
Peng, X. et al. Dynamic modelling of soil-rock-mixture slopes using the coupled DDA-SPH method. Eng. Geol. 307, 106772 (2022).
Gao, W., Yang, H., Teng, J. & Sun, Y. Numerical study of the influence of the spatial distribution of oversized rock blocks on the stability of soil-rock mixture slopes. Adv. Civ. Eng. 1–11 (2023). (2023).
Chen, L. et al. Probabilistic assessment of slope failure considering anisotropic spatial variability of soil properties. Geosci. Front. 13, 101371 (2022).
Hou, Y., Chigira, M. & Tsou, C. Y. Numerical study on deep-seated gravitational slope deformation in a shale-dominated dip slope due to river incision. Eng. Geol. 179, 59–75 (2014).
Zhang, K., Cao, P., Meng, J., Li, K. & Fan, W. Modeling the progressive failure of jointed rock slope using fracture mechanics and the strength reduction method. Rock. Mech. Rock. Eng. 48, 771–785 (2015).
Zhu, L., Huang, R., Yan, M., Chen, G. & Wei, W. Distribution and mechanism of gently dipping fractures subjected to river incision: A case study from nujiang river, China. J. Mt. Sci. 15, 211–224 (2018).
Maghsoudi, M. S., Chenari, J., Farrokhi, F. & R. & A multilateral analysis of slope failure due to liquefaction-induced lateral deformation using shaking table tests. SN Appl. Sci. 2, 1427 (2020).
Wei, L., Xu, Q., Wang, S., Wang, C. & Ji, X. The morphology evolution of the shear band in slope: Insights from physical modelling using transparent soil. Bull. Eng. Geol. Environ. 79, 1849–1860 (2020).
Jie, Y., Liu, Z. & Guo, Z. Mathematical functions for generating slip surfaces of slopes. J. Hydroelectric Eng. 37 (2), 108–120 (2018).
Ning, G. & Li, B. Polynomial fit of slip surface equation of landslide. Saf. Environ. Eng. 10 (1), 42–45 (2003).
Huang, X., Liu, S., Zhou, A. & Wang, B. Study on the stability of soil-rock slopes based on the distributional location of the larger rocks. J. Disaster Prev. Mitigation Eng. 40 (1), 63–71 (2020).
Chen, Z., Zhou, H., Ye, F., Liu, B. & Fu, W. The characteristics, induced factors, and formation mechanism of the 2018 baige landslide in jinsha river, southwest China. CATENA 203, 105337 (2021).
Xu, W. J. & Hu, R. L. Conception, classification and significations of soil-rock mixture. Hydrogeol. Eng. Geol. 36 (4), 50–56 (2009).
Akbari Garakani, A., Sadeghi, H., Saheb, S. & Lamei, A. Bearing capacity of shallow foundations on unsaturated soils: Analytical approach with 3D numerical simulations and experimental validations. Int. J. Geomech. 20, 04019181 (2020).
Chen, Y., Deng, A., Wang, A. & Sun, H. Performance of screw–shaft pile in sand: Model test and DEM simulation. Comput. Geotech. 104, 118–130 (2018).
Hassan, S. El Shamy, U. DEM simulations of the seismic response of granular slopes. Comput. Geotech. 112, 230–244 (2019).
Acknowledgements
The authors gratefully acknowledge financial supported by the CRSRI Open Research Program (Program SN: CKWV20241180/KY) of Key Laboratory of Geotechnical Mechanics and Engineering, Ministry of Water Resources, the Research and Innovation Program for Graduate Students in Chongqing (No: CYS240469), the Special key project of Chongqing Technology Innovation and Application Development (No. CSTB2023TIAD-KPX0086), the Chongqing Construction Science and Technology project (No. 2022-1-15), Chongqing Water Conservancy Science and Technology Project (No. CQSLK-2022015), National Natural Science Foundation of China (No.52378327), Joint Training Base Construction Project for Graduate Students in Chongqing (JDLHPYJD2021004).
Author information
Authors and Affiliations
Contributions
Z.Q.: Investigation, Writing-Original Daft, Funding acquisition. Y.L: Investigation, Validation, Writing. S.T.: Tests, Writing review and editing. Q.M.: Validation, Writing review and editing. J.W.: Writing review and editing, Funding acquisition. X.L.: Numerical simulation tests, Writing review. X.J.: Numerical simulation tests, Writing review.
Corresponding author
Ethics declarations
Competing interests
The authors declare no competing interests.
Additional information
Publisher’s note
Springer Nature remains neutral with regard to jurisdictional claims in published maps and institutional affiliations.
Rights and permissions
Open Access This article is licensed under a Creative Commons Attribution-NonCommercial-NoDerivatives 4.0 International License, which permits any non-commercial use, sharing, distribution and reproduction in any medium or format, as long as you give appropriate credit to the original author(s) and the source, provide a link to the Creative Commons licence, and indicate if you modified the licensed material. You do not have permission under this licence to share adapted material derived from this article or parts of it. The images or other third party material in this article are included in the article’s Creative Commons licence, unless indicated otherwise in a credit line to the material. If material is not included in the article’s Creative Commons licence and your intended use is not permitted by statutory regulation or exceeds the permitted use, you will need to obtain permission directly from the copyright holder. To view a copy of this licence, visit http://creativecommons.org/licenses/by-nc-nd/4.0/.
About this article
Cite this article
Qiu, Z., Liu, Y., Tang, S. et al. Effects of rock content and spatial distribution on the stability of soil rock mixture embankments. Sci Rep 14, 29088 (2024). https://doi.org/10.1038/s41598-024-80812-5
Received:
Accepted:
Published:
Version of record:
DOI: https://doi.org/10.1038/s41598-024-80812-5
Keywords
This article is cited by
-
Experimental study of the mechanical behavior of oriented bimrocks under diametral compression test using DIC
Scientific Reports (2026)
-
Machine learning-based evaluation of shear strength factors in soil-rock mixtures for mountain substation fills
Scientific Reports (2026)
-
Experimental and statistical analysis of the block orientation effect on the mechanical behaviour of bimrocks
Scientific Reports (2025)


















