Fig. 3

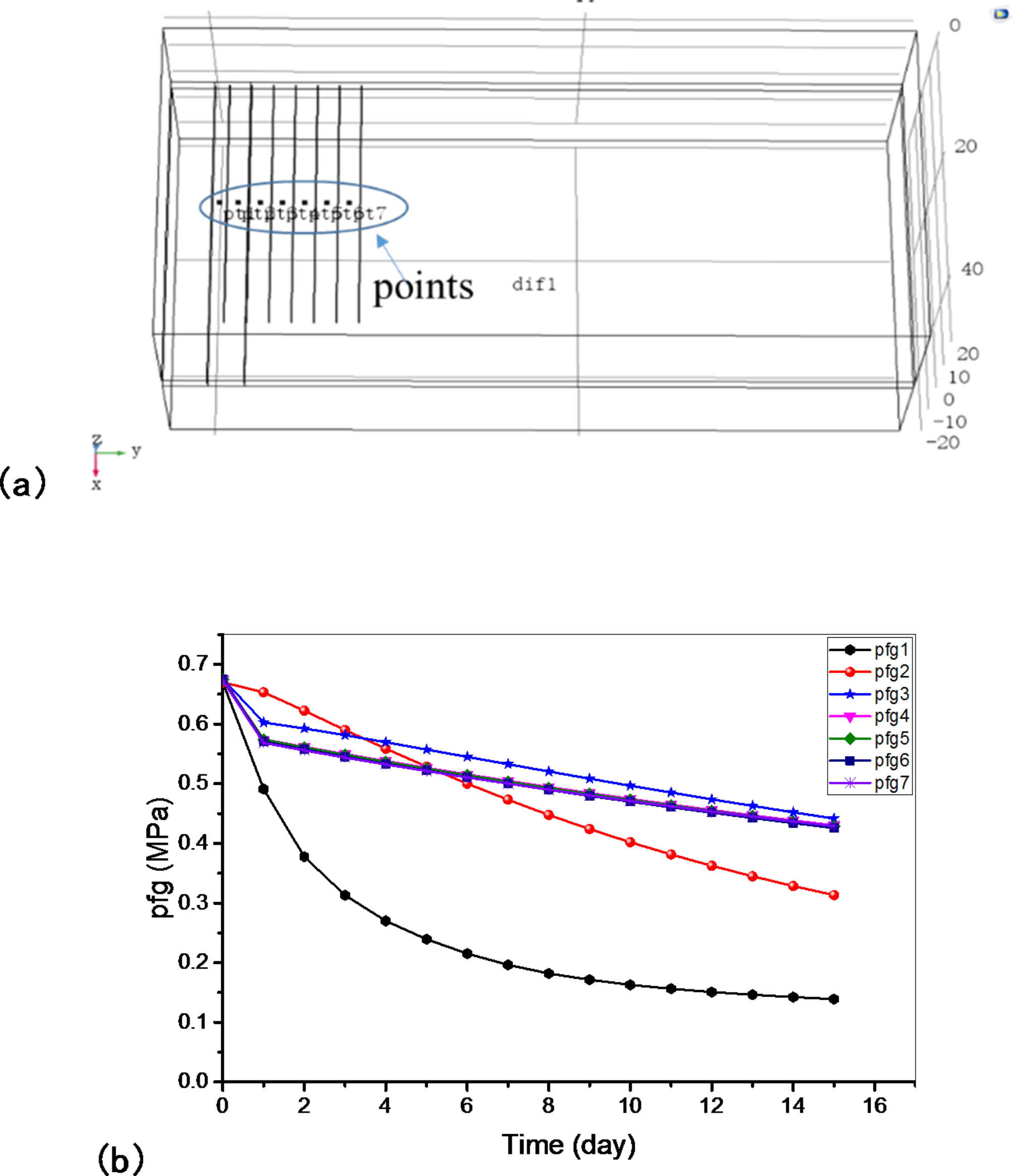
Layout of simulation measurement points near the boreholes in front of the working face (a) and temporal changes in the fracture gas pressures at points (b).

Layout of simulation measurement points near the boreholes in front of the working face (a) and temporal changes in the fracture gas pressures at points (b).