Abstract
A 3D geometric model is established based on a fluid‒solid coupling model for purpose of identifying the influences of mining disturbances on the distribution of gas pressures in front of a working face during gas extraction. Then, the stress distribution and gas extraction process are simulated using COMSOL software. The spatiotemporal evolutions of gas pressures in front of the working face are analyzed from the dimensions of point, line, surface, and volume. A comparative analysis has been conducted to explore the distribution patterns of gas pressure in fractures and pores. The results show that under mining disturbance, the stresses in front of the working face create a stress-relaxation area, a stress concentration area, and an original stress area. Moreover, a low stress concentration is located near the boreholes. In the early stage of gas extraction, corresponding to the stress distribution, the gas pressures present a depressurization area, pressure concentration area, and almost undisturbed area. As the time increases after mining, the effects of mining disturbances gradually decrease, and the range of the gas pressure concentration area steadily shortens and shifts toward the front of the working face. Under the same temporal conditions, the gas pressure in pores is higher than that in fractures. At the onset of mining, the pore gas pressure is even greater than the initial pressure. Furthermore, during the identical extraction period, the “concentration area” of pore gas pressure is situated farther away from the coal wall of the working face compared to the “concentration area” of fracture gas pressure. These results of the study provide theoretical support for arranging drainage boreholes, enhancing gas extraction efficiency, safeguarding against gas accidents.
Similar content being viewed by others
Introduction
Coal serves as China’s primary energy source and holds a dominant position. However, gas disasters continue to be a significant challenge for the safety of Chinese coal mines during mining1,2,3,4,5,6. Expanding gas development efforts in coal mines and minimizing gas content in coal are of crucial importance for the simultaneous mining of coal and gas in Chinese deep coal seams. The implementation of gas extraction can reduce gas pressure, content, and emissions, thereby preventing outburst and explosion disasters; the drained gas can be used as a source of energy as well7,8,9,10.
Based on the temporal relationship with coal seam mining, gas extraction can be categorized into extraction before mining, during mining, and after mining. When a coal seam is disturbed by mining activities or subjected to gas extraction, the internal distribution of gas pressures becomes uneven. This unevenness, coupled with the influence of various factors such as geostress, permeability, geological structure, mining space, and hydrological conditions, leads to a complex flow process. Mastering the flow law of coal seam gas is of crucial importance. The coal seam is a typical porous medium characterized by dual porosity, comprising matrix pores and fractures11,12. Numerous experts have investigated the influences of pore–fracture interactions on permeability13,14,15,16. Matrix pores are the main sites where gases are stored; coal seam gas mainly flows in fractures17,18. Owing to the effects of coal expansion and contraction from adsorption and desorption, the storage and migration mechanisms of coalbed methane in unconventional reservoirs differ fundamentally from those in conventional reservoirs. Migration of coalbed methane occurs through three stages: internal surface desorption, diffusion within the matrix, and flow through the fracture network19,20. In their study, Zhao et al.21 analyzed the migration patterns of gas in fractures and matrices and argued that the gas pressure within fractures decreases during gas extraction, and the gas in matrices cannot be desorbed immediately and thus migrate to fractures. The migration pattern of gas pressure has been extensively analyzed by establishing dual-porosity media seepage models22,23,24,25. Xu et al.26 experimentally analyzed the changes in gas pressures surrounding boreholes during gas drainage. Zhao et al.27 used numerical simulations to analyze the changes in gases between boreholes during gas extraction.
In the process of coal seam mining, the coal mass fails, and stress redistribution28 leads to the formation of stress-relaxation area, a stress concentration area, and an original stress area in the area in front of the working face29. With the increase in mining depth, dynamic coal and gas disasters occur frequently during mining30. For coal seams prone to outbursts or high in gas content, although the outburst risk is eliminated by gas extraction before mining, desorbable gas remains in the coal seams. This gas is desorbed and enters the mining operation site during the process. To reduce gas emissions and ensure production safety, gas extraction during mining is necessary. Liu et al.31 studied the mechanisms by which stress changes control gas emissions through coal core gas emission tests under mining-induced stress paths. Ding et al.32 investigated the stress distribution and permeability evolution of the coal in front of the working face due to mining disturbances. Xu et al.33 studied the distribution of stress under mining disturbance and its influence on gas extraction efficiency. Wang et al.34 experimentally analyzed the variations in gas pressure in gas pressure with varying arrangements of boreholes in different areas of the working face in the process of mining.
Previous studies have made considerable progress in understanding the variations in gas pressure during extraction. With gas extraction that is performed during coal seam mining, the stress is redistributed, the gas cannot be desorbed immediately and migrate to the fractures. Therefore, the gas pressures in fractures and pores at the same moment are not exactly the same. However, few scholars have systematically analyzed the spatiotemporal evolutions of gas pressures in the pores and fractures of the coal mass in front of the working face during mining while considering the stress distribution. This study, grounded in a fluid-structure coupling model, employs numerical simulations to analyze gas flow laws in various regions in front of the working face during gas extraction under mining disturbance. These simulations are conducted from the dimensions of point, line, plane, and volume. A comparative analysis was conducted on the gas pressures in pores and fractures. The findings can provide a theoretical foundation for arranging drainage boreholes, enhancing the efficiency of gas extraction, preventing gas accidents and reducing environmental pollution caused by gas emissions.
Gas–solid coupling model
Coal is a dual-porosity medium consisting of pores and fractures, with a well-developed pore system and a very large internal surface area. These characteristics give coal a strong adsorption capacity. In addition, coal is relatively soft, brittle, and sensitive to stress. When equilibrium is disrupted and the pore gas pressure exceeds the fracture gas pressure, gas diffuses from the matrix to the fractures, leading to flow in the coal seam fractures. We previously built a fluid-solid coupling model that accounts for solid deformation and gas transport, with considerations for factors such as gas pressure, stress, adsorption, and desorption. The specific derivation process is described elsewhere35.
Stress field equation:
Gas migration equation in the matrix:
Gas flow equation in fractures:
The meanings of the symbols used in the formulas are detailed in reference35.
Geometric model and meshing for numerical simulation
As the mining depth increases, coal and gas disaster dynamics occur frequently during mining30. Before coal seam mining, gas pressure has been successfully lowered to below 0.74 MPa and its content reduced to 8m3/t, the potential danger of outburst has been effectively eliminated. Nevertheless, to reduce gas emissions, prevent gas disasters and ensure safe production, gas extraction during mining is still necessary.
To calculate the spatiotemporal evolutions of gas pressure during gas drainage under mining disturbance, some area of the on-site working face was chosen as the research subject. Taking into account the occurrence conditions of the coal seams in the working face, the configuration of the physical model for this coal seam simulation is outlined as follows:
-
(1)
The coal seam in the model has a thickness of 2.6 m, while the roof and floor are each set at a height of 20 m.
-
(2)
The initial vertical stress is 20 MPa, the initial gas pressure is set at 0.67 MPa, the initial permeability before mining is 1.7 × 10− 18m2, while the extraction negative pressure maintains at 13 kPa.
-
(3)
The borehole boundary employs the Dirichlet boundary condition, while the coal wall boundary of the working face serves as a free surface. The seepage flows at the boundaries of other coal seams each have a flux of zero.
-
(4)
Seven boreholes are horizontally arranged in parallel within the Z = 1.3 m plane of the coal seam, with their positions in the Y-direction set at y = 2 m, 5 m, 8 m, 11 m, 14 m, 17 m, and 20 m, respectively. In addition, the boreholes each have a diameter of 94 mm.
The geometric model of the working face is depicted in Fig. 1a, where the coal and rock body parts are meshed using free tetrahedral elements, and the borehole surfaces are meshed using free triangular elements, as shown in Fig. 1b.
Geometric model (a) and meshing (b).
Analysis of simulation results
Spatial changes in coal–rock stress under mining conditions
Under deep and high geostress conditions, the original rock is in a quasi-hydrostatic pressure state. Subject to mining activities, the coal-rock mass in front of the working face undergoes a comprehensive process, ranging from the increase in virgin rock stress and axial stress to the gradual decrease in confining pressure (unloading), ultimately leading to unloading destruction29, leading to coal stress redistribution.
Spatial distribution characteristics on the YZ surface (a) and different sections (b) of stress in the coal rock under mining conditions.
Utilizing the established fluid-solid coupled model, a simulation was conducted to assess the stress distribution within the coal body located in front of the working face. Figure 2a illustrates the distribution of stress within the coal and rock mass on the YZ two-dimensional plane at X = 25 m, as the working face has been advanced by 6 m. To visualize the spatial distribution characteristics of coal seam stress within the entire coal–rock system, Fig.2b is created to present these characteristics in three sections: YZ plane, XY plane, and XZ plane. The numerical simulation results indicate that the stress within the coal seam adjacent to the coal wall of the working face is relatively low. As the distance from the coal wall of the working face increases, the stress gradually rises to reach its peak and subsequently returns to its initial value as the distance along the strike direction continues to increase. Therefore, the coal seam in front of the working face can be divided into a stress-relaxation area, a stress concentration area, and an original stress area. Under mining disturbance, a slight stress concentration is observed near the boreholes.
Spatiotemporal evolutions of gas pressures during gas extraction while mining
During gas extraction while mining, the drainage time is generally short to avoid affecting the progression of mining. For this reason, the numerical simulation shows the process of gas extraction for only 15 days. To identify the variations in coal seam gas pressures during gas extraction under the mining disturbance, the spatiotemporal evolutions are comprehensively analyzed from the dimensions of point, line, plane, and volume.
To acquire the evolution of gas pressure at various points surrounding the borehole within the coal seam, seven points are strategically positioned between the coal wall and the borehole in the geometric model. Point 1 is between the coal wall and the first borehole, 1 m from the coal wall. Points 2, 3, 4, 5, 6, and 7 are 3.5 m, 6.5 m, 9.5 m, 12.5 m, 15.5 m, and 18.5 m from the coal wall, respectively, and they are all between boreholes, as shown in Fig. 3a. Numerical simulations and calculations reveal that the fracture gas pressures at the seven points, denoted as pfg1–pfg7, decrease with increasing extraction time, as shown in Fig. 3b. Point 1, which is closest to the coal wall, is in the stress-relaxation area. Due to the decrease in stress, the coal body experiences destruction, resulting in a sudden surge in permeability and the fastest decline in gas pressure. The gas pressure has reduced to 0.49 MPa after one day of extraction, to 0.31 MPa after three days, and to 0.16 MPa after 10 days. Subsequently, the rate of decline in gas pressure begin to slow down. Point 2 is in the transition stage from the stress-relaxation area to the stress concentration area. The gas pressure decreases slowly at the beginning of extraction due to the influence of coal mass disturbance. Since this position is situated relatively close to the coal wall, the gas pressure experiences a steeper decline with the prolongation of extraction time. When affected by mining, stress concentration occurs in the coal mass at point 3. Figure 2b shows that the stress at this position increases significantly, causing the pores and fractures in this region to decrease in size under compression. The permeability is particularly sensitive to stress, such that an increase in stress leads to a decrease in permeability, subsequently resulting in a gradual decline in coal seam gas pressure. Points 4–7 are less affected by mining disturbance than points 1–3. Under negative extraction pressure conditions, the gas pressure decreases at a relatively slow rate over time.
Layout of simulation measurement points near the boreholes in front of the working face (a) and temporal changes in the fracture gas pressures at points (b).
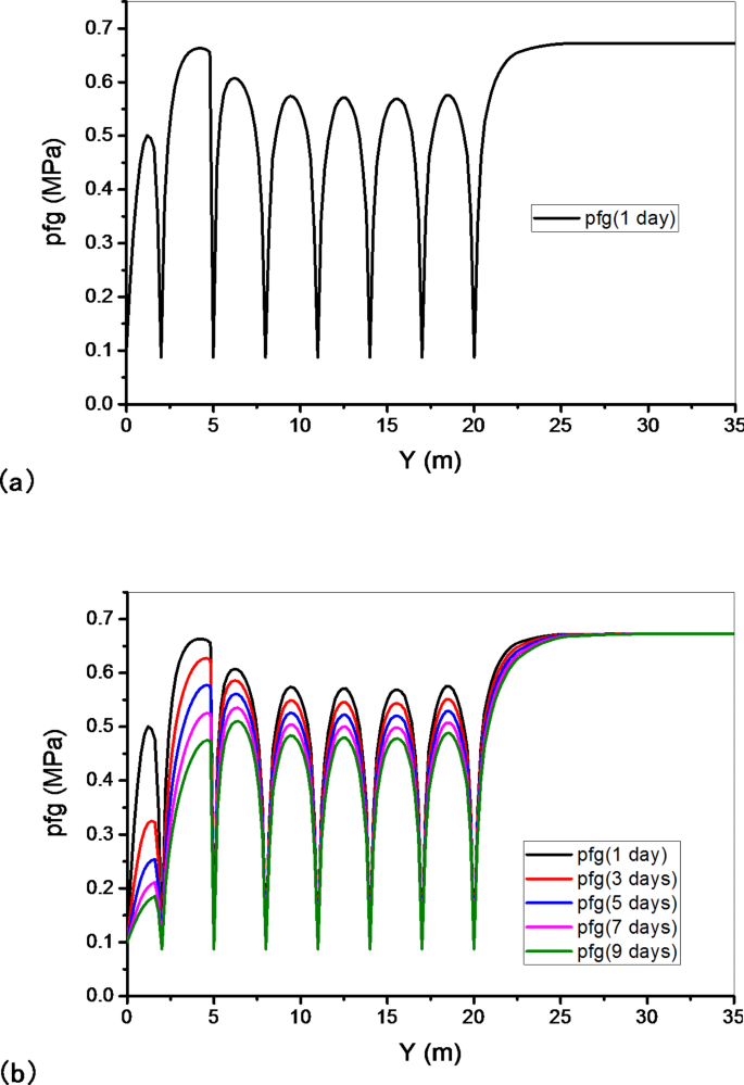
Figure 4 shows the changes in fracture gas pressure on the line X = 25 m in-plane at Z = 1.3 m of the coal seam. The Y axis represents the distance from the coal wall. For a clearer analysis of the gas pressure surrounding the boreholes, only the curves within 35 m are presented. Figure 4a shows the evolution of fracture gas pressures at one day of gas extraction. The negative extraction pressure at each borehole (y = 2 m, 5 m, 8 m, 11 m, 14 m, 17 m, and 20 m) is 13 kPa. The gas pressure at the coal wall is the atmospheric pressure (0.1 MPa). Due to gas extraction and gas emissions at the coal wall during mining and gas extraction, leading to the most rapid decline in gas pressure between the coal wall and the first borehole. The gas pressure at the peak of this region is 0.50 MPa, representing a decrease of approximately 25% compared to the initial pressure of 0.67 MPa. The decrease in gas pressure is slowest between the second and third boreholes. Due to stress concentration, the permeability decreases, and the pores and fractures are squeezed. The peak gas pressure in this region almost does not decrease. The area between the third and fourth boreholes, although also situated within the concentrated area, experiences a gradual decrease in stress as Y (strike distance) increases, resulting in a relatively slow decline in gas pressure within this region. The peak gas pressure is 0.61 MPa, representing a decrease of approximately 9% compared to the initial value. This slow decrease occurs because the fourth and seventh boreholes are far from the coal wall. Hence, these boreholes experience less disturbance by mining than other boreholes, and the gas pressures decrease between the stress concentration area and the stress-relaxation area. When Y (strike distance) is greater than 23 m, the gas pressures are initial values. Figure 4b shows the changes in fracture gas pressure at 1, 3, 5, 7, and 9 days of extraction. It is evident that the shape of the relationship curve between gas pressure and distance from the coal wall remains similar across different time periods. As time progresses, the gas pressure consistently decreases, with the most rapid decline observed in the stress-relaxation area.
The gas pressure in the stress concentration area is the highest before five days during gas extraction. As time progresses, because the gas pressure in the stress-relaxation area decreases rapidly, and the concentration area, being situated close to the stress-relaxation area, experiences a gradually accelerated decline in gas pressure under the influence of gas emission from the coal wall and the effect of pressure difference.
Changes in fracture gas pressure on the line X = 25 m at one day (a) and multiple days (b) during gas extraction.
Figure 5 shows the contour plots of the evolutions in fracture gas pressure on the five YZ sections perpendicular to the boreholes at 1, 5, and 9 days during gas extraction. To clearly show the gas pressure near the boreholes, Fig. 6 shows the scaled changes in fracture gas pressure near the borehole on the YZ section at X = 25 m at 1, 5 and 9 days during gas extraction. Figure 7 presents the variations in fracture gas pressure on the XY surface at Z = 1.3 m at 1, 5, and 9 days during gas extraction. Figure 8 displays the evolution of fracture gas pressure in the entire coal mass at 1, 5, and 9 days during gas extraction. At one day of extraction, the variation in gas pressure in front of the working face corresponds to the stresses in this region (stress-relaxation area, stress concentration area, and original stress area, as shown in Fig. 2). The gas pressure near the coal wall (stress-relaxation area) decreases significantly. Between Y = 3 m and Y = 7 m, as influenced by the stress concentration under mining disturbance, the gas pressure decreases very slowly, and the gas pressure at approximately 4 m does not decrease. As the stress variation at the front of the working face decreases, the gas pressure decreases slowly. As the gas continues to emit from the free surface of the coal wall and the duration of gas extraction extends, the gas pressure gradually decreases. At 5 days, the gas pressure at Y = 4–7 m is higher than that at other positions in the borehole layout area. At 9 days, the gas pressure at Y = 5–7.5 m is high. This is attributed to the fact that as the extraction time elongates, the influence of mining disturbance diminishes gradually. Under pressure differences, the accumulated gas in the concentrated area is gradually expelled through the adjacent coal walls and boreholes of the working face. Moreover, the gas pressure concentration area gradually shortens and moves toward the front of the working face.
Evolutions of the fracture gas pressure on the YZ section at 1 (a), 5 (b) and 9 days (c) during gas extraction.
Evolutions of the fracture gas pressure near the borehole on X = 25 m section at 1 (a), 5 (b) and 9 days (c) during gas extraction.
Evolutions of the fracture gas pressure on plane Z = 1.3 m section at 1 (a), 5 (b) and 9 days (c) during gas extraction.
Evolutions of the fracture gas pressure in coal body at 1 (a), 5 (b) and 9 days (c) during gas extraction.
Comparative analyses of the spatiotemporal evolutions in pore and fracture gas pressures in coal seams
Coal seam mining has led to a significant increase in the occurrence of fractures and damages in the coal body near the wall of the working face. Coal, being a dual-porosity medium, comprises pores and fractures. During gas extraction, gas is extracted through fractures because of the pressure difference, causing the gas pressures to be higher in pores than in fractures. Gas desorbs from pores and diffuses into fractures; thus, the process of pore gas pressure decline lags behind the decrease in gas pressure within the fractures. Figure 9 presents a comparative analysis of the temporal evolutions within the fracture and pore gas pressures at points 1, 3 and 5. The black line adorned with black circles indicates the curve of fracture gas pressure at point 1, the red line adorned with red circles indicates the pore gas pressure curve at point 1, the black line adorned adorned with black stars indicates the fracture gas pressure curve at point 3, the red line adorned with red stars indicates the pore gas pressure curve at point 3, the black line adorned with black squares indicates the fracture gas pressure curve at point 5, and the red line adorned with red squares indicates the pore gas pressure curve at point 5. The pore gas pressure exceeds the fracture gas pressure at each individual point. At the onset of mining, the fracture gas pressure at point 1 starts to decrease. However, due to the mining disturbance and stress compression, the pore gas pressure at point 1 temporarily increases, even exceeding the initial gas pressure. With increasing gas extraction and emission time at the free surface of the coal wall, the gas pressure in the pore at this point decreases rapidly. After 8 days of gas extraction, gas pressures in the fracture and pore are approximately equal. The pore gas pressures at points 3 and 5 do not decrease at the onset of mining. As time progresses, the pore gas pressures at these two points decrease more slowly than the fracture gas pressures. At 5 days of extraction, the gas pressure in the pores of point 3 is approximately 12.0% higher than that in the fractures, while the gas pressure in the pores of point 5 is approximately 15.6% higher than that in the fractures.
Comparison of the temporal evolution in the fracture and pore gas pressures at points near the boreholes.
Figure 10 illustrates the evolutions in pore and fracture gas pressures on the line X = 25 m at coal seam Z = 1.3 m at 3 days during gas extraction. It is evident that the gas pressure within the fracture corresponds to the stress-relaxation area, the stress concentration area, and the original stress area in front of the working face. The gas pressure is low in proximity to the coal wall, and as Y increases, the fracture gas pressure increases, peaking at approximately Y = 5 m. Then, the pressure decreases toward the undisturbed gas drainage curve. Within the range of borehole arrangement, the gas pressure in pores is consistently higher than that in fractures. However, the pore gas pressure peaks at approximately Y = 6 m, and it increases slightly on both sides of the nearest borehole. This result arises because mining disturbance creates a low stress concentration near the borehole (Fig. 2), which squeezes the pore gases on both sides of the borehole and increases its pressure, preventing rapid gas desorption. However, fracture gas pressure flows fast and is quickly drained under the negative pressure within the borehole. Therefore, there were no increase in the gas pressures within the fractures located on both sides of the boreholes.
Comparison of gas pressure evolution in fractures and pores along the X = 25 m line at Z = 1.3 m.
Due to spatial limitations, we only compare the evolutions in pore and fracture gas pressures near the borehole at X = 25 m at 5 days of gas extraction as Fig. 11 shown. In front of the working face, gas pressure evolutions in fractures and pores all exhibit a depressurization area (very low gas pressure), pressure concentration area (high gas pressure) and almost undisturbed extraction area. However, the concentration area of fracture gas pressure is at approximately Y = 5 m, while the concentration area of pore gas pressure is at approximately Y = 6 m. Specifically, the “concentration area” of pore gas pressure is situated further away from the coal wall compared to the “concentration area” of fracture gas pressure. Most of the gas pressure measured during the field test is fracture gas pressure. Under mining disturbance, attention must be paid to the pore gas pressure, reducing it to a safe range to prevent gas accidents.
Comparison of the changes in pore (a) and fracture (b) gas pressures near the borehole at X = 25 m.
Conclusion
Utilizing numerical simulation methods, a comprehensive analysis was conducted on the spatiotemporal evolution of gas pressures during the extraction process under mining disturbance conditions, encompassing the four dimensions of point, line, plane, and volume. Additionally, a comparative exploration was made for gas pressures within pores and fractures. The conclusion is as follows:
-
(1)
Affected by mining disturbance, the stress-relaxation area, stress concentration area, and original stress area appear in front of the working face. Moreover, a low stress concentration occurs near the boreholes, and the mining stress disturbs the extraction process.
-
(2)
Due the influence of mining disturbance, in the initial stage of gas extraction, the gas pressure in front of the working face corresponding to the stress exhibits a depressurization area, pressure concentration area and almost undisturbed extraction area. With the prolongation of gas extraction duration, the influence of the mining disturbance gradually decreases, and the concentration area of gas pressure steadily shortens and moves toward the front of the working face.
-
(3)
Under the same temporal conditions, the gas pressure in pores is greater than that in fractures. During the instant of mining, the pore gas pressure can even exceed its initial value. At the same moment, the “concentration area” of pore gas pressure is situated further away from the coal wall compared to the “concentration area” of fracture gas pressure.
Although gas extraction before coal mining has met the required standards, disturbance during the mining process can increase local gas pressure, thereby increasing the likelihood of gas disasters. This study explored the distribution pattern of gas pressure during the simultaneous mining and gas extraction process, as well as identified the location of the “concentration zone” of gas pressure within pores and fractures. The research result offers theoretical support for arranging boreholes, enhancing gas extraction efficiency, and preventing gas accidents.
Data availability
The data that support the findings of this study are available upon written request to the corresponding author.
References
Rudakov, D. & Sobolev, V. A mathematical model of gas flow during coal outburst initiation. Int. J. Min. Sci. Technol. 29 (5), 791–796 (2019).
Rong, T. et al. Evolution of permeability and gas seepage in deep coal under 3D stress. Nat. Resour. Res. 33, 765–791 (2024).
Shu, L. et al. A novel physical model of coal and gas outbursts mechanism: insights into the process and initiation criterion of outbursts. Fuel 323, 124305 (2022).
Wang Yang, X., Mengtang, K., Dezhong, S. & Yuqi Li Fei Optimization of drilling parameters for coal seam gas extraction considering fluid–solid coupling and field application. Energy Sci. Eng. 12, 657–669 (2024).
Wang, G., Xu, Y. & Ren, H. Intelligent and ecological coal mining as well as clean utilization technology in China: review and prospects. Int. J. Min. Sci. Technol. 29 (2), 161–169 (2019).
Zhang, C. L. & Wang, E. Laboratory experiments of CO2-enhanced coalbed methane recovery considering CO2 sequestration in a coal seam. Energy 322, 124296 (2022).
Hummel, J. A., Ruiz, F. A. & Kelafant, J. R. Quantifying the benefits of coal mine methane recovery and use projects: Case study on the application of in-mine horizontal pre-drainage boreholes at gassy coal mines in India and the optimization of drainage system design using reservoir simulation. Environ. Technol. Innov. 10, 223–234 (2018).
Karacan, C. Ö., Diamond, W. P. & Schatzel, S. J. Numerical analysis of the influence of in-seam horizontal methane drainage boreholes on longwall face emission rates. Int. J. Coal Geol. 72 (1), 15–32 (2007).
Packham, R., Cinar, Y. & Moreby, R. Simulation of an enhanced gas recovery field trial for coal mine gas management. Int. J. Coal Geol. 85 (3–4), 247–256 (2011).
Zhang, H. R., Pera, L. S., Zhao, Y. J. & Sanchez, C. V. Researches and applications on Geostatistical Simulation and Laboratory Modeling of Mine Ventilation Network and Gas Drainage Zone. Process. Saf. Environ. 94, 55–64 (2015).
Zhu, W. C. et al. Impact of gas adsorption induced coal matrix damage on the evolution of coal permeability. Rock. Mech. Rock. Eng. 46, 1353–1366 (2013).
Pan, Z. & Connell, L. D. Modelling of anisotropic coal swelling and its impact on permeability behaviour for primary and enhanced coalbed methane recovery. Int. J. Coal Geol. 85, 257–267 (2011).
Connell, L. D., Lu, M. & Pan, Z. An analytical coal permeability model for tri-axial strain and stress conditions. Int. J. Coal Geol. 84 (2), 103–114 (2010).
Liu, J., Chen, Z., Elsworth, D., Miao, X. & Mao, X. Evaluation of stress-controlled coal swelling processes. Int. J. Coal Geol. 83 (4), 446–455 (2010).
Liu, T., Lin, B. & Yang, W. Impact of matrix–fracture interactions on coal permeability: model development and analysis. Fuel 207, 522–532 (2017). (2017).
Rong, T., Liu, K. & Guan, C. Evolution of internal swelling coefficient under different geometric conditions and its influence on gas drainage. Nat. Resour. Res. 31 (2), 1027–1044 (2022).
Lu, M. & Connell, L. D. A model for the flow of gas mixtures in adsorption dominated dual porosity reservoirs incorporating multi-component matrix diffusion: part I. theoretical development. J. Petrol. Sci. Eng. 59 (1–2), 17–26 (2007).
Xue, D. J. et al. A combined method for evaluation and prediction on permeability in coal seams during enhanced methane recovery by pressure-relieved method. Environ. Earth Sci. 73 (10), 5963–5974 (2015).
Wang, S., Elsworth, D. & Liu, J. Permeability evolution in fractured coal: the roles of fracture geometry and water-content. Int. J. Coal Geol. 87, 13–25 (2011).
Wang, S., Elsworth, D. & Liu, J. Permeability evolution during progressive deformation of intact coal and implications for instability in underground coal seams. Int. J. Rock. Mech. Min. 58, 34–45 (2013).
Zhao, W., Wang, K., Liu, S. & Cheng, Y. Gas transport through coal particles: matrix-flux controlled or fracture-flux controlled? J. Nat. Gas Sci. Eng. 76, 103216 (2020).
Xu, H. et al. Quantification of Gas Transport Behavior during Coalbed methane extraction in a coal Seam considering a Dual-Porosity/Single-Permeability model. Nat. Resour. Res. 33 (1), 321–345 (2024).
Thararoop, P., Karpyn, Z. T. & Ertekin, T. Development of a multi-mechanistic, dual-porosity, dual-permeability, numerical flow model for coalbed methane reservoirs. J. Nat. Gas Sci. Eng. 8, 121–131 (2012).
Hosking, L. J., Thomas, H. R. & Sedighi, M. A dual porosity model of high-pressure gas flow for geoenergy applications. Can. Geotech. J. 55 (6), 839–851 (2018).
Liu, P., Qin, Y., Liu, S. & Hao, Y. Numerical modeling of gas flow in coal using a modified dual-porosity model: a multi-mechanistic approach and finite difference method. Rock. Mech. Rock. Eng. 51, 2863–2880 (2018).
Xu, J. et al. Evolution characteristics of reservoir parameters during coalbed methane drainage via in-seam horizontal boreholes. Powder Technol. 362, 591–603 (2019).
Zhao, D., Liu, J. & Pan, J. T. Study on gas seepage from coal seams in the distance between boreholes for gas extraction. J. Loss Prev. Proc. 54, 266–272 (2018).
Jie, X. & Zhaofeng, W. Study on time–space characteristics of gas drainage in advanced self-pressure‐relief area of the stope. Energy Sci. Eng. 11, 1311–1324 (2023).
Xie, H. et al. Mining-induced mechanical behavior in coal seams under different mining layouts. J. China Coal Soc. 36 (07), 1067–1074 (2011).
Xie, G. X., Hu, Z. X. & Wang, L. The coupling effect of the coal seam gas pressure and mining stress in working face. J. China Coal Soc. 39 (6), 1089–1093 (2014).
Liu, T. et al. Dynamics of coalbed methane emission from coal cores under various stress paths and its application in gas extraction in mining-disturbed coal seam. J. Nat. Gas Sci. Eng. 104, 104677 (2022).
Ding, X., Zhai, C., Xu, J., Yu, X. & Sun, Y. Study on coal seepage characteristics and secondary enhanced gas extraction technology under dual stress disturbance. Sustainability 14, 15118 (2022).
Xu, C. et al. Effect of low-level roadway tunneling on gas drainage for underlying coal seam mining: Numerical analysis and field application. Greenh. Gas Sci. Technol. 11, 780–794 (2021).
Wang, W. Z. et al. Experimental study on the influence of drainage borehole position on dynamic parameters of coal seam in CBM recovery process. J. China Coal Soc. 41 (2), 414–423 (2016).
Chen, Y. X. et al. Coupling of stress and gas pressure in dual porosity medium during coal seam mining. Powder Technol. 367, 390–398 (2020).
Acknowledgements
This study was financially supported by the National Natural Science Foundation of China (52104193 and 52174181) and the Natural Science Foundation of Hebei Province in China (E2022508037 and E2022508046).
Author information
Authors and Affiliations
Contributions
Yuexia Chen wrote the main manuscript text, Tingxiang Chu and Xuexi Chen prepared Figs. 1, 2, 3, 4, 5, 6, 7 and 8, Boing Jiang and Peng Chen prepared Figs. 9, 10 and 11, Jialin Cao edited the manuscript, Ning He revised the manuscript. ALL authors reviewed the manuscript.
Corresponding author
Ethics declarations
Competing interests
The authors declare no competing interests.
Additional information
Publisher’s note
Springer Nature remains neutral with regard to jurisdictional claims in published maps and institutional affiliations.
Rights and permissions
Open Access This article is licensed under a Creative Commons Attribution-NonCommercial-NoDerivatives 4.0 International License, which permits any non-commercial use, sharing, distribution and reproduction in any medium or format, as long as you give appropriate credit to the original author(s) and the source, provide a link to the Creative Commons licence, and indicate if you modified the licensed material. You do not have permission under this licence to share adapted material derived from this article or parts of it. The images or other third party material in this article are included in the article’s Creative Commons licence, unless indicated otherwise in a credit line to the material. If material is not included in the article’s Creative Commons licence and your intended use is not permitted by statutory regulation or exceeds the permitted use, you will need to obtain permission directly from the copyright holder. To view a copy of this licence, visit http://creativecommons.org/licenses/by-nc-nd/4.0/.
About this article
Cite this article
Chen, Y., Chu, T., Chen, X. et al. Spatiotemporal evolutions of gas pressures in coal seam during gas extraction under mining disturbance. Sci Rep 14, 30253 (2024). https://doi.org/10.1038/s41598-024-81447-2
Received:
Accepted:
Published:
Version of record:
DOI: https://doi.org/10.1038/s41598-024-81447-2













