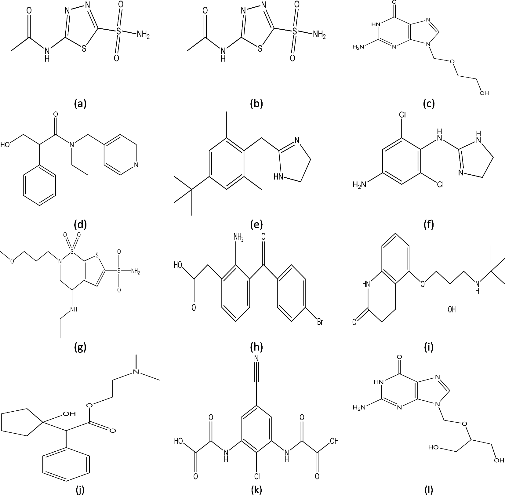
Fig. 1
From: Role of topological indices in predictive modeling and ranking of drugs treating eye disorders

Molecular structure of (a) Acetazolamide, (b) Acetylcysteine, (c) Aciclovir, (d) Tropicamide, (e) Xylometazoline, (f) Apraclonidine, (g) Brinzolamide, (h) Bromfenac, (i) Carteolol, (j) Cyclopentolate, (k) Lodoxamide, (l) Ganciclovir.