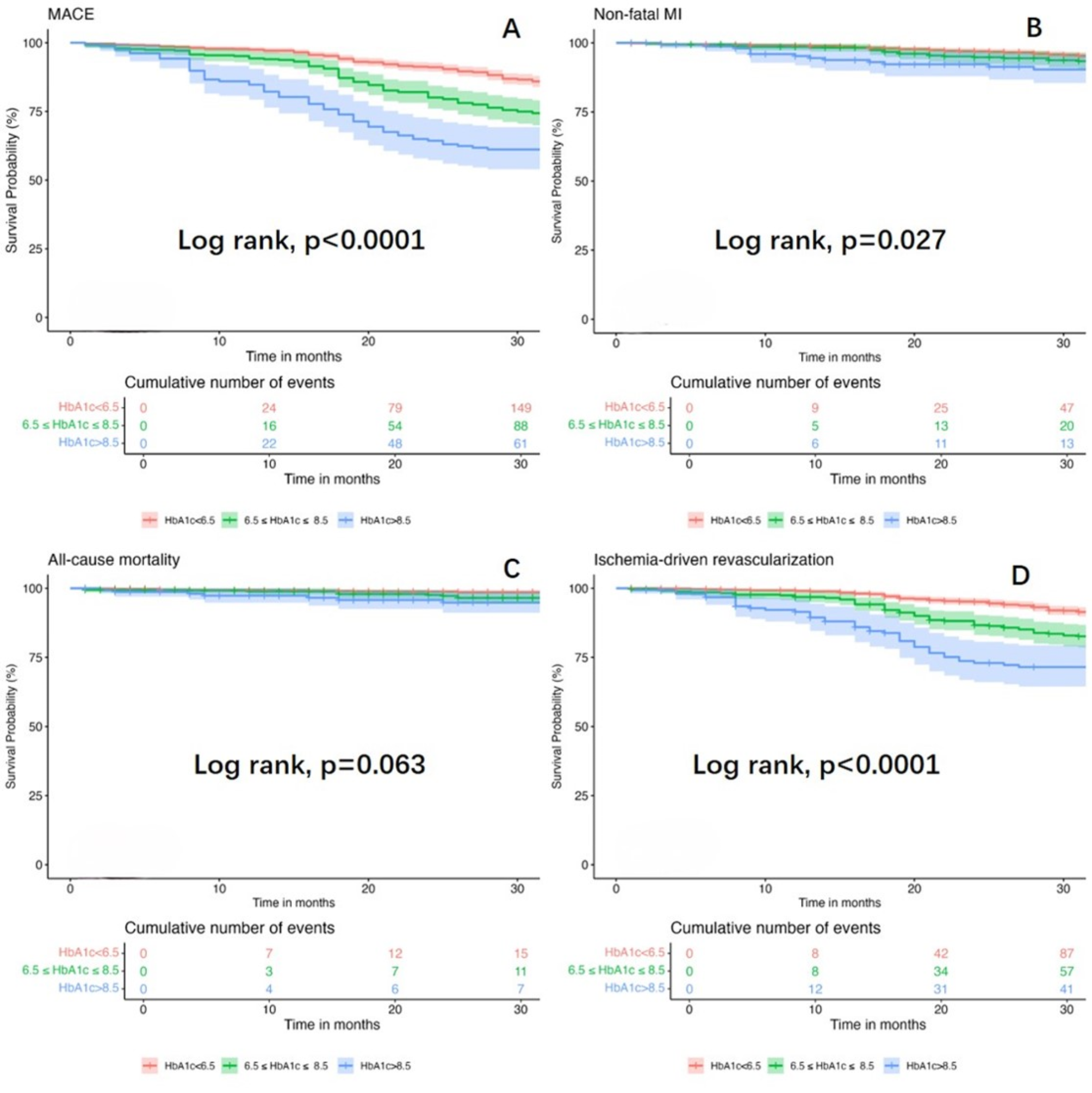
Fig. 2

Kaplan–Meier curves showing the association between HBIaC groups and clinical outcomes. (A) Kaplan–Meier curves showing the association between MACE and HBIaC groups. (B) Kaplan–Meier curves showing the association between Non-fatal MI and HBIaC groups. (C) Kaplan–Meier curves showing the association between all-cause mortality and HBIaC groups. (D) Kaplan–Meier curves showing the association between ischemia-driven revascularization and HBIaC groups. MACE major adverse cardiovascular event, MI myocardial infarction.