Abstract
The SARS-CoV-2 coronavirus infects cells through the cellular receptor angiotensin-converting enzyme 2 (ACE2), and the protease TMPRSS2 for the priming of viral spike protein. Thus, changes in these key proteins due to chronic conditions can increase risk for SARS-CoV2 infection; but significance of changes may differ is these changes correspond to full-length species or proteolytic fragments. Here, we determined that full-length ACE2 decreased in the plasma of uninfected Crohn’s disease (CD) patients before treatment onset compared to controls. TMPRSS2 is mostly presented in plasma as full-length species and as an active peptidase fragment, but also as a prodomain fragment, which is the unique species remarkably decreased in plasma from CD patients. Patients treated with the anti-TNFα adalimumab showed recovery in ACE2 levels, while those treated with infliximab, or with the anti-IL-12/23 ustekinumab, still displayed a decrease in full-length species, as well as in cleaved fragments. Patients treated with azathioprine displayed similar ACE2 levels to that of controls, except a decrease in one of the ACE2 fragments. Uniquely, patients treated with azathioprine or with ustekinumab showed partial recovery in the reduction of the TMPRSS2-prodomain fragment characterized in treatment-naïve patients. Our data suggest that CD and common therapies are not related to increased susceptibility for SARS-CoV-2.
Similar content being viewed by others
Background
Crohn’s disease (CD) is, together with ulcerative colitis (UC), a type of a condition known as inflammatory bowel disease (IBD), a chronic inflammatory disorder of the gastrointestinal tract responsible for intestinal lesions. At present, all therapeutic interventions in IBD target inflammation, but are unable to reverse chronic bowel wall damage once it has emerged. Treatment is classically determined based on the severity of symptoms as a step-up approach, with the use of mesalamine (5-aminosalicylic acid) and thiopurines (azathioprine) occurring before considering biologic agents, such as monoclonal antibodies targeting tumor necrosis factor-α (TNFα) or interleukins1; however, increasing data suggest that early biologic treatment is required to prevent longer-term adverse events.
The SARS-CoV-2 coronavirus infects human cells through the cellular receptor angiotensin-converting enzyme 2 (ACE2), and the serine protease TMPRSS2 for the priming of viral spike protein (reviewed in2; but is not well known whether key proteins involved in SARS-CoV-2 infection are altered in association with IBD pathology. Both ACE2 and TMPRSS2 are expressed throughout the gastrointestinal tract3; in particular, ACE2 is expressed largely in the colon and the terminal ileum4, and a striking expression of ACE2 on the small bowel enterocyte brush border could support intestinal infectivity by SARS-CoV-25. Nonetheless, ACE2 presents heterogeneous expression patterns in the gastrointestinal tract4. In this context, ACE2 and TMPRSS2 are reportedly associated with the IBD condition; however, no consensus has been reached yet, with ACE2 and TMPRSS2 mRNA expression also varying by region in inflamed gut segments5. Thus, even though inflammation appears as a key determinant of expression of ACE2 and TMPRSS2 in patients presenting with IBD, there are variances among anatomic location3.
Most of the studies about potential changes in ACE2 or TMPRSS2 in IBD patients are based on expression analysis or do not discriminate between species. To decipher whether altered levels of these proteins are associated with increased vulnerability to viral cell entry it is necessary to study the levels of the different forms of ACE2 and TMPRSS2, as well their circulating levels, particularly of ACE2.
The transmembrane protein ACE2 is cleaved through constitutive and regulated shedding by metalloprotease ADAM176, whereas transmembrane TMPRSS2 undergoes autoproteolytic cleavage at the ectodomain to acquire proteolytic activity7. Thus, soluble species of ACE2 can be detected in human plasma8, and TMPRSS2 has been described in human semen9; but interestingly, for both proteins, a significant proportion of non-truncated full-length species co-exist in fluids with cleaved fragments. The circulating levels of full-length species would mirror tissue changes during IBD, but dysregulation in membrane shedding may also occur.
Increased levels of membrane-bound ACE2 on mucosal surfaces could increase susceptibility to SARS-CoV-2 cell entry, while increased plasma ACE2 fragments may competitively inhibit circulating coronavirus. Moreover, it is also necessary to distinguish between the soluble full-length form and cleaved fragments of TMPRSS2, because, as mentioned above, only the latter are the active species, whose increased levels could reflect a higher vulnerability to SARS-CoV-2 infection. Therefore, it is of interest to conduct an analysis using a technique that allows the separation and quantification of co-existing ACE2 fragments and soluble full-length forms in plasma, such as western blotting, in order to distinguish whether changes are derived from increased expression or result from altered proteolytic processing.
In this study, we aimed to determine the levels of full-length and cleaved fragments of both ACE2 and TMPRSS2 in plasma from uninfected CD patients. We conducted the analysis by western blotting revealing the proteins with antibodies against the ectodomain and the intracellular domain, validating the co-existence of fragments and soluble full-length forms of ACE28,10, and demonstrating for the first time that TMPRSS2 is also present in human plasma as fragments and full-length species. We sought to assess whether these plasma ACE2 and TMPRSS2 species are altered in CD patients at diagnosis, prior treatment, and, in a second cohort, in patients under biological and non-biological treatments.
Results
Characteristics of patients
Patients diagnosed with CD and followed at Hospital General Universitario Dr Balmis de Alicante (Spain) and healthy donors were considered in this prospective observational study. Demographic data, clinical data and laboratory parameters of the subjects are described at the Material and Method section and in Table 1. Two cohorts were included, one of treatment-naïve CD patients and a second of CD patients under treatment with azathioprine (n = 8), adalimumab (n = 8), infliximab (n = 10) and Ustekinumab (n = 10) on monotherapy. No significant differences were present in clinical or analytical parameters between the treated IBD subgroups in the second cohort.
Full-length and cleaved fragments of ACE2 and TMPRSS2 co-exist in human plasma
We previously demonstrated in the human plasma8,10 and in the plasma of transgenic K18-hACE2 mice expressing human ACE211, the co-existence of cleaved fragments of ACE2 with several soluble full-length species. Here, we validated the identity of the circulating ACE2 species revealing plasma samples from non-disease subjects with an ectodomain antibody, which recognizes full-length species and C-terminal truncated fragments, and a C-terminal antibody, which only recognizes full-length species (ACE2 is type I transmembrane protein; a schematic representation of ACE2 and epitopes for antibodies are represented in Fig. 1A). ACE2 bands of ~ 95 and 100-kDa, as well as ~ 130 and 150-kDa bands were all immunoreactive to the ectodomain (polyclonal goat AF933) and C-terminal (rabbit polyclonal ab15348) antibodies, confirming their identity as full-length species (Fig. 1B). Two bands of ~ 70 and 75 kDa were immunoreactive to the ectodomain antibody AF933, however, they were not recognized by the C-terminal antibody (Fig. 1B); thus, they probably represent ACE2 cleaved fragments originated from ~ 20–30 kDa larger full-length species6,11.
Characterization of ACE2 and TMPRSS2 species in human plasma. (A) Schematic representation of ACE2 as a transmembrane type I protein and of the epitopes recognized by the antibodies used for it characterization (not drawn to scale). The carboxypeptidase and the transmembrane (TM) domains are represented. (B) Representative plasma samples from non-disease controls were immunoblotted with the antibodies AF933 (ectodomain) and the ab15348 (C-terminus). The C-terminus antibodies only recognize the full-length ACE2 which retains the C-terminal domain. The 70 and 75 kDa ACE2 immunoreacrive species lacking the C-terminal domain were identified as cleaved fragments, whereas 95, 100, 130 and 150 kDa were assigned as full-length forms. (C) Schematic representation of TMPRSS2 as a transmembrane type II protein and of the epitopes recognized by the antibodies used for it characterization (not drawn to scale). The peptidase and the transmembrane (TM) domains are represented, and the localization of the interdomain disulfide bond that served to link to the membrane-tethered prodomain fragment is indicated. (D) Plasma samples from control individuals (not the same than in B) were immunoblotted with the 14437-1-AP, an antibody that targets full-length TMPRSS2, recognizing a 55-kDa band and recognizes also the 35 kDa membrane-tethered prodomain fragments (black arrowhead) and the 25 kDa peptidase ectodomain (grey arrowhead). The same samples were also blotted with H00007113 (C-terminus) or the OAAB04388 (N-terminus) antibodies, confirming the identity of peptidase and prodomain fragments. (*) A smaller ~ 22-kDa band was attributed to a nonspecific reactivity, since it was immunoreactive to both the anti-C-terminal antibody and the anti-N-terminal antibody.
TMPRSS2 has been also reported in human and mouse plasma7,12,13; however, most of these studies were conducted by enzyme-linked immunosorbent assay (ELISA) and did not address which species, active or non-active, are present in circulation. TMPRSS2 is expressed as a single chain zymogen that undergoes autoproteolytic cleavage at the ectodomain, between residues 255–256 to acquire proteolytic activity7. The cleaved protease domain either remains linked to the prodomain via an interdomain disulfide bond or is shed, resulting in a membrane-bound fragment or a cell-free fragment7,9 (TMPRSS2 is type II transmembrane protein; a schematic representation of TMPRSS2 and epitopes for antibodies are represented in Fig. 1C). Plasma samples from non-disease subjects were analyzed by western blotting with the 14437-1-AP antibody, recognizing a full-length TMPRSS2 of ~ 55 kDa and also fragments of ~ 25 and 35 kDa attributable, respectively, to the C-terminal peptidase domain and to the N-terminal prodomain that should correspond to the membrane-tethered fragment (Fig. 1D). The identity of these fragments was corroborated revealing the plasma samples with the C-terminus antibody H00007113-M05 which recognizes 55 kDa full-length and the 25 kDa fragment, or with the N-terminus antibody OAAB04388 which recognizes the full-length and the 35 kDa fragment, confirming that this fragment is also present in plasma (Fig. 1D).
ACE2 and TMPRSS2 species are altered in plasma from CD patients before treatment onset
Next, we analyzed human plasma samples from CD patients prior to establishing a therapy, and from age-matched non-disease controls, by quantitative fluorescent western blotting with the AF933 antibody, which detected ACE2 cleaved fragments and full-length forms (Fig. 2A). Interestingly, the levels of the circulating 95, 100, 130 and 150 kDa full-length ACE2 species were lower in CD patients than in controls, whereas the cleaved 70 and 75 kDa ACE2 fragments were not affected (Fig. 2B). As a result, the estimation of a quotient between the major 75-kDa fragment and the 100 kDa full-length form (75 kDa/100 kDa), from which the 75-kDa fragment would originate, gave the greatest discrimination between CD patients and controls (Fig. 2B). There were no significant differences in ACE2 values by gender, or smoking status in the control or CD groups, nor correlation with age. For CD patients, levels of ACE2 also failed to correlate with Crohn disease activity index (CDAI), Montreal scales, C-reactive protein (CRP) or hemoglobin. However, elevated numbers of leukocytes correlated with decreased levels of 95 kDa (ρ = -0.709; P = 0.019), 100 kDa (ρ = -0.709; P = 0.009), and 150 kDa (ρ = -0.758; P = 0.009) ACE2 full-length species.
Levels of ACE2 and TMPRSS2 species in plasma from individuals affected by CD prior to treatment onset and from healthy controls. (A) Representative plasma samples from healthy controls (Ctrl; n = 10) and from patients with CD (n = 10) were immunoblotted with the anti-ACE2 antibody AF933 (epitope: ectodomain). (B) The densitometric quantification of the cleaved 70 and 75 kDa ACE2 fragments, and full-length 95, 100 and 130 and 150 kDa species are shown. The relation between the 75 kDa fragment and the 100 kDa full-length was obtained, for each sample, by dividing the level of immunoreactivity of the 75-kDa band by the level of immunoreactivity of the 100-kDa band. The quotient (75 kDa/100 kDa) is represented. (C) The same plasma samples from controls and CD patients were immunoblotted with the anti-TMPRSS2 antibody 14437-1-AP (epitope: full-length protein). (D) Densitometric quantification of the full-length species (55 kDa), the peptidase fragment (25 kDa), and the prodomain fragment (35 kDa) are shown. The quotients between the prodomain fragment and the full-length species (35 kDa/55 kDa) are also shown. The figure shows the means ± SEM; the significant P value are also indicated.
TMPRSS2 was analyzed in plasma with the 14437-1-AP antibody, which detected the full-length, the peptidase-domain and the prodomain fragments (Fig. 2C). The levels of the full-length and the peptidase fragment remained unchanged, while the prodomain 35 kDa fragment resulted decreased compared to those in controls (Fig. 2D). The estimation of a quotient between the prodomain fragment and the full-length form gives a full discrimination between CD patients and controls (Fig. 2D). None of the clinical variables correlated with the decrease in the TMPRSS2 prodomain fragment.
Different pattern of plasma ACE2 and TMPRSS2 species in CD patients under different therapies
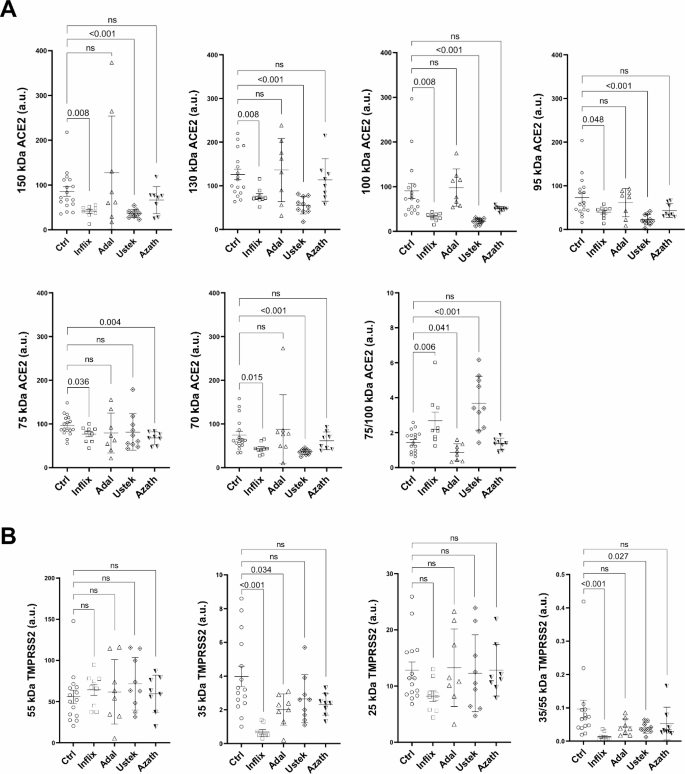
In plasma samples from a second CD cohort, we evaluated the impact of non-biological and biological medication on the levels of circulating ACE2 and TMPRSS2 species. The levels of ACE2 (Fig. 3A) and TMPRSS2 species (Fig. 3B) were estimated as described above in the plasma from CD patients treated with azathioprine or on therapy with anti-TNFα, infliximab or adalimumab, or on anti-p40 subunit of IL-12 and IL-23, ustekinumab, compared to healthy controls. This control group was recruited during the same period and samples were analysed in the same blots that the obtained from treated CD patients.
Levels of ACE2 and TMPRSS2 species in plasma from individuals affected by CD under biological or non-biological therapies. Plasma samples from healthy controls (Ctrl; n = 17) and from CD patients treated with azathioprine (Azath), infliximab (Inflix), adalimumab (Adal), or ustekinumab (Ustek), were immunoblotted with the anti-ACE2 antibody AF933 (A), or with the anti-TMPRSS2 antibody 14437-1-AP (B). Representative blots are shown. The densitometric quantification of the ACE2 and TMPRSS2 species were determined, and the ACE2 75 kDa/100 kDa and the TMPRSS2, 35 kDa/55 kDa, quotients were estimated as described in Fig. 2. The figure shows the means ± SEM; P values are also shown (ns: non-significant).
Patients on azathioprine therapy only displayed reduced levels of the major ACE2 fragment of 75 kDa as compared with controls, while soluble full-length species, which are the most affected before treatment onset, remained at similar levels as controls (Fig. 3A). Regarding TMPRS22, the remarkable decrease in the prodomain fragment noticed in patients before treatment onset patients using azathioprine displayed a partial recovery (Fig. 3B).
Patients treated with adalimumab showed similar levels for all ACE2 species when compared with controls, while patients treated with infliximab displayed decreased levels for full-length species, similar to patients before treatment onset, and also in ACE2 fragments (Fig. 3A); these patients displayed elevated levels of leukocytes (per µL; Control: 5195 ± 331; Infliximab: 9906 ± 1602) and CRP (in mg/dL; Control: 0.17 ± 0.07; Infliximab: 0.81 ± 0.32) (see Table 1). Patients treated with both adalimumab or infliximab showed TMPRSS2 levels similar to untreated patients with decreased levels of the prodomain fragment (Fig. 3B).
Similar to infliximab-treated CD, patients treated with ustekinumab showed decreased levels for ACE2 full-length species and for the 70 kDa fragments (Fig. 3A). Regarding TMPRSS2, a partial recovery in their levels was observed, resulting similar to the levels in control subjects (Fig. 3B).
Discussion
In this study, we found that two key proteins involved in SARS-CoV-2 infectivity, ACE2 and TMPRSS2, are altered in the plasma from CD patients. Indeed, it has been suggested that the presence of inflammation is a key determinant for ACE2 and TMPRSS2 expression in patients presenting IBD. Previous in vitro experiments demonstrated that treatment of human induced pluripotent stem cell-derived cardiomyocytes with TNFα increased the expression of ACE2 and TMPRSS214, as well as exposure of human umbilical vein endothelial cells to TNFα resulted in increased ACE2 expression15. However, other studies using cultured primary human bronchial epithelial cells indicated that the interleukin IL-13 decreases ACE2 expression16.
The existing studies about the influence of the IBD condition on ACE2 and TMPRSS2 are also controversial. Using microarray transcriptomics, it has been reported that ACE2 levels were consistently reduced in small bowel from CD patients, whilst appearing elevated in colonic UC17. By mining information from databases, intestinal ACE2 expression was also seen to be downregulated in the ileum of CD patients and upregulated in the colon of both CD and UC patients18. ACE2 gene expression was also significantly decreased in inflamed CD ileum, whereas colonic ACE2 was higher in inflamed colon of CD/UC patients19. Other studies failed to demonstrate changes in expression of ACE2 and TMPRSS220,21,22. Overall, proteomic and transcriptomic analysis using intestinal tissue biopsy samples appears to be poorly informative regarding whether the IBD condition confers high susceptibility for SARS-CoV-2 cell entry, maybe due to the variances in the anatomical location of ACE2 and TMPRSS2 intestinal expression3.
In this complex scenario, we aimed to characterize and determine the levels of ACE2 and TMPRSS2 species in plasma from CD patients to obtain a more “systemic perspective” about changes in the proteins and infer vulnerability to COVID-19. We performed the analysis thoroughly through the biochemical characterization of the different species of ACE2 and TMPRSS2 present in circulation. In a previous study, circulating ACE2 activity, estimated by a enzymatic assays, was higher in patients with IBD compared to controls23, but enzymatic determination cannot discriminate between the different ACE2 species identified in circulation. Elevated levels of plasma ACE2 full-length species can reflect increased tissular levels which determine vulnerability to viral cell entry, but elevated levels of fragment are not indicative of risk. Whereas, elevated levels of the active TMPRSS2 fragment also indicate major susceptibility for infection.
In this study only ACE2 full-length species appeared significantly decreased in the plasma of untreated CD patients, as compared with age-matched controls, while levels of cleaved fragment remained unaltered. All the existing ACE2 full-length species, presumably glycoforms synthesized by different tissues or cell types, exhibited the same trend. Decreased levels of soluble full-length ACE2 may reflect decreased overall tissular expression or enhanced ACE2 shedding mediated by IBD condition. Indeed, the quotient between ACE2 fragment and ACE2 full-length species (75 kDa/100 kDa) was found to discriminate between CD patient and control subjects.
ACE2 contributes to the proliferation of intestinal stem cells and hence orchestrates mucosal homeostasis24, and ACE2 deficiency has been associated with oxidative stress and impaired endothelial function in cerebral arteries25. Moreover, ACE2 plays a role in amino acid transport26, particularly in regulating intestinal tryptophan transport and maintenance of systemic metabolism27. Our data confirms that the occurrence of IBD is significantly affecting ACE2 levels and may impair its functions, which may be related with local inflammation by failing in its tissue protective function, thus deteriorating maintenance of structural and functional gut integrity.
Regarding TMPRSS2, a biochemical characterization of the changes in circulating species in CD is also needed because different species, active and non-active, can co-exist in plasma. In our analysis, the only species affected in plasma from CD patients is the decreased prodomain (non-active) fragment; and subsequently the quotient between full-length vs. prodomain fragment (35 kDa/55 kDa) resulted altered. The TMPRSS2 prodomain fragment is originally a membrane-tethered fragment, and the full-length species is presumably a membrane-resident protein. Activation by zymogen cleavage occurs before reaching the cell surface as described in diverse human cell lines over-expressing TMPRSS2, but in all cell extracts the most abundant species is the uncleaved zymogen28. Species attributable to proteolytic unprocessed full-length TMPRSS2 have also been identified in cellular media7. Thus, to find circulating TMPRSS2 full-length species, in addition to the cleaved protease-ectodomain fragment, was not surprising; however, the presence of a prodomain fragment that should be a membrane-tethered fragment was not expected, although similar fragments have been identified for proteins such as amyloid precursor protein (APP)29. The mechanisms by which these membrane-tethered fragments reached the plasma is unknown.
Here, we have described changes in circulating ACE2 and TMPRSS2 before treatment onset, but most patients with IBD are under treatment, and the different therapies can differentially affect these proteins. Thus, for instance, in THP-1 macrophages anti-TNFα antibodies downregulated ACE2 expression and increased a protease ratio TMPRSS2/TACE; and ACE2 levels were also lower in the plasma from rheumatoid arthritis patients on anti-TNFα treatment compared to healthy controls30. In a previous study, commonly used IBD medications, both biological and non-biological, did not significantly impact ACE2 and TMPRSS2 expression in the uninflamed intestines5. However, another study reported downregulated colonic ACE2 expression in anti-TNFα therapy in IBD patients responding to treatment18. None of these studies addressed plasma levels or altered proteolytic processing by assessing full-length and cleaved fragments.
Azathioprine is the immunomodulator of choice for moderately active CD and is expected to reduce associated inflammation, but its effectivity for maintenance of remission in CD is limited31, particularly when used alone32. In our study, patients treated with azathioprine showed recovery in full-length ACE2 species, but also displayed a decrease in one of the ACE2 fragments when compared with controls, suggesting that the recovery in full-length ACE2 may be mediated by thiopurine modulation of ACE2 proteolytic processing.
Biological therapy has transformed the management of IBD patients. Treatment with anti-TNFα adalimumab showed recovery in full-length ACE2 species, but patients treated with anti-TNFα infliximab still displayed a decrease in full-length species, and also showed decreases in cleaved fragments. Patients treated with ustekinumab still displayed a decrease in full-length species, accompanied by a decrease also in one of the cleaved fragments. It is important to note that patients treated with infliximab showed the highest levels of CRP and leukocytes, therefore the difference in ACE2 levels when compared with adalimumab could be due to the patients and not to the use of different anti-TNFα biologic agents. Overall, our interpretation about apparent divergent outcomes is hindered by the lack of data at baseline from the different patients under different therapies. It is plausible that the basal affectation of ACE2 patients treated with biological treatments was more pronounced than that in those treated with azathioprine. Whether patients treated with adalimumab noticed minor basal ACE2 downregulation, or if there is a more efficient restoration of its expression should be clarified, but modulation of ACE2 processing is also presumed by biological therapy.
Regarding TMPRSS2, only patients treated with azathioprine or with ustekinumab showed partial recovery in the reduction of the TMPRSS2 prodomain fragment characterized in CD patients before treatment onset. Patients treated with adalimumab or infliximab still displayed decreased levels of the TMPRSS2 prodomain fragment compared with controls, where patients treated with infliximab showed the lowest levels, once again suggesting that basal levels may be different in the patients’ subgroups.
This study has several limitations, including the use of electrophoresis/western blotting, a technique with lower reproducibility than more quantitative analysis such as ELISA. Nonetheless, the method served to detect subtle changes in specific species, reflecting exact outcomes of processing. Moreover, we used quantitative fluorescent western blotting, a more sensitive technology than the more widely used chemiluminescent methods. However, this approach still has limitations. For example, limited numbers of samples can be analyzed at one time. Furthermore, the limited size of the cohort and the lack of inclusion of longitudinal samples from same patients prior and during therapy are also study limitations. Age, gender and many other factors, such as smoking, could potentially influence plasma ACE2 levels33,34,35. The small size of the subgroup can determine potential loss of statistical power when considered gender and smoking status. Effect of age was prevented due that CD and controls groups where composed by individuals with similar age and reduced age interval.
Furthermore, it is relevant to note, that renin-angiotensin-aldosterone system (RAAS) is vital for blood pressure homeostasis, and RAAS blockers may potentially upregulate ACE236,37; as well ACE2 is critical for renal homeostasis, but CD patients included in this study displayed normal blood pressure and no renal affectation. Common medication such as NSAIDs can also influence ACE2 levels38, although this has been refuted39. Anyhow, transcriptomic datasets indicates that chronic use of multiple medications may result in an additive increase in the expression of ACE2 and TMPRSS240. Steroids may also influence ACE241. Anyhow, no concomitant medication or steroids were used in treated CD patients and healthy controls were not taken NSAIDS. Therefore, described altered plasma levels of ACE2 and TMPRSS2 should be attribute to the CD condition.
In conclusion, although IBD patients treated with immune-suppressing therapies may be more exposed to infections, decreased circulating levels of ACE2 and TMPRSS2 species do not seem to be associated with increased risk for SARS-CoV2 through these key proteins for coronavirus cell entry process. Further studies addressing which species of ACE2 and TMPRSS2 could be altered in plasma from IBD patients infected by SARS-CoV2 can improve our knowledge about the role of these proteins in virus infectivity and whether this condition confers high susceptibility to SARS-CoV-2 cell infectivity.
Methods
Patients and plasma samples
Patients were diagnosed according to standard clinical, endoscopic, histological and radiographical criteria42. Clinical, analytical and demographic features of patients at inclusion were collected (see Table 1). Patients included in the study displayed normal blood pressure, heart rate and no renal affectation. Exclusion criteria were active disease, defined as disease activity index (CDAI) > 150 and presence of clinical symptoms of relapse, the use of antibiotics in the previous 4 weeks, signs of active infection and refusal to sign informed consent to participate in the study. Patients on steroids were also excluded.
All included patients were provided with diaries to record their symptoms a week prior to inclusion in the study. CD activity was evaluated by clinical scales (Montreal Classification A, CDAI) and endoscopic scales (Montreal Classification L).
Peripheral blood samples from all patients and controls were collected at inclusion in EDTA tubes. Plasma was separated from whole blood by centrifugation at 3000×g for 15 min at 4 °C, then aliquoted and frozen at -80 °C until use.
All included patients and controls signed an informed consent to participate in the study and the Ethics Committee of Hospital General Universitario Dr Balmis de Alicante approved the study protocol. All the experiments were performed in accordance with relevant guidelines and regulations.
Determination of ACE2 and TMPRSS2 in plasma samples by quantitative fluorescent western blotting
ACE2 and TMPRSS2 species were detected by fluorescent-based imaging after sodium dodecyl sulphate-polyacrylamide gel electrophoresis (SDS-PAGE) and western blotting. This technique provides a wider linear dynamic range than chemiluminescent detection43 including a greater upper linear range of detection44. Plasma samples (0.4 µL loaded) were heated in reducing Laemmli SDS sample buffer (Thermo ScientificTM) for 5 min at 100 °C, and were then resolved on 7.5% for ACE2, and 12% for TMPRSS2, SDS-PAGE gels (Mini-PROTEAN® TGX™ Precast Gels; Bio-Rad) and transferred to 0.2 μm nitrocellulose membranes (Bio-Rad). Then, the membrane was blocked with Odyssey Blocking Buffer (PBS) and incubated for the 805 amino acids protein ACE2 with the antibodies raised against the ectodomain (amino acid residues 18–740) AF933 (R&D Systems; polyclonal goat, 1:200 dilution) or alternatively with the anti-C-terminus (immunogen: synthetic peptide corresponding to amino acid residues 788–805) antibody ab15348 (Abcam; rabbit polyclonal; 1:500 dilution). TMPRSS2, a 492 amino acids protein, was resolved with the 14437-1-AP antibody raised against a recombinant protein containing the 108–492 amino acids (Proteintech; rabbit polyclonal; 1:1000 dilution), the anti-C-terminus antibody H00007113 raised against a recombinant protein containing the 383–492 amino acids (Abnova; mouse monoclonal; 1:500 dilution) or the anti-N-terminus antibody OAAB04388 raised against a synthetic peptide between the 1–30 amino acids (Aviva Systems Biology; rabbit polyclonal; 1:1000 dilution). Finally, blots were washed and incubated with the appropriate conjugated secondary antibodies (IRDye 800CW donkey anti-goat, IRDye 800CW goat anti-mouse, IRDye 680RD goat anti-mouse and IRDye 680RD goat anti-rabbit, LI-COR Biosciences) and imaged on an Odyssey Clx Infrared Imaging System (LI-COR Biosciences). For quantitative analysis of ACE2 all blots were resolved with the AF933 antibody, which resolves all species, whilst the ab15348 antibody was used to define the truncated C-terminal fragments. To estimate the relative ratio of ACE2 species for each sample, the immunoreactivity was considered for each of the bands (see “Results” section). For quantitative analysis of ACE2 all blots were resolved with the AF933 antibody, and TMPRSS2 with 14437-1-AP antibody. An aliquot of the same control plasma sample was resolved in all the blots used to normalize the immunoreactive signal between blots. All samples were analysed at least in duplicate in independent blots. Band intensities were analysed using LI-COR software (Image Studio Lite).
Statistical analysis
All data were analysed using SigmaStat (Version 3.5; SPSS Inc.). The Kolmogorov-Smirnov test was used to analyse the distribution of each variable. ANOVA was used for parametric variables and the ANOVA on Ranks test for non-parametric variables for comparison between groups. A Student’s t-test for parametric variables and a Mann-Whitney U test for non-parametric variables were employed for comparison between two groups, and for determining P values. For correlations, Spearman’s rank correlation test was used and significant correlation coefficient, ρ, are indicated. The results are presented as mean ± SEM.
Data availability
Data is available upon reasonable request to the corresponding authors.
References
da Silva Júnior, R. T. et al. Crohn’s disease and clinical management today: How it does? World J. Methodol. 13, 399–413 (2023).
Jackson, C. B., Farzan, M., Chen, B. & Choe, H. Mechanisms of SARS-CoV-2 entry into cells. Nat. Rev. Mol. Cell. Biol. 23, 3–20 (2022).
Nowak, J. K. et al. Age, inflammation, and Disease Location are critical determinants of intestinal expression of SARS-CoV-2 receptor ACE2 and TMPRSS2 in inflammatory bowel disease. Gastroenterology 159, 1151–1154e2 (2020).
An, X. et al. SARS-CoV-2 host receptor ACE2 protein expression Atlas in Human gastrointestinal tract. Front. Cell. Dev. Biol. 9, 659809 (2021).
Suárez-Fariñas, M. et al. Intestinal inflammation modulates the expression of ACE2 and TMPRSS2 and potentially overlaps with the pathogenesis of SARS-CoV-2-related disease. Gastroenterology 160, 287–301e20 (2021).
Lambert, D. W. et al. Tumor necrosis factor-alpha convertase (ADAM17) mediates regulated ectodomain shedding of the severe-acute respiratory syndrome-coronavirus (SARS-CoV) receptor, angiotensin-converting enzyme-2 (ACE2). J. Biol. Chem. 280, 30113–30119 (2005).
Afar, D. E. et al. Catalytic cleavage of the androgen-regulated TMPRSS2 protease results in its secretion by prostate and prostate cancer epithelia. Cancer Res. 61, 1686–1692 (2001).
García-Ayllón, M. S. et al. Plasma ACE2 species are differentially altered in COVID-19 patients. FASEB J. Off Publ Fed. Am. Soc. Exp. Biol. 35, e21745 (2021).
Chen, Y. W. et al. TMPRSS2, a serine protease expressed in the prostate on the apical surface of luminal epithelial cells and released into semen in prostasomes, is misregulated in prostate cancer cells. Am. J. Pathol. 176, 2986–2996 (2010).
Lennol, M. P. et al. Transient changes in the plasma of Astrocytic and neuronal Injury biomarkers in COVID-19 patients without neurological syndromes. Int. J. Mol. Sci. 24, 2715 (2023).
Lennol, M. P., García-Ayllón, M. S., Esteban, M., García-Arriaza, J. & Sáez-Valero, J. Serum angiotensin-converting enzyme 2 as a potential biomarker for SARS-CoV-2 infection and vaccine efficacy. Front. Immunol. 13, 1001951 (2022).
Kassif Lerner, R. et al. The predictive value of serum ACE2 and TMPRSS2 concentrations in patients with COVID-19-A prospective pilot study. J. Pers. Med. 12, 622 (2022).
Lee, J. H. et al. Soluble ACE2 and TMPRSS2 levels in the serum of asthmatic patients. J. Korean Med. Sci. 37, e65 (2022).
Lee, C. Y. et al. Tumor necrosis factor-alpha exacerbates viral entry in SARS-CoV2-infected iPSC-derived cardiomyocytes. Int. J. Mol. Sci. 22, 9869 (2021).
Kandhaya-Pillai, R. et al. TNF-α/IFN-γ synergy amplifies senescence-associated inflammation and SARS-CoV-2 receptor expression via hyper-activated JAK/STAT1. Aging Cell. 21, e13646 (2022).
Stocker, N. et al. Regulation of angiotensin-converting enzyme 2 isoforms by type 2 inflammation and viral infection in human airway epithelium. Mucosal Immunol. 16, 5–16 (2023).
Potdar, A. A. et al. Altered intestinal ACE2 levels are associated with inflammation, severe disease, and response to anti-cytokine therapy in inflammatory bowel disease. Gastroenterology 160, 809–822e7 (2021).
Li, X. Z. et al. Down-regulation of Colonic ACE2 expression in patients with inflammatory bowel disease responding to Anti-TNF therapy: Implications for COVID-19. Front. Med. 7, 613475 (2020).
Verstockt, B. et al. Intestinal receptor of SARS-CoV-2 in Inflamed IBD tissue seems downregulated by HNF4A in Ileum and upregulated by Interferon regulating factors in Colon. J. Crohns Colitis. 15, 485–498 (2021).
Burgueño, J. F. et al. Expression of SARS-CoV-2 entry molecules ACE2 and TMPRSS2 in the gut of patients with IBD. Inflamm. Bowel Dis. 26, 797–808 (2020).
Ning, L. et al. Quantitative proteomic analysis reveals the deregulation of nicotinamide adenine dinucleotide metabolism and CD38 in Inflammatory bowel disease. BioMed Res. Int. 2019, 3950628 (2019).
Park, J. et al. Quantitative proteomic analysis of the expression of SARS-CoV-2 receptors in the gut of patients with chronic enterocolitis. Yonsei Med. J. 61, 891–894 (2020).
Garg, M. et al. Upregulation of circulating components of the alternative renin-angiotensin system in inflammatory bowel disease: A pilot study. J. Renin-Angiotensin-Aldosterone Syst. JRAAS. 16, 559–569 (2015).
Yu, W. et al. ACE2 contributes to the maintenance of mouse epithelial barrier function. Biochem. Biophys. Res. Commun. 533, 1276–1282 (2020).
Peña Silva, R. A. et al. Impact of ACE2 deficiency and oxidative stress on cerebrovascular function with aging. Stroke 43, 3358–3363 (2012).
Camargo, S. M. R., Vuille-Dit-Bille, R. N., Meier, C. F. & Verrey, F. ACE2 and gut amino acid transport. Clin. Sci. Lond. Engl. 1979. 134, 2823–2833 (2020).
Chen, Q. et al. P38 MAPK activated ADAM17 mediates ACE2 shedding and promotes cardiac remodeling and heart failure after myocardial infarction. Cell. Commun. Signal. CCS. 21, 73 (2023).
Zhang, Y. et al. Transmembrane serine protease TMPRSS2 implicated in SARS-CoV-2 infection is autoactivated intracellularly and requires N-glycosylation for regulation. J. Biol. Chem. 298, 102643 (2022).
García-Ayllón, M. S. et al. C-terminal fragments of the amyloid precursor protein in cerebrospinal fluid as potential biomarkers for Alzheimer disease. Sci. Rep. 7, 2477 (2017).
Keewan, E., Beg, S. & Naser, S. A. Anti-TNF-α agents modulate SARS-CoV-2 receptors and increase the risk of infection through Notch-1 signaling. Front. Immunol. 12, 641295 (2021).
Chande, N., Patton, P. H., Tsoulis, D. J., Thomas, B. S. & MacDonald, J. K. Azathioprine or 6-mercaptopurine for maintenance of remission in Crohn’s disease. Cochrane Database Syst. Rev. 2015, CD000067 (2015).
Rogler, G. & Sandborn, W. J. Is there still a role for thiopurines in Crohn’s disease? Gastroenterology 145, 714–716 (2013).
Cai, H. Sex difference and smoking predisposition in patients with COVID-19. Lancet Respir Med. 8, e20 (2020).
Heijink, I. H., Hackett, T. L. & Pouwels, S. D. Effects of cigarette smoking on SARS-CoV-2 receptor ACE2 expression in the respiratory epithelium†. J. Pathol. 253, 351–354 (2021).
Viveiros, A. et al. Sex- and age-specific regulation of ACE2: insights into severe COVID-19 susceptibility. J. Mol. Cell. Cardiol. 164, 13–16 (2022).
Gallo, G., Calvez, V. & Savoia, C. Hypertension and COVID-19: current evidence and perspectives. High. Blood Press. Cardiovasc. Prev. Off J. Ital. Soc. Hypertens. 29, 115–123 (2022).
Zheng, J. & Hao, H. Targeting renal damage: the ACE2/Ang-(1–7)/mas axis in chronic kidney disease. Cell. Signal. 124, 111413 (2024).
Valenzuela, R. et al. Interactions between ibuprofen, ACE2, renin-angiotensin system, and spike protein in the lung. Implications for COVID-19. Clin. Transl Med. 11, e371 (2021).
de Bruin, N. et al. Flurbiprofen, Etoricoxib or Paracetamol do not influence ACE2 expression and activity in vitro or in mice and do not exacerbate in-vitro SARS-CoV-2 infection. Int. J. Mol. Sci. 23, 1049 (2022). Ibuprofen.
Saheb Sharif-Askari, N. et al. Effect of common medications on the expression of SARS-CoV-2 entry receptors in liver tissue. Arch. Toxicol. 94, 4037–4041 (2020).
Cabbab, I. L. N. & Manalo, R. V. M. Anti-inflammatory drugs and the renin-angiotensin-aldosterone system: current knowledge and potential effects on early SARS-CoV-2 infection. Virus Res. 291, 198190 (2021).
Sands, B. E. From symptom to diagnosis: clinical distinctions among various forms of intestinal inflammation. Gastroenterology 126, 1518–1532 (2004).
Mathews, S. T., Plaisance, E. P. & Kim, T. Imaging systems for westerns: chemiluminescence vs. infrared detection. Methods Mol. Biol. Clifton NJ. 536, 499–513 (2009).
Gingrich, J. C., Davis, D. R. & Nguyen, Q. Multiplex detection and quantitation of proteins on western blots using fluorescent probes. BioTechniques 29, 636–642 (2000).
Acknowledgements
This study was granted by the Fondo de Investigaciones Sanitarias (PI22-01329, co-funded by the Fondo Europeo de Desarrollo Regional, FEDER “Investing in your future”), CIBERNED (Instituto de Salud Carlos III, Spain), ISABIAL (Instituto de Investigación Sanitaria y Biomédica de Alicante), and from the Direcció General de Ciència i Investigació, Generalitat Valenciana (AICO/2021/308) and Conselleria d’Innovació, Universitats, Ciència i Societat Digital (INVEST-2023-157, co-funded by the Fondo Europeo de Desarrollo Regional, FEDER “Investing in your future”), Generalitat Valenciana. The thanks Sergio Fuster and Carmen Marquez for technical assistance.
Author information
Authors and Affiliations
Contributions
JSL, MPL and CAG performed the experimental work. MSG, MPL, JSV and JSL performed the statistical analysis and development of figures. AG and RF provided samples. Rf and JSV were responsible for conceptualization, manuscript development and supervision. All authors reviewed the manuscript.
Corresponding authors
Ethics declarations
Competing interests
The authors declare no competing interests.
Additional information
Publisher’s note
Springer Nature remains neutral with regard to jurisdictional claims in published maps and institutional affiliations.
Electronic supplementary material
Below is the link to the electronic supplementary material.
Rights and permissions
Open Access This article is licensed under a Creative Commons Attribution-NonCommercial-NoDerivatives 4.0 International License, which permits any non-commercial use, sharing, distribution and reproduction in any medium or format, as long as you give appropriate credit to the original author(s) and the source, provide a link to the Creative Commons licence, and indicate if you modified the licensed material. You do not have permission under this licence to share adapted material derived from this article or parts of it. The images or other third party material in this article are included in the article’s Creative Commons licence, unless indicated otherwise in a credit line to the material. If material is not included in the article’s Creative Commons licence and your intended use is not permitted by statutory regulation or exceeds the permitted use, you will need to obtain permission directly from the copyright holder. To view a copy of this licence, visit http://creativecommons.org/licenses/by-nc-nd/4.0/.
About this article
Cite this article
Sáez-Leyva, J., Lennol, M.P., Avilés-Granados, C. et al. Altered plasma levels of the SARS-CoV-2-related proteins ACE2 and TMPRSS2 in patients with Crohn’s disease. Sci Rep 14, 30346 (2024). https://doi.org/10.1038/s41598-024-81810-3
Received:
Accepted:
Published:
Version of record:
DOI: https://doi.org/10.1038/s41598-024-81810-3





