Fig. 4
From: Proposal for a quantum mechanical test of gravity at millimeter scale

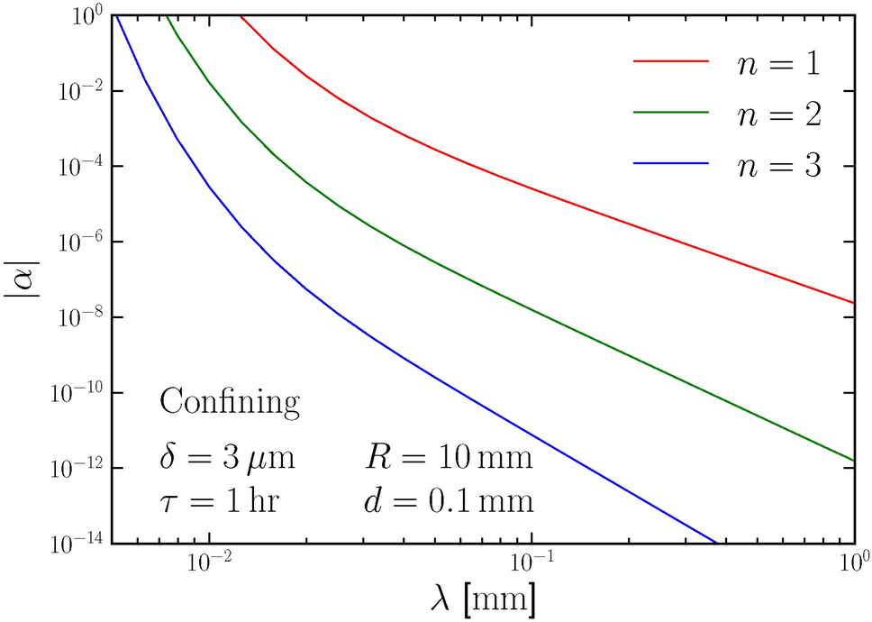
The projected sensitivity on the \(\alpha\) parameter of the confining-type gravitational force in our proposed setup. The solid lines with different colors correspond to different r scalings n.