Abstract
The experimental verification of the Newton law of gravity at small scales has been a longstanding challenge. Recently, torsion balance experiments have successfully measured gravitational force at the millimeter scale. However, testing gravity force on quantum mechanical wave function at small scales remains difficult. In this paper, we propose a novel experiment that utilizes the Josephson effect to detect the different evolution of quantum phase induced from the potential difference caused by gravity. We demonstrate that this experiment can test gravity quantum mechanically at the millimeter scale, and also has a potential to investigate the parity invariance of gravity at small scales.
Similar content being viewed by others
Introduction
Gravity is the most well-known and fundamental force in the nature. However, although the law of gravity has been extensively tested on large scales1,2,3,4,5,6,7,8,9, its validity on small scales has not been definitively established. Therefore, conducting experiments to test gravity across various scales is an imperative scientific pursuit. Additionally, gravity poses the most important open questions in modern physics such as its quantization. Experimentally, quantum mechanical test of gravity is very important since it might provide us with a next step towards understanding the quantum gravity. Furthermore, the test of the Newton law at scales from millimeter to micrometer is well-motivated in large extra-dimension theories10,11,12.
The most renowned table-top experiments for measuring the gravitational constant G, according to the Newton law, is the torsion balance. It has achieved a remarkable experimental precision of \(\Delta G/G \simeq\)10−52,3,4,5,6. The laser cooling atomic interferometer reaches almost the same accuracy7,13 with the help of quantum techniques. These tests have mainly used macroscopic masses with mass of kilogram and at the \(\mathcal {O} (10\,\)cm) scale and beyond. However, the Newton law of the gravity had not been tested below the centimeter scale. It is quite recent that the Newton law and the equivalence principle (EP) were tested at the millimeter scale by the torsion balance experiment14. An ultrafast photography system is also proposed to monitor the movement of objects under millimeter-scale gravity15. Below such a scale, even the presence of gravity is not certain. Thus, it is crucial to test the gravity at the scale as small as possible. On the other hand, the quantum mechanical test of gravity, mainly based on the cold neutron experiments16,17,18,19,20,21,22, are all reliant on the large-scale gravitational force from the Earth.
Another long-standing challenge is to detect directly the small-scale gravitational force on electrons since the electron mass is tiny compared to those of nucleons, the verification of the equivalence principle for the electron can only be inferred indirectly from torsion balance experiments23.
In this article, we propose the first quantum mechanical test of the \(\mathcal {O}\)(mm) scale gravity by using the superconducting Josephson junctions (The interplay between gravity and superconductivity is investigated in24,25,26,27,28. In particular, the effects on the JJ from the earth gravity are discussed in24.). With a gravitational source nearby the junction, the Cooper pairs inside the different sides of junction feels different gravitational potential. As a result, their phases have a different evolution, leading to a distinct current signal generated by small-scale gravity (see29 for the detailed discussion). It is remarkable that our experiments can test the Newton law of the gravitational force acting on the pair of electrons (Cooper pair)23. We have recently pointed out29 that our experimental setup has a potential to test a fifth force acting on the Cooper pair. In the final section, we discuss a test of the parity conservation of gravity at small scales30 in the present proposed experimental setup.
Josephson effect in gravitational potential
A Josephson junction (JJ) is made of two separated superconductors and an insulator with its width \(\epsilon\) in between. When temperature of superconductor drops below a critical point, the electron inside form Cooper pair condensation, entering a coherent state with a large number of particles. This coherent state can be described by an order parameter, \(\Psi = \sqrt{n} e^{i \phi }\)31 with n as the Cooper pair number density. As long as the insulator width is smaller than the coherence length of superconductor, the Cooper pairs on both sides maintain mutual coupling. Generally, the coherence length is of the nanometer scale, and the width of an insulator is typically \(\epsilon = 1\,\)nm. Josephson current happens if the Cooper pairs of different sides have different quantum phases, which can be used to test gravity and new physics29.
The experimental setup for testing gravity via a Josephson junction. A tungsten cylinder with diameter and height 2R serves as a gravitational source and a JJ is put nearby. The distance from the midpoint of superconductor 1 inside JJ and the cylinder surface is d. The average distance between two superconductors is \(\delta\), which is equal to the size of the superconductor in the limit of a very thin insulator.
The experimental setup is depicted in Fig. 1. The coherent states of Cooper pair in superconductor 1 and superconductor 2 are denoted as \(|\Psi _1\rangle\) and \(|\Psi _2\rangle\), separately. Their macroscopic wave functions,
follow the Schrodinger equation. The number density n is almost a constant inside superconductor and the phase evolves with time as \(i \phi \sim i H t\). With a gravitational source placed at a distance of d on one side of JJ, the spatial symmetry of the entire configuration is disrupted. As a result, the Cooper-pair state inside different superconductors feels different gravitational potentials, and thus have different phases after a period of evolution. To maximum the effect of the gravitational potential, the source should be made of high density material, such as tungsten with a density \(\rho = 19.5\,{\hbox {g/cm}}^3\). Its shape is a cylinder (Compared to a typical spherical gravitational source, the mass element on the surface of a cylinder is closer to the target, resulting in a larger gravitational potential.) with both diameter and height equal to 2R.
At the beginning, we connect the JJ to a circuit loop to consume its initial phase difference to \(\Delta \phi = 0\)29. Then, we disconnect the circuit and introduce the gravitational source by moving the cylinder to nearby the JJ. After a time period \(\tau\), the source induces the two gravitational phases as,
with the integration of the volume in cylindrical coordinate system. The phase difference becomes, \(\Delta \phi (\tau ) \equiv \phi _1 (\tau ) - \phi _2 (\tau )\). The separation of the two superconductor \(\delta\) is the distance between the midpoints of two superconductors and d is the distance between midpoint of superconductor 1 and the surfance of cylinder (In principle, Cooper pairs at different positions within the same superconductor undergo independent phase evolutions. However, in a coherent state, all particles have the same phase, which is ensured by a small variation in the number density, as the gradient of the phase implies the generation of a current. Therefore, the phase of the coherent state should be an average of the phases of particles at different positions, effectively representing the phase at the midpoint of the superconductor.). The superconductor size a is much larger than the insulator width \(\epsilon\). In such a case, the separation \(\delta\) is roughly the side length a of superconductor. The \(m^* = 2 m_e\) is the mass of a Cooper pair since the gravity directly acts on the wave function of a Cooper pair (Although it is very close to \(2 m_e\), the exact value of Cooper pair mass is still uncertain. Our proposal would also provide a new way to measure the gravitational mass of Cooper pairs.).
The effect of the insulator in the middle can be modeled as a constant barrier potential V higher than the kinetic energy E of cooper pairs. In this region, the wave functions can be parameterized as32,
with \(\xi = \sqrt{1/ 4 m_e (V - E)}\). To match the boundary conditions Eq. (1),the coefficients should be,
The phase difference between the boundaries gives rise to a phenomenon known as the Josephson effect33, wherein a quantum tunneling current is generated. The current density is generally a gauge invariant form, \(J = - (2 e/m_e) \textrm{Re} [\Psi ^* (i \nabla - e\textbf{A}) \Psi ]\). In the absence of extra voltage and magnetic field as explained in the next section, one can fix the gauge to \(\textbf{A} = 0\) without changing physics. The current is34,
The number density of Cooper pairs is related to the London penetration length \(\lambda _L\) of the superconductor material, as \(n = m_e / (e^2 \lambda _L^2)\)35. Typically, the penetration length can be taken as \(\lambda _L \simeq 50\,\)nm, resulting in \(n_1 = n_2 = n \simeq 1.22 \times 10^{22}{\hbox {cm}}^{-3}\) in a JJ.
We will reconnect the circuit at the time \(\tau\) and measure a gravity-induced current, which is proportional to the current density,
Here \(\Delta _s \sim\) meV is the superconductive energy gap and \(R_N \sim O(1)\,\Omega\) is the junction resistance in the normal state36. The critical current \(I_c\) of a JJ is typically of order mA. In the limit \(\Delta \phi \ll 1\), the current signal is simply \(I = I_c \cdot \Delta \phi\). Comparing this gravity induced current with the theoretically predicted value, one can test the Newton law of gravity.
To ensure the absence of an internal magnetic field, the dimensions of a superconductor a, or equivalently \(\delta\), should be longer than this London penetration length. We take \(\delta \simeq a = 3\,\mu\)m as a typical value. Notice that a larger separation \(\delta\) makes the phase difference larger and thus the signal larger.
The relationship between the predicted phase difference and the size of the gravitational source is shown in Fig. 2. For illustration, we take some typical operation time \(\tau = 1\,\)hour (day) ( In our setup, the JJ circuit is not connected until the measurement, and it functions as a freely evolving pure quantum system, where quantum tunneling does not consume energy. Therefore, its operation time \(\tau\) can be long theoretically37.) and distance \(d = 0.1 (1)\,\)mm. It can be intuitively inferred that the signal will be positively correlated with both the operational time \(\tau\) and the size of the gravitational source R, but negatively related to the distance d.
Backgrounds and projected sensitivity
In our proposed experiment, a JJ first evolves for a period of time under the gravitational potential to cause the phase difference \(\Delta \phi\), and its tunneling current is then measured. Now we will discuss possible backgrounds during the experimental process.
First, there are residual electromagnetic fields between neutral materials and in the surrounding space. The electromagnetic force between two macroscopic neutral objects, known as the Casimir force38, only acts on the surface of the objects and does not affect the phase of electrons inside a superconductor. Additionally, the electromagnetic shielding of the superconductor itself ensures that the Cooper pairs inside are in an environment where \(\textbf{E}= \textbf{B}=0\). The only consideration would be the external fields in the insulator region, such as the geomagnetic field. Therefore, the entire experimental setup should be placed inside an electromagnetic shielded container (see details in29).
Phase difference \(\Delta \phi\) induced by gravity potential from the massive cylinder with different radius R. The red (blue) line corresponds to a distance \(d = 0.1\,\)mm (\(1\,\)mm) while the dashed (solid) line corresponds to a experimental running time of one hour (day), respectively. The grey shaded region represents for the background caused by the quantum fluctuation. The horizontal green dashed line corresponds to the position where the signal is 100 times larger than the background.
Second, during the evolution, the phase of a coherent state has a quantum fluctuation due to the number phase uncertainty, \(\Delta N \Delta \phi \gtrsim \hbar\)39. Consequently, the precise measurement of the phase difference is limited due to such a phase uncertainty. For a cubic JJ with size \(a \simeq \delta = 3 \mu \,\)m, the total number of Cooper pairs is \(N = 3.05 \times 10^{11}\) with a corresponding number fluctuation of \(\Delta N \simeq \sqrt{N} \simeq 5.5 \times 10^{5}\). The best achievable accuracy for phase measurement in our experiment is then \(\Delta \phi \simeq 1.8 \times 10^{-6}\).
Finally, when we connect the circuit to do the measurement, there will be an unavoidable background thermal noise \(I_T \approx e k T/ \hbar \approx 10^{-7} (T/1 K)\,\)A40. In laboratory environments, it is possible to achieve a lower temperature of around \(T = 1\,\)mK, effectively reducing the thermal background to a value of \(I_T = 10^{-10}\,\)A. This current is smaller than that caused by quantum fluctuation.
Therefore, the primary background source in the experiment arises from quantum fluctuations caused by number phase uncertainty, which is shown as the grey shaded region in Fig. 2. Once the phase evolves beyond \(\Delta \phi \gtrsim 10^{-6}\), the gravitational signal can be identified from the background. For one day of operation, our proposed experiment can test the gravity at sub-millimeter scale. For a shorter running time \(\tau = 1\,\)hour, to reach the projected detection threshold, the cylinder size R should be over \(1\,\)mm. The project sensitivity is 0.01 once the signal is 100 times larger than the quantum fluctuation of the phase. A gravitational source with size of order \(\mathcal {O}(10)\,\)mm can generate signal which reaches such a sensitivity for one day of operation. It will be the first time that the quantum mechanical test of gravity can reach the millimeter scale.
Testing the deviation of Newton law
The Newton law of gravity has been well tested on scales larger than centimeters. On smaller scales, gravity may exhibit different radius-scaling behaviors or be dominated by other forces. Our experiments can also test other forms of gravitational potential. Usually, the deviation from the Newton law is described by an extra fifth force potential. It can be either a Yukawa-type potential that mediates the interaction of a massive mediator particle41,42,43,44,45,46,47,48,49, or a confining potential that exists only at small scales50,51, as,
The projected sensitivity on the \(\alpha\) parameter of the Yukawa-type fifth force in our proposed setup is shown as the red line by assuming the radius of cylinder \(R = 10\,\)mm, distance \(d = 0.1\,\)mm, and running time \(\tau = 1\,\)hour. The yellow shaded region represents for the existing constraint on \(\alpha\)41,42,43,44,45,46,47,48,49.
Mainstream gravitational detection experiments, such as torsion balance, have placed strong constraints on the Yukawa-type potential49, as indicated by the yellow region in the Fig. 3. The fifth-force potential can also generate extra phase differences of the JJ in our setup. Once the phase difference is larger than the sensitivity \(\Delta \phi = 1.8 \times 10^{-6}\), it can be detected. Assuming the parameters shown in Fig. 3, the projected constraint can be achieved as the red line. In a JJ, the fifth-force potential is directly acting on the electron, whose mass is around \(10^3\) times smaller than a nucleus or a neutral atom, leading to a suppression of the coupling. This is the reason why the projected sensitivity is weaker than the current constraints. Another well-motivated example is the fifth force mediated by \(B-L\) gauge boson, which can serve as a dark matter candidate29,52,53,54,55,56. The coupling strength \(\alpha\) is proportional only to the \(B-L\) charge of the test bodies and thus there is a potential between a neutral material and Cooper pairs. Without mass suppression, the constraint on the \(B-L\) fifth force in our setup can be stronger than the existing constraints as shown in out previous work29.
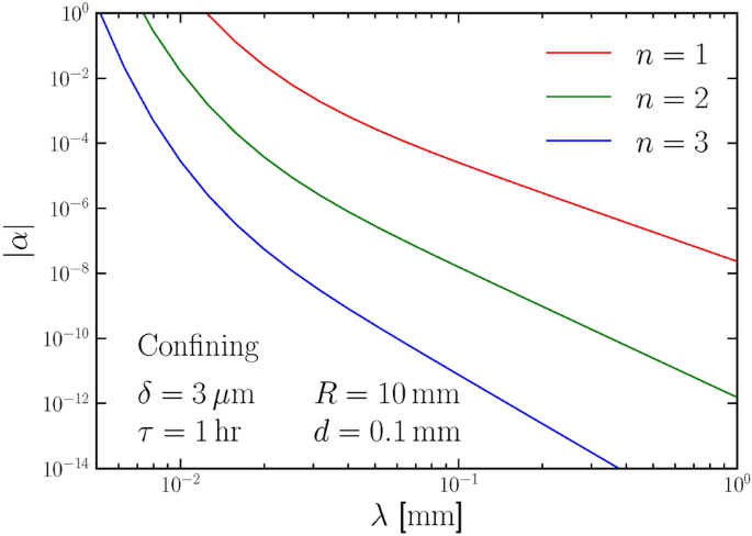
There is relatively little exploration in experiments regarding the confining potential of gravity. Based on the same mechanism, our setup can also give projected constraints for the confining potential shown as the solid lines in Fig. 4. Here, we take the r scaling of the potential to be \(n = 1, 2, 3\) as examples. At large scales, the law of gravity should revert to the Newton law, so these constraints will become very strong as lambda increases.
Conclusions and discussions
In this paper, we propose a new quantum mechanical test of gravity based on Josephson effects. By introducing a gravitational source on one side of a JJ, the wave functions of Cooper pairs in superconductor 1 and superconductor 2 feel different gravitational potentials. As a result, their phases of coherent states evolve independently, and the resulting phase difference generates a Josephson current which can be detected. After the analysis of possible backgrounds, we show that our proposal can test the gravity at millimeter scale. This will be the smallest scale achievable by quantum measurement of gravity. Besides, the experimental interplay between superconductivity and gravity provides a new way to probe the undetermined Cooper pair gravitational mass.
We have shown that the crucial limitation of present experimental setup is given by the quantum fluctuations of the phase \(\phi\). It might be very difficult to suppress them, since the size of superconductor is limited by the coherent length of the Cooper pairs inside. To enhance the signal to exceed the background more, we need a longer running time \(\tau\) such more than one day. Another possibility is to use multi-JJs to enhance the Josephson currents. The operation of multi-JJs might be technically difficult, but we hope it is possible in future.
The experimental setup for testing parity invariance of small scale gravity using two Josephson junctions and a gravitational source with a chiral configuration. Cylinder 1 is placed at at the midpoint of the line connecting of the two JJs along the y axis, while Cylinders 2 and 3 are placed above and in front of Cylinder 1 along the z and x axes respectively. Besides, Cylinder 2 and 3 should be made of different materials with different weights.
We would point out that our experimental setup can provide us with a test of parity invariance (Parity violation in gravity has been extensively studied in the literature30,57,58 and may help explain P violation in chiral molecules and biological homochirality59,60. The P-odd gravitational effects are tested through birefringence in gravitational wave propagation at large scales57,58.) of the small scale gravity. Usually, the parity violation of gravitational interaction is parametrized as a spin-dependent Hamiltonian, which can be tested via chiral material in torsion balance61,62 (Similarly, the cylinder gravity source can be made of chiral material in our setup to test such a Hamiltonian.). Interestingly, our proposed experimental setup has a distinct advantage in detecting parity violation caused by the gravitational source with a chiral configuration, which means that, the shape of gravitational source does not satisfy the invariance under \(\pi\)-rotation. The Fig. 5 gives an example. We place Cylinder 1 at the origin of the coordinate axes, while Cylinder 2 and 3 made of different materials with different densities are placed along the x and z-axis directions, respectively. At equidistant positions on both sides of this setup along the y-axis, there are two JJs measuring the gravitational signal. This setup does not have a symmetry with a \(\pi\)-rotation around the \(x-\,\)and z-axis. In other words, the gravitational source has different chiralities for the two different JJs. If the signals are different, it indicates a parity violation in gravity.
Data availibility
All data generated or analysed during this study are included in this article.
References
Touboul, P., MICROSCOPE Collaboration et al. MICROSCOPE mission: Final results of the test of the equivalence principle. Phys. Rev. Lett. 129(12), 121102. https://doi.org/10.1103/PhysRevLett.129.121102 (2022) (arXiv:2209.15487).
Schlamminger, S., Choi, K. Y., Wagner, T. A., Gundlach, J. H. & Adelberger, E. G. Test of the equivalence principle using a rotating torsion balance. Phys. Rev. Lett. 100, 041101. https://doi.org/10.1103/PhysRevLett.100.041101 (2008) arXiv:0712.0607.
Parks, H. V. & Faller, J. E. Simple pendulum determination of the gravitational constant. Phys. Rev. Lett. 105, 110801. https://doi.org/10.1103/PhysRevLett.105.110801 (2010) (Erratum: Phys.Rev.Lett. 122, 199901 (2019)).
Wagner, T. A., Schlamminger, S., Gundlach, J. H. & Adelberger, E. G. Torsion-balance tests of the weak equivalence principle. Class. Quant. Grav. 29, 184002. https://doi.org/10.1088/0264-9381/29/18/184002 (2012) [arXiv:1207.2442] [gr-qc].
Li, Q. et al. Measurements of the gravitational constant using two independent methods. Nature 560(7720), 582–588 (2018).
Xue, C. et al. Precision measurement of the Newtonian gravitational constant. Natl. Sci. Rev. 7(12), 1803–1817. https://doi.org/10.1093/nsr/nwaa165 (2020).
Peters, A., Chung, K. & Chu, S. High-precision gravity measurements using atom-interferometry. Metrologia 38(1), 25. https://doi.org/10.1088/0026-1394/38/1/4 (2001).
Tino, G. M. Testing gravity with cold atom interferometry: Results and prospects. Quantum Sci. Technol. 6(2), 024014 (2021) arXiv:2009.01484 [gr-qc].
Williams, J. G., Turyshev, S. G. & Boggs, D. Lunar laser ranging tests of the equivalence principle. Class. Quant. Grav. 29, 184004. https://doi.org/10.1088/0264-9381/29/18/184004 (2012) arXiv:1203.2150.
Arkani-Hamed, N., Dimopoulos, S. & Dvali, G. R. The Hierarchy problem and new dimensions at a millimeter. Phys. Lett. B 429, 263–272. https://doi.org/10.1016/S0370-2693(98)00466-3 (1998) arXiv:hep-ph/9803315.
Antoniadis, I. A Possible new dimension at a few TeV. Phys. Lett. B 246, 377–384. https://doi.org/10.1016/0370-2693(90)90617-F (1990).
Montero, M., Vafa, C. & Valenzuela, I. The dark dimension and the Swampland. JHEP 02, 022. https://doi.org/10.1007/JHEP02(2023)022 (2023) [arXiv:2205.12293] [hep-th].
Rosi, G., Sorrentino, F., Cacciapuoti, L., Prevedelli, M. & Tino, G. M. Precision measurement of the Newtonian gravitational constant using cold atoms. Nature 510, 518. https://doi.org/10.1038/nature13433 (2014) [arXiv:1412.7954] [physics.atom-ph].
Westphal, T., Hepach, H., Pfaff, J. & Aspelmeyer, M. Measurement of gravitational coupling between millimetre-sized masses. Nature 591(7849), 225–228. https://doi.org/10.1038/s41586-021-03250-7 (2021) [arXiv:2009.09546] [gr-qc].
Faizal, M. & Patel, H. Probing short distance gravity using temporal lensing. Int. J. Mod. Phys. A 36(17), 2150115. https://doi.org/10.1142/S0217751X21501153 (2021) [arXiv:2003.02924] [gr-qc].
Colella, R., Overhauser, A. W. & Werner, S. A. Observation of gravitationally induced quantum interference. Phys. Rev. Lett. 34, 1472–1474. https://doi.org/10.1103/PhysRevLett.34.1472 (1975).
Abele, H. & Leeb, H. Gravitation and quantum interference experiments with neutrons. New J. Phys. 14, 055010. https://doi.org/10.1088/1367-2630/14/5/055010 (2012) [arXiv:1207.2953] [hep-ph].
Nesvizhevsky, V. V. et al. Search for quantum states of the neutron in a gravitational field: Gravitational levels. Nucl. Instrum. Meth. A 440, 754–759. https://doi.org/10.1016/S0168-9002(99)01077-3 (2000).
Jenke, T. et al. Gravity resonance spectroscopy constrains dark energy and dark matter scenarios. Phys. Rev. Lett. 112, 151105. https://doi.org/10.1103/PhysRevLett.112.151105 (2014) [arXiv:1404.4099] [gr-qc].
Landry, A. & Paranjape, M. B. Gravitationally induced quantum transitions. Phys. Rev. D 93(12), 122006. https://doi.org/10.1103/PhysRevD.93.122006 (2016) [arXiv:1601.06132] [gr-qc].
Jenke, T., Geltenbort, P., Lemmel, H. & Abele, H. Realization of a gravity-resonance-spectroscopy technique. Nat. Phys. 7, 468–472. https://doi.org/10.1038/nphys1970 (2011).
Nesvizhevsky, V. V. et al. Quantum states of neutrons in the earth’s gravitational field. Nature 415(6869), 297–299 (2002).
Dartora, C. A. Do electrons obey the equivalence principle?. Phys. Lett. A 384(32), 126833. https://doi.org/10.1016/j.physleta.2020.126833 (2020).
Ummarino, G. A. & Gallerati, A. Josephson AC effect induced by weak gravitational field. Class. Quant. Grav. 37(21), 217001. https://doi.org/10.1088/1361-6382/abb57b (2020) [arXiv:2009.04967] [gr-qc].
DeWitt, B. S. Superconductors and gravitational drag. Phys. Rev. Lett. 16, 1092–1093. https://doi.org/10.1103/PhysRevLett.16.1092 (1966).
Modanese, G. Theoretical analysis of a reported weak gravitational shielding effect. EPL 35, 413–418. https://doi.org/10.1209/epl/i1996-00129-8 (1996) [arXiv:hep-th/9505094].
Ummarino, G. A. & Gallerati, A. Exploiting weak field gravity-Maxwell symmetry in superconductive fluctuations regime. Symmetry 11(11), 11. https://doi.org/10.3390/sym11111341 (2019) [arXiv:1910.13897] [gr-qc].
Ummarino, G. A. & Gallerati, A. Superconductor in a weak static gravitational field. Eur. Phys. J. C 77(8), 549. https://doi.org/10.1140/epjc/s10052-017-5116-y (2017) [arXiv:1710.01267] [gr-qc].
Cheng, Y. Sheng, J. & Yanagida, T. T. Detecting the Féeton Fifth Force by Superconducting Josephson Junctions. [arXiv:2402.14514 [hep-ph]].
Hari Dass, N. D. Test for C, P, and T nonconservation in gravitation. Lett. 36, 393–395. https://doi.org/10.1103/PhysRevLett.36.393Phys.Rev (1976).
Landau, L. D. & Ginzburg, V. L. On the theory of superconductivity. J. Exp. Theor. Phys.[SPACE]https://doi.org/10.1016/b978-0-08-010586-4.50078-x (1950).
Gross, R., Marx, A. & Deppe, F. Applied Superconductivity: Josephson Effect and Superconducting Electronics. De Gruyter Textbook Series. Walter De Gruyter Incorporated, (2016). https://books.google.com/books?id=4SIzrgEACAAJ.
Josephson, B. D. Possible new effects in superconductive tunnelling. Phys. Lett. 1, 251–253. https://doi.org/10.1016/0031-9163(62)91369-0 (1962).
Orlando, T. & Delin, K. Foundations of applied superconductivity. Phys. Today 44(6), 109 (1991).
London, F. & London, H. The electromagnetics equations of the supraconductor. Proc. R. Soc. Lond. A 149, 71–88. https://doi.org/10.1098/rspa.1935.0048 (1935).
Ambegaokar, V. & Baratoff, A. Tunneling between superconductors. Phys. Rev. Lett. 10, 486–489. https://doi.org/10.1103/PhysRevLett.10.486 (1963).
Hassani, F. et al. Inductively shunted transmons exhibit noise insensitive plasmon states and a fluxon decay exceeding 3 hours. Nature Commun. 14(1), 3968. https://doi.org/10.1038/s41467-023-39656-2 (2023).
Klimchitskaya, G. L. Mostepanenko, V. M. Casimir and van der Waals forces: Advances and problems. [arXiv:1507.02393 [quant-ph]].
Carruthers, P. & Nieto, M. M. Coherent states and the number-phase uncertainty relation. Phys. Rev. Lett. 14, 387–389. https://doi.org/10.1103/PhysRevLett.14.387 (1965).
Perez, A., Rovelli, C. & Christodoulou, M. Detecting Gravitationally Interacting Dark Matter with Quantum Interference. [arXiv:2309.08238 [gr-qc]].
Hoskins, J. K., Newman, R. D., Spero, R. & Schultz, J. Experimental tests of the gravitational inverse square law for mass separations from 2-cm to 105-cm. Phys. Rev. D 32, 3084–3095. https://doi.org/10.1103/PhysRevD.32.3084 (1985).
Chiaverini, J., Smullin, S. J., Geraci, A. A., Weld, D. M. & Kapitulnik, A. New experimental constraints on nonNewtonian forces below 100 microns. Phys. Rev. Lett. 90, 151101. https://doi.org/10.1103/PhysRevLett.90.151101 (2003) [arXiv:hep-ph/0209325].
Long, J. C. et al. Upper limits to submillimeter-range forces from extra space-time dimensions. Nature 421, 922–925. https://doi.org/10.1038/nature01432 (2003) [arXiv:hep-ph/0210004].
Hoyle, C. D. et al. Sub-millimeter tests of the gravitational inverse-square law. Phys. Rev. D 70, 042004. https://doi.org/10.1103/PhysRevD.70.042004 (2004) [arXiv:hep-ph/0405262].
Decca, R. S. et al. Constraining new forces in the Casimir regime using the isoelectronic technique. Phys. Rev. Lett. 94, 240401. https://doi.org/10.1103/PhysRevLett.94.240401 (2005) [arXiv:hep-ph/0502025].
Tu, L.-C., Guan, S.-G., Luo, J., Shao, C.-G. & Liu, L.-X. Null test of Newtonian inverse-square law at submillimeter range with a dual-modulation torsion pendulum. Phys. Rev. Lett. 98, 201101. https://doi.org/10.1103/PhysRevLett.98.201101 (2007).
Chen, Y. J. et al. Stronger limits on hypothetical Yukawa interactions in the 30–8000 nm range. Phys. Rev. Lett. 116(22), 221102 (2016) arXiv:1410.7267.
Perivolaropoulos, L. Submillimeter spatial oscillations of Newton’s constant: Theoretical models and laboratory tests. Phys. Rev. D 95(8), 084050. https://doi.org/10.1103/PhysRevD.95.084050 (2017) [arXiv:1611.07293] [gr-qc].
Tan, W.-H. et al. Improvement for testing the gravitational inverse-square law at the submillimeter range. Phys. Rev. Lett. 124(5), 051301. https://doi.org/10.1103/PhysRevLett.124.051301 (2020).
Heydari-Fard, M., Shirazi, M., Jalalzadeh, S. & Sepangi, H. R. Accelerating universe in brane gravity with a confining potential. Phys. Lett. B 640, 1–6. https://doi.org/10.1016/j.physletb.2006.07.020 (2006) [arXiv:gr-qc/0607067].
Heydari-Fard, M. & Sepangi, H. R. Anisotropic brane gravity with a confining potential. Phys. Lett. B 649, 1–11. https://doi.org/10.1016/j.physletb.2007.04.008 (2007) [arXiv:0704.1035] [gr-qc].
Choi, G., Yanagida, T. T. & Yokozaki, N. Feebly interacting \(U (1)_{B\rm - L}\) gauge boson warm dark matter and XENON1T anomaly. Phys. Lett. B 810, 135836. https://doi.org/10.1016/j.physletb.2020.135836 (2020) [arXiv:2007.04278] [hep-ph].
Okada, N., Okada, S., Raut, D. & Shafi, Q. Dark matter \(Z^\prime\) and XENON1T excess from \(U(1)_X\) extended standard model. Phys. Lett. B 810, 135785. https://doi.org/10.1016/j.physletb.2020.135785 (2020) [arXiv:2007.02898] [hep-ph].
Lin, W., Visinelli, L., Xu, D. & Yanagida, T. T. Neutrino astronomy as a probe of physics beyond the Standard Model: Decay of sub-MeV B-L gauge boson dark matter. Phys. Rev. D 106(7), 075011. https://doi.org/10.1103/PhysRevD.106.075011 (2022) [arXiv:2202.04496] [hep-ph].
Cheng, Y., Lin, W., Sheng, J. & Yanagida, T. T. Féeton (\(B-L\) Gauge Boson) dark matter for the 511-keV gamma-ray excess and the prediction of low-energy neutrino flux. [arXiv:2310.05420 [hep-ph]].
Cheng, Y., Sheng, J. & Yanagida, T. T. Féeton (\(B-L\)Gauge Boson) Dark Matter Testable in Future Direct Detection Experiments. [arXiv:2410.12554 [hep-ph]].
Jackiw, R. & Pi, S. Y. Chern-Simons modification of general relativity. Phys. Rev. D 68, 104012. https://doi.org/10.1103/PhysRevD.68.104012 (2003) [arXiv:gr-qc/0308071].
Alexander, S. & Yunes, N. Chern-Simons modified general relativity. Phys. Rept. 480, 1–55. https://doi.org/10.1016/j.physrep.2009.07.002 (2009) [arXiv:0907.2562] [hep-th].
Davankov, V. A. Biological homochirality on the earth, or in the universe? A selective review. Symmetry 10(12), 749 (2018).
Dorta-Urra, A. & Bargueño, P. Homochirality: A perspective from fundamental physics. Symmetry 11(5), 661 (2019).
Zhu, L. et al. Test of the equivalence principle with chiral masses using a rotating torsion pendulum. Phys. Rev. Lett. 121(26), 261101. https://doi.org/10.1103/PhysRevLett.121.261101 (2018).
Dorta-Urra, A. & Bargueño, P. Bounds on gravitational parity violation using a rotating torsion pendulum with chiral masses. Eur. Phys. J. C 81(7), 574. https://doi.org/10.1140/epjc/s10052-021-09392-2 (2021).
Acknowledgements
The authors thank Tie-Sheng Yang a lot for polishing the FIG.1. They also thank Satoshi Shirai for the discussions on the parity violation. Yu Cheng and Jie Sheng would like to thank Prof. Shigeki Matsumuto for his hospitality during their stay at Kavli IPMU where this paper was partially completed. They also thank Prof. Shao-Feng Ge for useful discussions. This work is supported by the National Natural Science Foundation of China (12175134, 12375101, 12090060, 12090064, and 12247141), JSPS Grant-in-Aid for Scientific Research Grants No. 24H02244, the SJTU Double First Class start-up fund No. WF220442604, and World Premier International Research Center Initiative (WPI Initiative), MEXT, Japan.
Author information
Authors and Affiliations
Corresponding author
Additional information
Publisher’s note
Springer Nature remains neutral with regard to jurisdictional claims in published maps and institutional affiliations.
Rights and permissions
Open Access This article is licensed under a Creative Commons Attribution 4.0 International License, which permits use, sharing, adaptation, distribution and reproduction in any medium or format, as long as you give appropriate credit to the original author(s) and the source, provide a link to the Creative Commons licence, and indicate if changes were made. The images or other third party material in this article are included in the article’s Creative Commons licence, unless indicated otherwise in a credit line to the material. If material is not included in the article’s Creative Commons licence and your intended use is not permitted by statutory regulation or exceeds the permitted use, you will need to obtain permission directly from the copyright holder. To view a copy of this licence, visit http://creativecommons.org/licenses/by/4.0/.
About this article
Cite this article
Cheng, Y., Lin, J., Sheng, J. et al. Proposal for a quantum mechanical test of gravity at millimeter scale. Sci Rep 14, 30985 (2024). https://doi.org/10.1038/s41598-024-82092-5
Received:
Accepted:
Published:
Version of record:
DOI: https://doi.org/10.1038/s41598-024-82092-5







