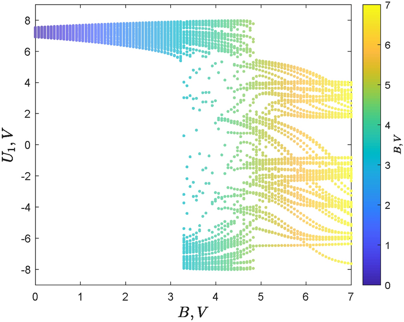
Fig. 6

Bifurcation diagram on the system output \(U_1\) as a function of the amplitude B of the high-frequency signal. Other parameters: \(A = 0.7 \,\textrm{V}\), \({\omega _{\textrm{L}}} = 50.0 \,\textrm{Hz}\), \(\varOmega _{\textrm{H}} = 2000.0 \,\textrm{Hz}\).