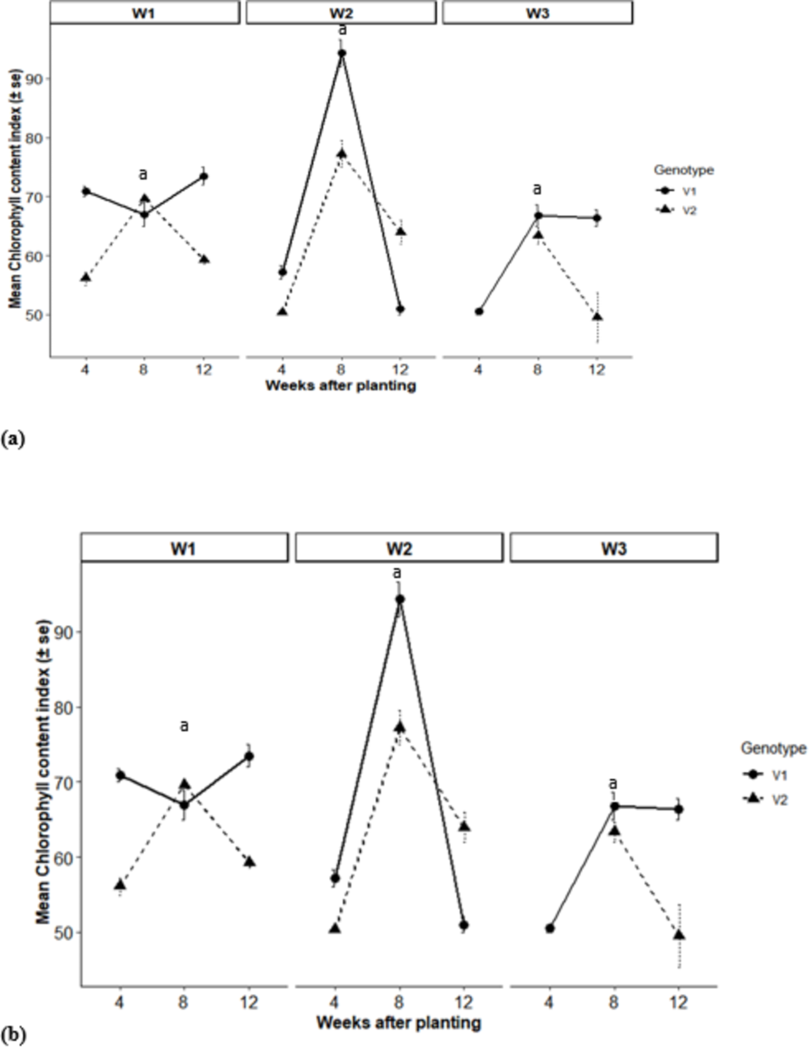
Fig. 7

Effect of water regimes and genotypes on chlorophyll content during the season (a) 2021/22 and (b) 2022/23, W1; well-watered; W2; moderate water stress; W3; severe water stress, V1; ENDURANCE and V2; LINE 2. Error bars represent standard errors of the means. The letters above the error bars indicate significant differences (P < 0.05).