Fig. 4
From: Estimating soil profile salinity under vegetation cover based on UAV multi-source remote sensing

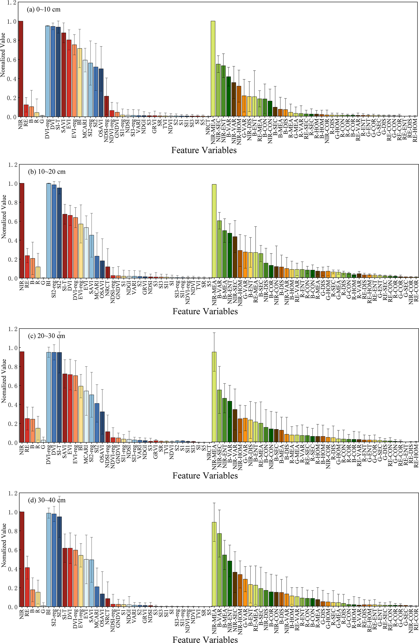
Contributions of feature variables of three data types for SSC variations under different depths.
From: Estimating soil profile salinity under vegetation cover based on UAV multi-source remote sensing

Contributions of feature variables of three data types for SSC variations under different depths.