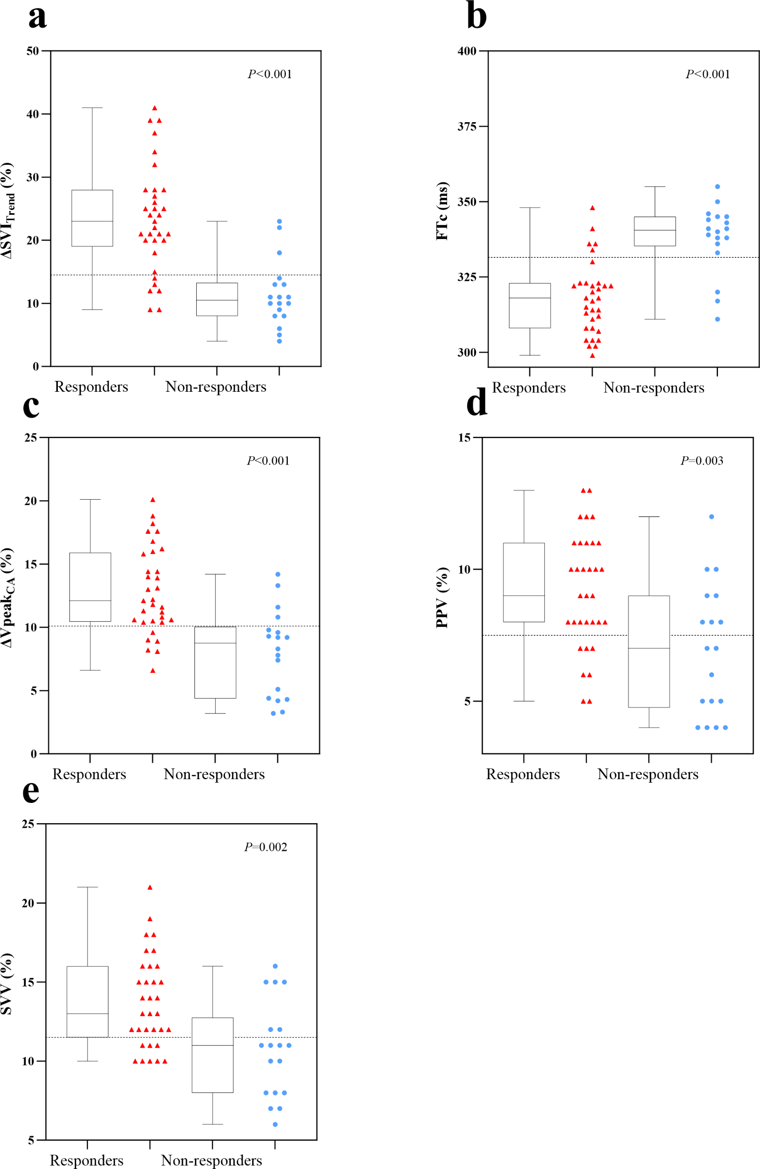
Fig. 3

Individual values from five parameters to detect fluid responsiveness in fluid responders and non-responders. Black dotted line displays optimal thresholds for each diagnostic test computed by ROC curve analysis. (a) ΔSVITrend, Stroke volume index variation induced by the Trendelenburg position; (b) FTcBaseline, baseline carotid artery corrected flow time; (c) ΔVpeakCA, respirophasic variation in carotid artery blood flow peak velocity; (d) PPV, pulse pressure variation; (e) SVV, stroke volume variation.