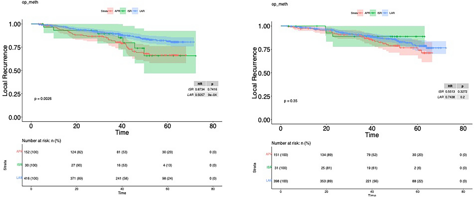
Fig. 2

Local recurrence rate according to surgical procedure in patients treated with standard CRT (left). Local recurrence rate of patients treated with intensified CRT (right). (APR: Abdominoperineal resection, ISR: Intersphincteric resection, LAR: Low anterior resection).