Abstract
Low anterior resection (LAR) and abdominoperineal resection (APR) are the two main surgical procedures after preoperative chemoradiotherapy (CRT) for locally advanced rectal cancer. APR is associated with poorer prognosis; however existing data do not consider intensified CRT (5-Fluorouracil (5-FU)/Oxaliplatin + radiation) protocols. Clinicopathological data of patients treated with APR and LAR from the CAO/ARO/AIO-04 trial were analysed in terms of prognostic parameters and quality of life (QoL). Based on higher response rate after intensified CRT, subgroup analyses were performed. Data from n = 1173 patients were assessed. APR after preoperative CRT was associated with a significantly worse overall survival (p = 0.0056), disease-free survival (p < 0.0001) and local recurrence rate (p = 0.0047). Clinicopathological data including clinical T stage (p < 0.000001), grading (p = 0.0038), postoperative lymph node (LN) positivity (p = 0.013), and number of positive LN (p = 0.0049) significantly differed between procedures and showed higher values in APR patients. The quality of total mesorectal excision (TME) was significantly better (p < 0.0001) and complete resection rates were higher (p = 0.0022) in LAR compared to APR patients. Subgroup analyses showed worse LR rates in APR patients after standard CRT (5-FU mono and radiation) but not after intensified CRT. After 3 years, role functioning (p = 0.019) and physical functioning (p = 0.001) had a slightly poorer outcome in APR patients. The poorer prognosis of patients undergoing APR for locally advanced rectal cancer may be explained by clinicopathological characteristics. Intensified CRT may compensate for the higher risk of LR after APR in patients with worse TME quality. QoL in APR patients was comparable to LAR patients.
Similar content being viewed by others
Introduction
Preoperative chemoradiotherapy (CRT)/short-course radiotherapy (SCRT) results in variable tumour response in rectal cancer and has enabled adaptation of surgical approaches ranging from extralevator abdominal excision over intersphincteric excision (ISE) to low anterior resection (LAR). Even watch-and-wait protocols are currently being evaluated for patients with a clinical complete response after CRT/SCRT with or without consolidation or induction chemotherapy. Abdominoperineal resection (APR) is a standard procedure1 for low-third rectal cancer involving the sphincter and has been associated with a worse prognosis compared to LAR2. This might be due to the low localization of the tumour combined with potential drainage along the inferior rectal artery, and/or due to the procedure itself or related clinicopathological parameters, as previously shown by den Dulk et al.3 In a pooled analysis, data from the Swedish Rectal Cancer Trial4, Dutch TME trial5, CAO/ARO/AIO-94 trial6, EORTC 22,921 trial7 and Polish Rectal Cancer Trial8 were compared and showed increased risk of circumferential resection margin (CRM) involvement with higher local recurrence (LR) rates and lower cancer specific survival (CSS) for patients treated with APR. However, these trials date back to the beginning of preoperative CRT/ SCRT in rectal cancer. As such, the Swedish Rectal Cancer Trial considered a resection margin of 5 cm below the tumour as essential and resulted in a higher rate of APR for tumours localized in the mid-rectum. In the current practice, a distance of 2 cm or even less between the tumour and aboral resection margin is recommended.
The CAO/ARO-AIO-04 trial9 compared standard CRT (5-FU-mono + 50.4 Gy radiation) versus intensified CRT (5-FU/Oxaliplatin-based + 50.4 Gy radiation), and showed pCR and disease free survival (DFS) benefits in favour of intensified treatment10. Here, we assessed the impact of surgical technique (APR vs. LAR) on clinical outcome and quality of life (QoL).
Methods
Between July 2006 and February 2010, n = 1.265 patients were recruited for the multicentre, two-arm randomized phase 3 trial (ClinicalTrials.gov, study registration number NCT00349076; first registration: 06/07/2006). The study was approved by local ethics committee of the University of Erlangen, Germany. All methods were carried out in accordance with relevant guidelines and registrations. Informed consent was obtained from all subjects and/or their legal guardians. The trial design and clinical outcomes have been published previously9,11. Follow-up was conducted according to the guidelines of the German Cancer Society. Outcome parameters (DFS and overall survival, OS) according to the type of surgery (LAR, ISR and APR) were assessed. Furthermore, histopathological and clinical parameters were compared between groups. QoL was recorded during the trial by using a questionnaire (EORTC QLQ-C30; latest information at: http://www.eortc.be/home/qol), including the colorectal cancer module QLQ-CR38. These data were processed in a manner comparable to the recent QoL analysis published by Kosmala et al.12 The five categories global health status (QL2), role functioning (RF2), social functioning (SF), physical functioning (PF2) and chemotherapy side effects (CT) were compared between patients with LAR and APR. Differenced in QoL data were considered as small (< 10), moderate (10–20) or large (> 20).
Statistical analysis
Statistical analysis was performed with the statistical computing software R version 4.2.1 (R Foundation for Statistical Computing, Vienna, Austria) using the R packages survival, RcolorBrewer, survminer, gridExtra, yaml, readxl and plotrix. Patient survival was calculated by Kaplan–Meier analysis using the function survfit, with significance assessed by means of a Cox proportional hazards model using the function coxph and the log rank test. Associations between categorical clinical variables were assessed using Fisher’s exact test, whereas the Wilcoxon test was used to evaluate associations between continuous and categorical variables. P < 0.05 was considered statistically significant. The QoL analysis was performed for patients without recurrence based on DFS. Methodologically, the analyses were based on the recent publication by Kosmala et al.12 As already outlined in her methods, the 5-year follow-up data are underrepresented due to the termination of follow-up as soon as the last patient was enrolled. Due to the explorative nature of the analysis, the p-values were not adjusted for multiple testing and are only descriptive.
Conference presentation
Part of the data have been presented at the “Deutsche Chirurgenkongress” 2022 in Leipzig.
Results
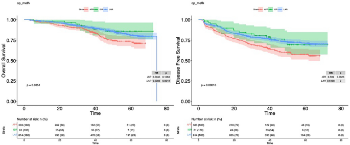
Data were available in n = 1173 patients treated within the CAO/ARO/AIO-04 trial. APR was performed in n = 303 patients, ISR in n = 61 and LAR in n = 809 patients. DFS and OS (Fig. 1) were significantly worse after APR than after LAR (p = 0.0002 and p = 0.0051, respectively). No difference was found between patients treated with LAR and ISR.
Overall survival of patients according to type of surgery(left). Disease-free survival of patients according to type of surgery (right). APR – Abdominoperineal resection, ISR – Intersphincteric resection, LAR – Low anterior resection.
To further address the prognostic difference between groups, clinical and histopathological data were compared (Table 1). Due to the oncological comparability of LAR and ISR, both groups were pooled and considered LAR*. No difference was found for pretherapeutic performance status (Eastern Cooperative Oncology Group, ECOG) or standard and intensified CRT between LAR* and APR. APR was significantly associated with a higher body mass index (BMI, 27.6 versus 26.8, p = 0.003) and was more common in patients with cT4 (p < 0.000001) and G3 tumours (p = 0.0038). Histopathological data after preoperative CRT and resection showed that APR patients had larger tumours based on clinical (cT) and histopathological (ypT) T category (p < 0.001 and p = 0.005), increased number of lymph node positivity (p = 0.013) as well as a lower number of resected lymph nodes (mean 15.3 vs. 16.9, p = 0.0049). The tumour regression grading (TRG) classified based on Dworak13 did not show significant differences between the APR and LAR* groups. In LAR* complete (R0) resection was more common after LAR* (p = 0.0022) as well as good TME quality (p < 0.0001). Survival data of all patients dependent on their TME quality is shown in Supplementary Fig. 1A-C. With respect to the surgical method, a prognostic role for TME quality in APR patients was not found (Supplementary Figures S2A). In LAR*patients, the TME quality remained significantly associated with LR (Supplementary Figure S2B).
Subgroup analysis between standard CRT (5-FU + radiation) and intensified CRT (5-FU/oxaliplatin + radiation)
A subgroup analysis comparing the two different types of preoperative CRT confirmed the significantly worse LR rate (p < 0.00001) for patients who received standard CRT; patients with ISR showed comparable results to those achieved with APR (Fig. 2). Conversely, we did not observe any significant differences in LR according to surgical technique after intensified CRT (Fig. 2); comparable results were also found for OS, DFS and distant recurrence (DR; Table 2).
Local recurrence rate according to surgical procedure in patients treated with standard CRT (left). Local recurrence rate of patients treated with intensified CRT (right). (APR: Abdominoperineal resection, ISR: Intersphincteric resection, LAR: Low anterior resection).
Overall, TME quality was significantly associated with the oncological parameters OS, DFS, LR and DM. While after standard CRT, TME quality was significantly associated with LR (Supplementary Figure S1B). in intensified CRT group no significant association to any oncological parameter was found (Supplementary Figure S1C, Supplementary Fig. 3A-B).
Quality of life comparison
Response rate for QoL questionnaires at baseline were 83% (n = 1025) as outlined by Kosmala et al.12. Patients with incomplete QoL data sets after grouping into APR and LAR* were excluded. In both groups baseline values for the functioning categories (role, social and physical) as well as for global health score decreased during treatment. Values for chemotherapeutic side effects showed worse outcome after baseline. Due to the time point “after treatment” that implicated the assessment after CRT, surgery and adjuvant therapy the decrease of the functioning scales and the increase for chemotherapy side effects is well explained. All values at least partially recovered over time.
Comparing categorized values between APR and LAR* revealed a significant difference for role function after a follow up of 36 months with lower values in the APR group (p = 0.019). Physical functioning was significantly worse at the end of treatment (p = 0.002) as well as after 12 (p = 0.006) and 36 months (p = 0.001) of follow-up. In the APR group, no relevant improvement was found after 12 months in these two scales. In terms of “chemotherapy side” effects the data differed significantly between both groups after postoperative chemotherapy (p = 0.047) and during follow-up after 12 months (p = 0.002), however the difference is rather small (< 5). The APR group again did not show an improvement between follow-up after 12 and 36 months (Table 3).
In the APR group, no relevant improvement was found after 12 months. In terms of “chemotherapy side” effects the data differed significantly between both groups after postoperative chemotherapy (p = 0.047) and during follow-up after 12 months (p = 0.002) (Table 3).
Discussion
In the present analysis, we examined the impact of surgical technique on the clinical outcomes and QoL on n = 1173 patients with rectal cancer treated within the randomized phase III CAO/ARO/AIO-04 trial comparing preoperative 5-FU-mono CRT (standard CRT) and 5-FU/Oxaliplatin-based CRT (intensified CRT). We found that APR was associated significantly with worse LR and distant metastasis rates than LAR. Interestingly, the prognosis of patients undergoing ISR was similar to that of those undergoing LAR. Although the number of ISR patients was rather low (n = 61), the results suggest that isolated tumour localization may not play a pivotal role in prognosis.
Our findings are in line with the pooled analysis from den Dulk et al.3, who reported a higher incidence of involved CRM and worse clinical outcomes after APR than after LAR.
Further analysis of the clinicopathological data showed that APR was significantly associated with a higher rate of cT4, G3 and ypN + tumours than LAR* (combination of LAR and ISR). All of these parameters have been reported to be associated with poorer prognosis14,15,16,17,18.
Based on the hypothesis that intensified CRT improved oncological outcomes, APR and LAR* were re-analysed based on the preoperative strategy. In patients treated with standard CRT, OS, DFS, DR and LR remained significantly different between APR and LAR. In contrast, after intensified CRT outcomes were comparable between APR and LAR patients. Similarly, TME quality, which is also known to be a prognostic factor19,20, was poorer in APR patients in our series. Analyzing the relevance of TME quality in each subgroup, oncological relevance was only found for LR in LAR* patients. This finding may potentially be affected by the difference of preoperative strategies with respect to the surgical method. However, a potential bias of poorer TME quality in APR patients affected by removal of the specimen rather than the surgical resection itself might also be of relevance.
However, the clinical trial was not powered to separate APR and LAR patients. Therefore, these results should be interpreted with caution and may be an effect of the smaller sample size in the group of APR patients. Nevertheless, it should be acknowledged that the relevance of TME quality as a prognostic marker may change under different therapies. Within the CAO/ARO/AIO-94 trial, Sprenger et al.21 observed the improved effect of preoperative CRT over primary surgery, and oncological outcomes in patients with medium TME quality were comparable to those of good TME quality. This result is different from those seen in patients who underwent primary surgery, who showed clear differences between medium and good TME quality. Together with the data from this trial (APR, ISR and LAR) showing that TME quality led to significant prognostic differences only in patients with standard CRT, these results might indicate that intensification of preoperative treatment compensates for poorer TME quality. Importantly, these data were retrieved from surgeries intended to achieve the highest TME quality, and high TME quality should remain a top priority of surgeons. Absence of significant correlations may also be attributed to smaller sample sizes in subgroups. It is important to acknowledge that resection status is still a relevant parameter, even after intensified CRT.
The importance of QoL is increasingly recognized in cancer therapy. A recent review by Lawday et al.22 summarized data comparing restorative versus nonrestorative resection in rectal cancer and did not find a significant difference in global QoL. For the global health score (QL2), our data are consistent with these findings. A relevant decrease was reported by Yucel et al. in patients treated with CRT. However, a rapid recovery after the end of treatment or CRT was also described23. Our dataset confirms these observations. Comparable results were reported by Couwenberg et al.24, who additionally described that the role, social and physical function scores as being those with the strongest decline after the start of therapy. These data are in line with our findings as well as the overall analysis of QoL in our CAO/ARO/AIO-04 trial by Kosmala et al.12 that failed to observe any significant difference between treatment arms in global QoL, albeit relevant decreases in role, physical and social function scores that did not fully recover after therapy were reported. A comparable QoL for sphincter preservation versus APR was reported by Konanz et al.25 However, they also identified a worse outcome of PF2 in patients after APR. This difference was suggested to be due to older patients in the APR group. This reason does not hold true in our dataset as patient age was comparable.
Accordingly, the reduced ability to perform basic and instrumental activities of daily living may be attributed to the type of surgery. These results might display the physical difference after two different resection techniques. As the results in the role function increase after time, it is unclear whether this is a true effect, just a result of a small sample size or impacted by increasing age of the patients.
We would like to acknowledge the limitations of the present study. The CAO/ARO/AIO-04 trial was not designed to analyse the difference between APR and LAR*, and this is an ad hoc analysis. Indeed, this is a subgroup analysis and therefore should be interpreted with a high degree of caution. Lack of significance may be explained by the small sample sizes.
Conclusion
Patients with locally advanced rectal cancer undergoing APR after preoperative CRT have poorer oncological outcomes than patients who undergo LAR*, which might be explained by the significantly advanced tumour stages of the patients receiving APR. Intensified preoperative treatment narrows outcome results of both groups. TME quality was not a prognostic factor in patients receiving intensified CRT in the CAO/ARO/AIO-04 trial. The completeness of resection (R0) remains a relevant parameter even after intensified CRT and should therefore be attempted to improve oncological outcomes. Although most QoL parameter do not differ between patients with APR and LAR.
Data availability
All included data is available from the corresponding author on reasonable request.
References
Hawkins, A. T. et al. Abdominoperineal resection for rectal cancer in the twenty-first century: Indications, techniques, and outcomes. J. Gastrointest. Surg. 22 (8), 1477–1487 (2018).
Wang, L. et al. Abdominoperineal excision following preoperative radiotherapy for rectal cancer: unfavorable prognosis even with negative circumferential resection margin. World J. Gastroenterol. 20 (27), 9138–9145 (2014).
den Dulk, M. et al. The abdominoperineal resection itself is associated with an adverse outcome: the European experience based on a pooled analysis of five European randomised clinical trials on rectal cancer. Eur. J. Cancer. 45 (7), 1175–1183 (2009).
Swedish Rectal Cancer Trial. Improved survival with preoperative radiotherapy in resectable rectal cancer. N Engl. J. Med. 336 (14), 980–987 (1997).
Kapiteijn, E. et al. Preoperative radiotherapy combined with total mesorectal excision for resectable rectal cancer. N Engl. J. Med. 345 (9), 638–646 (2001).
Sauer, R. et al. Preoperative versus postoperative chemoradiotherapy for rectal cancer. N Engl. J. Med. 351 (17), 1731–1740 (2004).
Bosset, J. F. et al. Chemotherapy with preoperative radiotherapy in rectal cancer. N Engl. J. Med. 355 (11), 1114–1123 (2006).
Bujko, K. et al. Sphincter preservation following preoperative radiotherapy for rectal cancer: report of a randomised trial comparing short-term radiotherapy vs. conventionally fractionated radiochemotherapy. Radiother Oncol. 72 (1), 15–24 (2004).
Rodel, C. et al. Oxaliplatin added to fluorouracil-based preoperative chemoradiotherapy and postoperative chemotherapy of locally advanced rectal cancer (the German CAO/ARO/AIO-04 study): Final results of the multicentre, open-label, randomised, phase 3 trial. Lancet Oncol. 16 (8), 979–989 (2015).
Fokas, E. et al. Tumor regression grading after preoperative chemoradiotherapy as a prognostic factor and individual-level surrogate for disease-free survival in rectal cancer. J. Natl. Cancer Inst. 109 (12), djx095 (2017).
Diefenhardt, M. et al. Leukocytosis and neutrophilia as independent prognostic immunological biomarkers for clinical outcome in the CAO/ARO/AIO-04 randomized phase 3 rectal cancer trial. Int. J. Cancer. 145 (8), 2282–2291 (2019).
Kosmala, R. et al. Quality of life in rectal cancer patients with or without oxaliplatin in the randomised CAO/ARO/AIO-04 phase 3 trial. Eur. J. Cancer. 144, 281–290 (2021).
Dworak, O., Keilholz, L. & Hoffmann, A. Pathological features of rectal cancer after preoperative radiochemotherapy. Int. J. Colorectal Dis. 12 (1), 19–23 (1997).
Liersch, T. et al. Lymph node status and TS gene expression are prognostic markers in stage II/III rectal cancer after neoadjuvant fluorouracil-based chemoradiotherapy. J. Clin. Oncol. 24 (25), 4062–4068 (2006).
Leibold, T. et al. Prognostic implications of the distribution of lymph node metastases in rectal cancer after neoadjuvant chemoradiotherapy. J. Clin. Oncol. 26 (13), 2106–2111 (2008).
Cho, E. et al. Poorer oncologic outcome of good responders to PCRT with remnant lymph nodes defies the oncologic paradox in patients with rectal cancer. Clin. Colorectal Cancer. 18 (2), e171–e178 (2019).
von den Grun, J. M. et al. Can clinicopathological parameters predict for lymph node metastases in ypT0-2 rectal carcinoma? Results of the CAO/ARO/AIO-94 and CAO/ARO/AIO-04 phase 3 trials. Radiother. Oncol. 128 (3), 557–563 (2018).
Compton, C. C. et al. Prognostic factors in colorectal cancer. College of American Pathologists Consensus Statement 1999. Arch. Pathol. Lab. Med. 124 (7), 979–994 (2000).
Kitz, J. et al. Association of plane of total mesorectal excision with prognosis of rectal cancer: Secondary analysis of the CAO/ARO/AIO-04 phase 3 randomized clinical trial. JAMA Surg. 153 (8), e181607 (2018).
Nagtegaal, I. D. et al. Macroscopic evaluation of rectal cancer resection specimen: clinical significance of the pathologist in quality control. J. Clin. Oncol. 20 (7), 1729–1734 (2002).
Sprenger, T. et al. The long-term influence of hospital and surgeon volume on local control and survival in the randomized German Rectal Cancer Trial CAO/ARO/AIO-94. Surg. Oncol. 35, 200–205 (2020).
Lawday, S. et al. Quality of life in restorative versus non-restorative resections for rectal cancer: Systematic review. BJS Open. 5 (6), zrab101 (2021).
Yucel, B. et al. The impact of radiotherapy on quality of life for cancer patients: A longitudinal study. Support Care Cancer. 22 (9), 2479–2487 (2014).
Couwenberg, A. M. et al. Effect of neoadjuvant therapy and rectal surgery on health-related quality of life in patients with rectal cancer during the first 2 years after diagnosis. Clin. Colorectal Cancer. 17 (3), e499–e512 (2018).
Konanz, J. et al. Quality of life of patients after low anterior, intersphincteric, and abdominoperineal resection for rectal cancer–A matched-pair analysis. Int. J. Colorectal Dis. 28 (5), 679–688 (2013).
Author information
Authors and Affiliations
Consortia
Contributions
J.G. and M.G. performed the main conception of the work, the interpretation of the data and drafted the manuscript.T.B. and M.S. performed all statistical analysis of the presented data.M.E., A.A., F.R. and M.B. contributed in acquisition and interpretation of the data, and critically revising the manuscript.R.K. contributed in interpretation of the QoL data and revised the manuscript critically for important intellectual content.M.G., WO.B., CT.G., R.G., P.P., RD.H., L.S., E.F., and C.R. were responsible for accurate data acquisition at their respective department. They contributed in data interpretation and revised the manuscript critically for important intellectual content.All authors reviewed the manuscript.
Corresponding author
Ethics declarations
Competing interests
The authors declare no competing interests.
Ethical approval
The study was approved by the local ethic committee.
Informed consent
All patients were enrolled with the understanding and appropriate informed consent. A signed informed consent from each patient is provided.
Additional information
Publisher’s note
Springer Nature remains neutral with regard to jurisdictional claims in published maps and institutional affiliations.
Electronic Supplementary Material
Below is the link to the electronic supplementary material.
Rights and permissions
Open Access This article is licensed under a Creative Commons Attribution-NonCommercial-NoDerivatives 4.0 International License, which permits any non-commercial use, sharing, distribution and reproduction in any medium or format, as long as you give appropriate credit to the original author(s) and the source, provide a link to the Creative Commons licence, and indicate if you modified the licensed material. You do not have permission under this licence to share adapted material derived from this article or parts of it. The images or other third party material in this article are included in the article’s Creative Commons licence, unless indicated otherwise in a credit line to the material. If material is not included in the article’s Creative Commons licence and your intended use is not permitted by statutory regulation or exceeds the permitted use, you will need to obtain permission directly from the copyright holder. To view a copy of this licence, visit http://creativecommons.org/licenses/by-nc-nd/4.0/.
About this article
Cite this article
Gaedcke, J., Sahrhage, M., Ebeling, M. et al. Prognosis and quality of life in patients with locally advanced rectal cancer after abdominoperineal resection in the CAO/ARO/AIO-04 randomized phase 3 trial. Sci Rep 15, 5401 (2025). https://doi.org/10.1038/s41598-024-83105-z
Received:
Accepted:
Published:
Version of record:
DOI: https://doi.org/10.1038/s41598-024-83105-z




