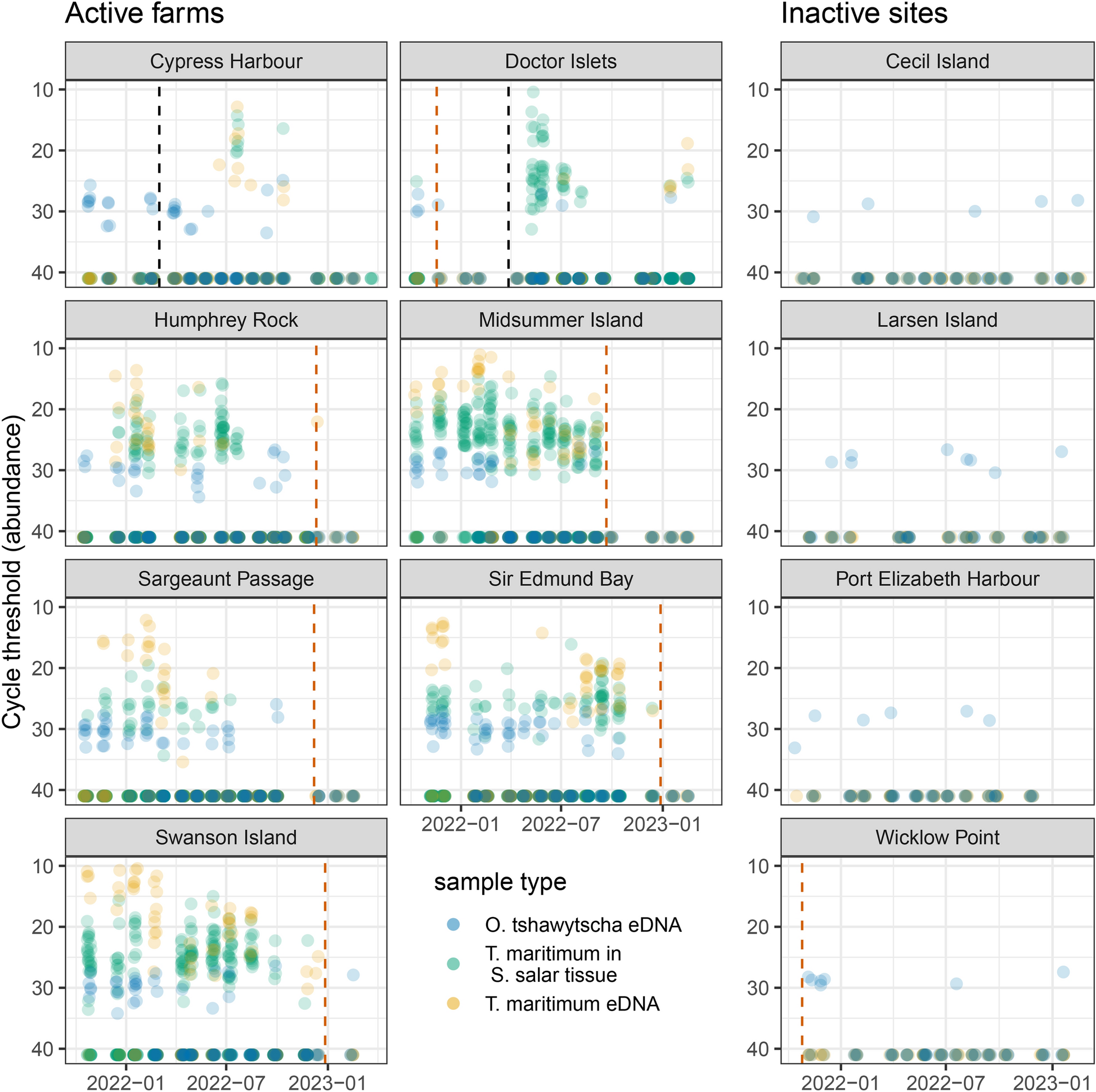
Fig. 2

Raw data from the Broughton Archipelago reveal that T. maritimum DNA (orange points) was more likely to be detected in water samples from active farms compared to inactive or fallow sites, T. maritimum was frequently detected in S. salar tissues (green points), and O. tshawytscha eDNA (blue points) was more likely to be detected in water samples from active farms and was commonly detected in the presence of T. maritimum. Points exceeding 40 (max Ct) indicate samples were collected but the target nucleic acid was not detected. Black vertical dashed lines indicate S. salar stocking dates and red vertical dashed lines indicate harvest dates (thus farms are fallow after red lines). Note that Cypress Harbour was a broodstock facility so that occasional, but never complete, harvest occurred and Doctor Islets was the only farm to be harvested and then restocked during the study period (fallow from November 2021 to March 2022).