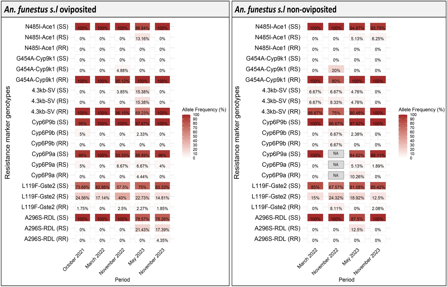
Fig. 6

Insecticide resistance marker prevalence across five time points from 2021 to 2023. Point prevalence of major insecticide resistance markers in An. funestus. The different genotypes are shown in brackets and represented as; SS for homozygous susceptible/wild type, RS for heterozygous and RR for homozygous resistant/mutant.