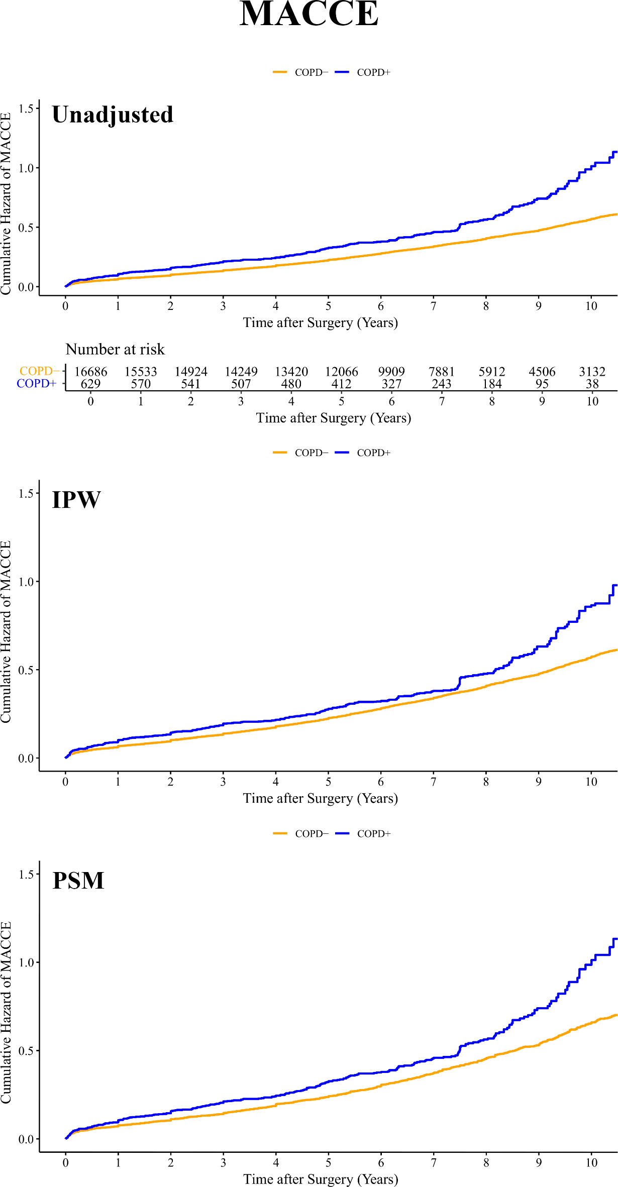
Fig. 3

Kaplan–Meyer curves showing the cumulative hazard of major adverse cardiac-cerebrovascular events (MACCE) in an unadjusted model and after IPW and PSM. The patients at risk are depicted in the table below the curves.

Kaplan–Meyer curves showing the cumulative hazard of major adverse cardiac-cerebrovascular events (MACCE) in an unadjusted model and after IPW and PSM. The patients at risk are depicted in the table below the curves.