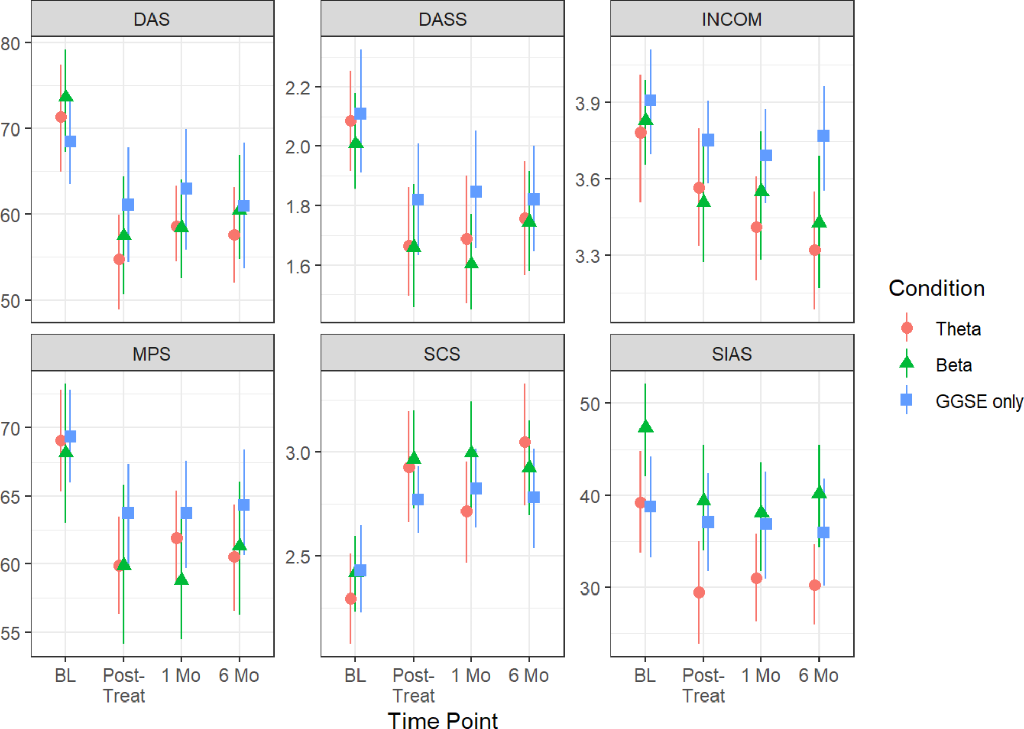
Fig. 2

Secondary outcome scales by group (Theta/Beta/GGSE only control) and assessment points: baseline (T0), post-treatment (T1), 1-month follow-up (T2), 6-month follow-up (T3). Error bars represent 95% confidence intervals.

Secondary outcome scales by group (Theta/Beta/GGSE only control) and assessment points: baseline (T0), post-treatment (T1), 1-month follow-up (T2), 6-month follow-up (T3). Error bars represent 95% confidence intervals.