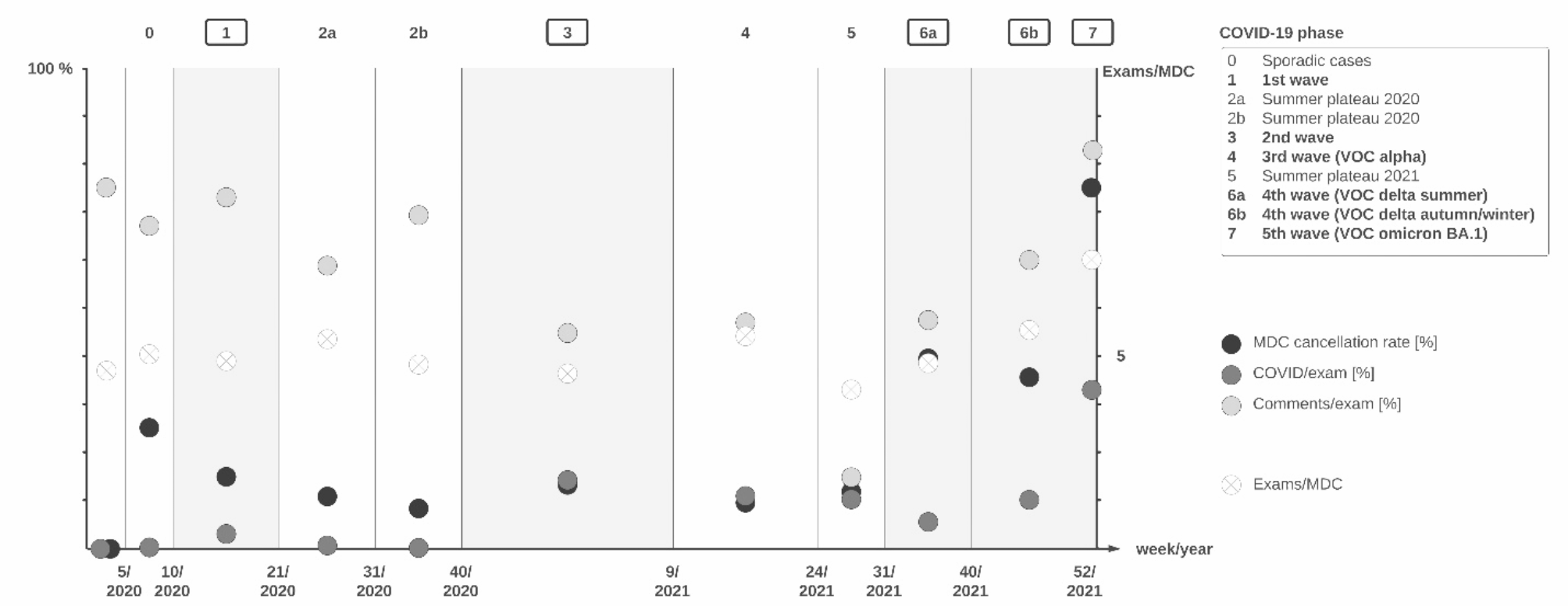
Fig. 3

Course of MDCs during the COVID-19 pandemic. MDCs in our hospital were adapted to pandemic requirements with the rise of the COVID-19 pandemic. Radiologist and intensive care physicians met in biweekly QM video calls to discuss mutual patients. The x-axis shows the calendar weeks of 2020 and 2021 separated into different COVID-19 phases as defined by the Robert Koch Institute (RKI) taking various factors such as incidence, rates of positive PCR-tests, and hospitalisation rate into account29,30. COVID-19 waves are highlighted. The left y-axis shows the MDC cancellation rate (out of n = 406 potentially scheduled MDCs during the study period) (black), the rate of examinations with relevant COVID affection (as defined by experienced ICU physicians involved in MDCs) (dark gray), and the percentage of examinations discussed in MDCs for which written feedback was provided, i.e., comments/exam (light gray). The right y-axis shows the mean number of examinations that was presented during an MDC for each epidemic COVID-19 phase (supplementary Table 3).