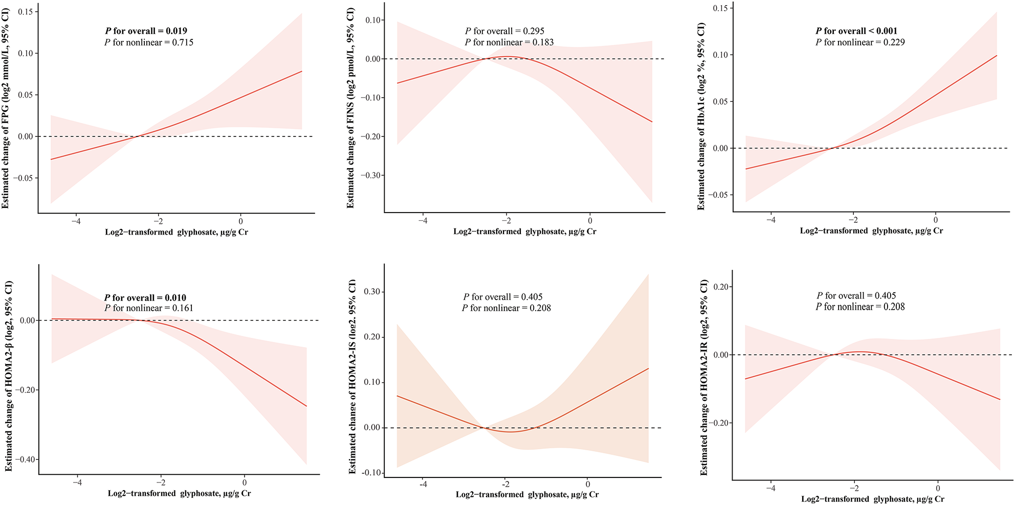
Fig. 2

Restricted cubic splines of the associations between urinary glyphosate and glucose homeostasis indices (N = 2094). Models were adjusted for age (continuous, years), sex (male/female), race/ethnicity (Mexican American/Non-Hispanic White/Non-Hispanic Black/others), survey cycles (2013–2014/2015–2016/2017–2018), BMI (continuous, kg/m2), smoking status (yes/no), drinking status (yes/no), physical activity (no/moderate/vigorous), educational level (less than high school/high school or equivalent/college or above), family history of diabetes (yes/no), and antidiabetic medication history (yes/no). CI confidence interval, FPG fasting plasma glucose, FINSfasting insulin, HbA1c glycated hemoglobin A1c, HOMA2-β homeostatic model assessment of beta-cell function, HOMA2-IR homeostasis model assessment of insulin resistance, HOMA2-IS homeostasis model assessment of insulin sensitivity. Significant values are in [bold].