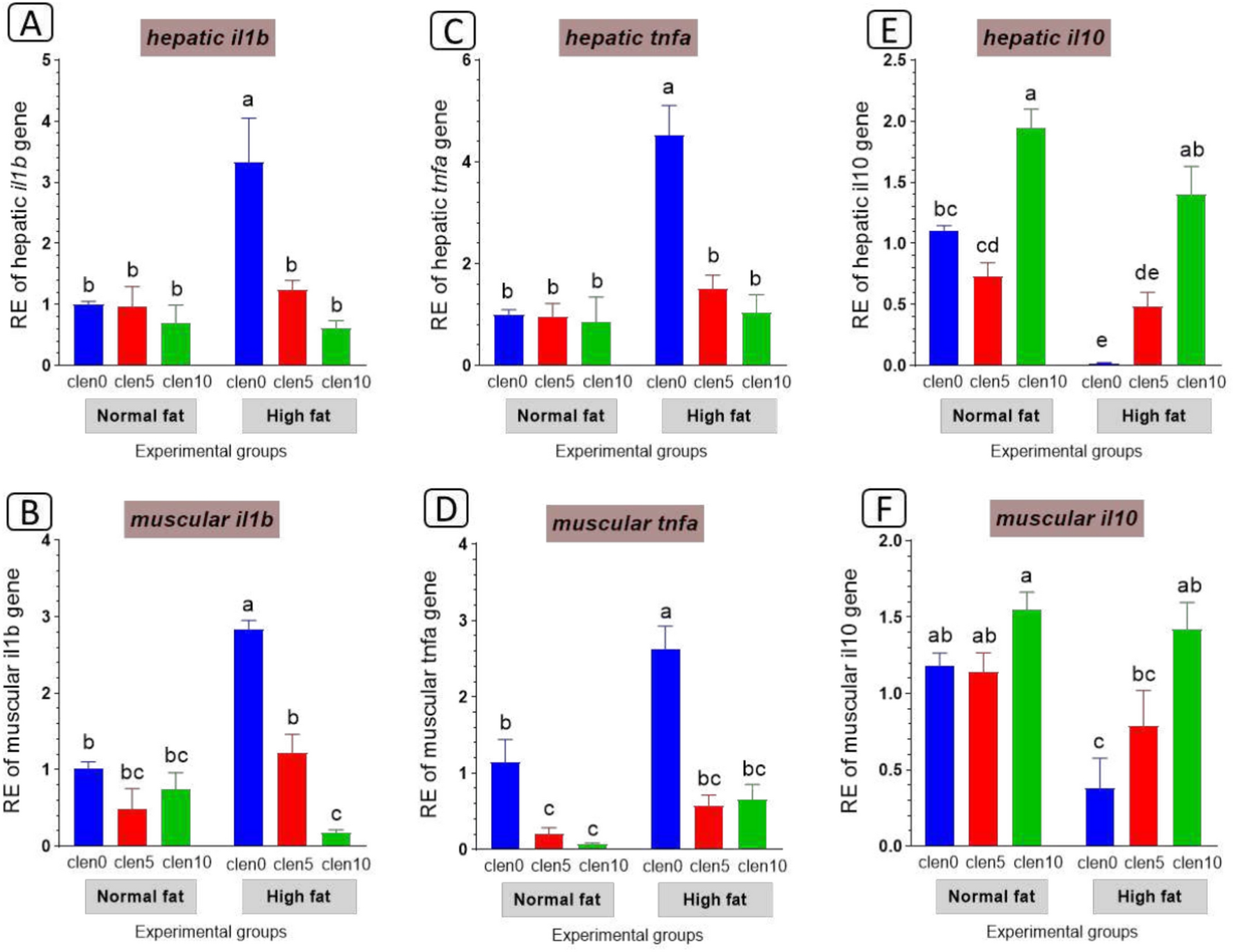
Fig. 5

Inflammation-related genes expression in the liver and muscle tissue of Nile tilapia groups fed on normal and high fat diets with clenbuterol. il1b: Interleukin-1beta, tnfa: Tumor necrosis factor alpha; il10: Interleukin-10. Columns with different superscript letters in the same figure are significantly different (p ≤ 0.05).