Abstract
This study was performed to reveal the metabolic effects and molecular mechanisms that govern the dietary incorporation of clenbuterol on growth performance, haemato-biochemical changes, histological alteration, and gene expression regulating glucose and lipid metabolism in normal and high-fat diets fed in Nile tilapia (Oreochromis niloticus). Six experimental diets were formulated, incorporating different concentrations of clenbuterol. The 1st three groups were supplemented with a diet comprising 6% fat, with clenbuterol of 0, 5, and 10 g/kg diet was designated as F6 clenb0, F6clenb5, and F6clenb10, respectively. The other treatment groups were fed a diet of 12% fat, with clenbuterol 0, 5, and 10 g/kg diet, respectively termed F12 clenb0, F12 clenb5, and F12 clenb10. The results revealed that compared to the control group, HFD exhibited a marked reduction in FBW, BWG, PER, and body protein percent but significantly increased the FCR, IPF, liver fat percent, and body ash percent with altered hematological parameters, raised serum biomarkers of hepatic and renal injury. HFD signally raised mRNA expression of pro-inflammatory cytokines, and declined nrf2 and antioxidative function-related genes. Also increased mRNA expression of lipogenic genes as FAS and SREBP-1c and gluconeogenic genes as pepck and g6pc while downregulated, pparα, cpt1, acox1. Nevertheless, clenbuterol supplementation significantly reversed the aforementioned findings induced by HFD. Clenbuterol inclusion significantly improves growth performance and antioxidant defenses by modulating nrf2 signaling and reducing inflammatory response, reduces fatty acid synthesis, and enhances mitochondrial β-oxidation not only functioning as a lipid regulator and effectively alleviating fat accumulation in the liver but playing an essential role in the control of glucose metabolism by reducing hepatic glucose production in high-fat diet-fed Nile tilapias well.
Similar content being viewed by others
Introduction
The passage emphasizes the significance of lipids as fundamental nutrients for aquaculture species, serving as a source of energy and vital fatty acids necessary for regular physiological activities. It is essential to fine-tune the lipid content in the diet to ensure the production of high-quality end products1,2. Nevertheless, an overabundance of lipids can adversely affect the development and well-being of fish, resulting in reduced feed consumption, slower growth rates, weakened immune response, and increased oxidative stress3,4,5,6. This data derives from research conducted on several fish species, including black seabream (Acanthopagrus schlegelii), the large yellow croaker (Larmichthys crocea), and blunt snout bream (Megalobrama amblycephala)7,8. Four distinct processes can lead to the accumulation of lipids in the liver: enhanced absorption of circulating fatty acids by the liver, promoted synthesis of new fatty acids within the liver, diminished beta-oxidation in the liver, and reduced export of lipids from the liver9. SREBP-1c stimulates genes associated with fatty acid and triglyceride synthesis, as fatty acid synthase (FAS)10,11. Carnitine palmitoyltransferase-1 (CPT-1) acts as a crucial regulator, controlling the entry of fatty acids into the mitochondria, which is critical for the β-oxidation of fatty acids12. Diacylglycerol acyltransferase DGAT2 is critical in lipid accumulation as it catalyzes the last step in the synthesis of triacylglycerol (TAG)13,14. Additionally, the liver controls gluconeogenesis, where enzymes such as glucose-6-phosphatase (G6PC) and phosphoenolpyruvate carboxylase kinase (PEPCK) play crucial roles, leading to heightened production of glucose by the liver15,16.
Recent research has shown that various dietary supplements are effective in managing lipid metabolism, which helps in reducing fat buildup, easing hepatic steatosis, and diminishing inflammatory reactions17,18,19. Feed supplements, such as β2-agonists, are used to increase the proportion of lean meat in carcasses and decrease the feed needed for animals with higher muscle-to-fat ratios20. Clenbuterol, a type of β2-agonist, promotes hypertrophy in skeletal muscle fibers21 by its ability to boost lean mass and reduce fat mass22,23. As a result, enhancements in glucose homeostasis could be due to one or both of such effects24,25.In aquaculture, tilapia ranks as the second most important finfish species cultivated globally, with Nile tilapia (Oreochromis niloticus) being the predominant variety in worldwide production26, furthermore, it is estimated that by 2030, it will account for 62% of the total worldwide aquaculture production27. Limited studies on Nile tilapia have explored how a high-fat diet (HFD) linked to obesity interacts with the lipid-reducing properties of clenbuterol. Therefore, our study aims to assess the metabolic impacts and the molecular mechanisms of clenbuterol when included in the diet, focusing on growth performance, hematobiochemical variations, histological changes, and the expression of genes associated with glucose and lipid metabolism in Nile tilapia (Oreochromis niloticus) fed both standard and high-fat diets.
Materials and methods
Ethical approval
The experiment was carried out on Nile Tilapia (Oreochromis niloticus), following the standard operating procedures approved by the Institutional Animal Care and Animal Ethics Committee at the Faculty of Aquatic and Fisheries Sciences, Kafrelsheikh University in Egypt (IAACUC-KSU-028-2022).
Experimental design
The research was conducted at the Department of Fish Processing and Biotechnology, within the Faculty of Aquatic and Fisheries Sciences at Kafrelsheikh University in Egypt. A total of 220 juvenile Nile tilapia with an initial mean weight of 17.25 ± 0.05 g (Mean ± SD) at the beginning of the experimental feeding trial. Fish were reared in a private fish farm in Kafrelsheikh, Egypt. They were acclimatized to the experimental setup for two weeks in glass aquariums, during which they were fed a basal diet twice daily (Table 2). Subsequently, they were evenly distributed across eighteen glass aquariums (80 × 45 × 35 cm, 12 fish per tank) with three replicates for each treatment (six treatments as shown in Table 1). Each aquarium was fitted with a mechanical filter (JAD, China) to remove waste from the water and an air stone to ensure oxygen supply. During the 60-day experiment, water quality parameters such as temperature, dissolved oxygen, and pH were daily monitored. The average recorded values were 26.19 ± 4 °C for temperature, 5.9 ± 0.8 mg/L for dissolved oxygen, and 7.50 ± 0.1 for pH. Additionally, the total ammonia level was checked weekly. All fish groups received feedings twice daily at 8:00 AM and 3:00 PM, with each feeding consisting of 2% of their total body weight.
Experimental diets
The experimental diets were formulated in two categories: normal fat diets (NF, 6% fat) and high-fat diets (HF, 12% fat), then each category was divided into three groups: Clenbuterol-free diet (devoid of Clenbuterol), low Clenbuterol diet (5 mg/kg diet), and high Clenbuterol diet (10 mg/kg diet), as outlined in Table 1. The pellets were prepared using a Meat Grinding Machine and were sized at 2.33 mm before being air-dried at room temperature.
Blood and tissue sample collection
After a 24-h fasting period, fish from all groups were counted and weighed. From each aquarium tank, three fish (9 fish /group) were randomly chosen and anesthetized with FA-100 anesthetic (diluted 1:5000, DS Pharma Animal Health Company, Osaka, Japan). Of these, three fish per tank were designated for blood collection and tissue sampling (including liver, kidney, and intestine). Importantly, Tissue samples were subsequently divided into two parts; the first part was preserved in 10% formalin for further histopathological analysis, while the other part was immediately shocked in liquid nitrogen, stored at − 80 °C for total RNA extraction and gene expression analysis. Furthermore, ten fish per tank (totaling 30 fish per group) were chosen randomly for liver weighting and measurement of liver fat, hepatosomatic index (HSI), and intra-peritoneal fat index (IPF), then the whole fish stored at − 20 °C for chemical analysis of body composition (Table 2).
Hematological and serum biochemical analysis
At the conclusion of the experiment, two blood samples were collected from the caudal vein using a 3 mL disposable syringe. The first blood sample an anticoagulant; EDTA (Ethylene diamine tetra acetic acid) to quantify erythrocytes, hemoglobin (Hb), packed cell volume (PCV), total leukocyte counts and differential leucocyte count (monocytes, lymphocytes, heterophils, eosinophils,) according to28. The second blood sample was collected without anticoagulant, centrifuged at 3000 rpm at 4 °C for 10 min using a bench-top undercooling centrifuge (Heraeus Megafuge 8R, Thermo Fisher Scientific, Germany) for separation of the serum, then stored at − 20 °C until biochemical analyses. Commercial kits (BIODIGNOSTIC, Giza, Egypt) were used to test serum for total proteins, albumin, cholesterol, triglycerides, high-density lipoprotein-C (HDL-C), glucose, urea, creatinine, alanine aminotransferase (ALT), aspartate aminotransferase (AST), and lactate dehydrogenase (LDH). Globulins concentration (Glob) was determined by subtracting albumin values from total, and consequently albumin to globulin ratio (A/G) was estimated. VLDL-C concentrations were determined using Friedewald standard equation29.
Histopathology study
Collected fish were euthanized by using MS222 at a concentration of 25 mg/L of water. Liver, kidney, and intestinal specimens were soaked in 10% phosphate-buffered neutral formalin (dehydrated and cleaned in xylene), then processed into paraffin blocks and sliced off at 5 μm thickness. Standard histological techniques were used to stain the sections, including hematoxylin and eosin. Images were taken with an inverted light microscope at the Institute of Nanoscience and Nanotechnology, Kafrelsheikh University, Egypt (Leica Microsystems-Fluorescence Model, DMi8 manual, Germany).
Total RNA extraction, cDNA synthesis, and rt-qPCR assay
Total RNA was extracted from 50 mg of the livers and muscle of Oreochromis niloticus using GENEzol ™ Reagent (Gene aid, UK) following the manufacturer’s directions. RNA integrity was validated using ethidium bromide-stained 2% agarose gel electrophoresis. The concentration as well as purity of RNA samples were measured using a Nanodrop BioDrop spectrophotometer (Biochrom Ltd, Cambridge CB23 6DW, UK) based on the A260/A280 nm ratio. Five μg of RNA samples were reverse transcribed using the TOP script TM RT Dry Mix (dt18/dN6 plus) kit (enzynomics, Daejeon, South Korea). Gene expression analysis was performed in Rotor Gene-Q (Qiagen-Germany) with Tilapia-specific primers for the amplification of Immune-related genes as tumor necrosis factor alpha (tnfa), interleukin-1β (il1b). Antioxidant genes as nuclear factor -E2-related factor 2 (nrf2), kelch-like ECH-associated protein 1 (keap1), glutathione peroxidase (gpx), superoxide dismutase (sod2) (Table 3)30,31,32,33,34,35. The amplification reaction was done using TOPrealTM qPCR 2X PreMIX (SYBR Green with Low Rox) kit (enzynomics, Daejeon, South Korea). The reaction volume of 20 μl mix of 10 µL SYBR Green, 0.6 µL of both forward and reverse primer, 1 µL of template cDNA, and the total volume of 20 µL adjusted with nuclease-free water. The analysis of melt curve was performed to ensure the specificity of amplification at 72 °C to 95 °C. The qPCR data was normalized using the geometric averaging of two internal reference genes; 18S ribosomal RNA (18 s rRNA) and Ubiquitin C (ubce) to calculate fold change). All genes were examined in triplicate. CT values for every sample were determined and included in Efficiency-corrected fold change (2−ΔΔCT) calculation based on the Livak and Schmittgen36.
Statistical analysis
Data are demonstrated as mean ± standard error of the mean (M ± SEM). Preliminary, Shapiro–Wilk’s test was employed to assess data normality, while Levene’s test was used to evaluate variance homogeneity, both conducted with a significance level set at p < 0.05. Percentage data were subjected to Arcsine transformation prior to Analysis of variances. To investigate the differential effects of high fat, Clenbuterol, and their interaction, body indices, growth performances, hematological parameters, biochemical analyses, histomorphometric measurements, and relative gene expression were analyzed using Two-way ANOVA, pursued by Tukey’s multiple comparison test (p < 0.05). All statistical analyses ware conducted using GraphPad Prism (version 9.5, GraphPad Software, San Diego, California, USA).
Results
Growth performance indices, feed utilization, survival, and body nutritional composition
As shown in Table 4, clenbuterol at the chosen doses showed nonsignificant change in FBW, BWG, feed intake, SGR, FCR, PER compared with the normal control group. Meanwhile, HFD reduced FBW, BWG, and PER while raised FCR, IPF, liver fat %, and body ash %, but reduced body protein% and fat %. Furthermore, clenbuterol dietary inclusion to HFD markedly increased FBW, BWG, PER while reduced HSI, IPF ,liver fat %, body fat % with raised body protein % and body ash % when matched to the HFD treatment (P < 0·05) (Table 4).
Hematological parameters
Clenbuterol supplementation at the chosen doses revealed a significant increase in RBCs and Hb While showing non-significant increase in PCV, WBCs and white blood cell differential counts compared with the normal fat-control fed group (Table 5). Moreover, a High-fat diet showed a significant reduction in PCV and Hb concentration exhibiting microcytic hypochromic anemia while increased WBCs, lymphocytes and monocytic count compared with the normal fat control group. Interestingly, clenbuterol dietary incorporation raised RBCs count, PCV and HB concentrations and restored the WBCs, heterophils, lymphocytes and monocytes to normal compared with the high fat diet fed group with the best response to the high dose of clenbuterol.
Serum biochemical profiles
The results revealed that dietary supplementation with clenbuterol did not change the normal liver synthetic function as evidenced by the non-significant alterations in serum albumin concentration (Table 6). On top of that, total proteins and globulins concentrations were shown to be significantly elevated in a dose-dependent manner matched to the control group. Clenbuterol treatment revealed a significant increase in serum AST, ALT and LDH activities compared to the control group. Moreover, HFD revealed a marked elevation of serum ALT, AST, and LDH compared with the normal control group. Clenbuterol ameliorated the elevated activities of ALT, AST, and LDH compared with the HFD-fed group.
However, HDF showed reduced total proteins, albumin, globulins and HDL-C concentrations while raised glucose and lipid profile components including TC, TG, VLDL-C, and LDL-C levels together with elevated serum hepatic injury biomarkers such as ALT, AST and LDH enzymes, and raised kidney injury biomarkers such as BUN and creatinine compared with the control group. Interestingly, clenbuterol dietary incorporation to HFD-fed fish succeeded in modulating the aforementioned findings to their normal levels.
Hepatic, renal, and intestinal histological analysis
Histological analysis of liver sections from various groups (Fig. 1), the control group exhibited mostly normal characteristics, including normal lobular architecture and hepatocytes with mild to moderate hepatic vacuolation (Fig. 1A). Hepatocytes in the F6 clenbu5 group seemed normal, showing diffuse hepatic vacuolation (Fig. 1B). In response to clenbuterol’s high dose, there was a diffuse, marked hepatic vacuolation (Fig. 1C). In contrast, the HFD group had prominent widespread hepatic vacuolation with distinct intra-cytoplasmic vacuoles (Fig. 1D). The F12 Clenb 5 group had diffuse hepatic vacuolation with intracytoplasmic fat vacuoles pushing the nucleus peripherally (Fig. 1E). While the liver sections from the F12clenb 10 group showed mild hepatic vacuolation (Fig. 1F).
Representative photomicrograph of liver from different treatment groups. (A) NF6% showing mild to moderate hepatic vacuolation. (B) NF + Low clenbuterol showing diffuse hepatic vacuolation (thin arrow). (C) NF + High clenbuterol showing mild hepatic vacuolation (thin arrow). (D) HF group showing diffuse, severe hepatic vacuolation with clear, difinite intracytoplacmic vacuoles (thin arrow). (E) HF + Low clenbuterol group showing diffuse marked hapatic vacuolation with intracytoplasmic clear, fat vacuoles pushing nucleus peripherally (thin arrow). (F) HF + High clenbuterol showing mild hepatic vacuolation (thin arrow). Scale bar = 50. (Figure A and D for the control group after Rashwan et al., 2024).
Figure 2 showed a histological study of kidney sections from different treatment groups, which revealed significant differences in renal architecture and cellular morphology. The kidney in the control group had a histologically normal tubular and glomerular structure (Fig. 2A). The F6Clenb5 group exhibited a normal histological appearance of renal tubules (Fig. 2B). The kidney sections from the F6Clenb10 group showed focal tubular vacuolation with little tubular necrosis and minimal interstitial hemorrhage (Fig. 2C). The F12Clenb0 group exhibited diffuse tubular damage represented by severe tubular vacuolation and necrosis with interstitial fibrosis with mixed lymphocytes and numerous RBCs (Fig. 2D). The kidney in the F12Clenb5 group showed a normal histological appearance of most tubules except, few, occasional individualized tubular epithelial cells (Fig. 2E). Furthermore, the kidney sections from the F12Clenb10 group displayed normal histological appearance of most renal tubules with few, occasional necrotic cells (Fig. 2F).
Representative photomicrograph of kidney from different treatment groups. (A) NF6% showing moderate tubular necrosis (thin arrows) and desquamation (thin arrows) with glomerular shrunken (thick arrow). (B) NF + Low clenbuterol showing normal histological appearance of renal tubules. (C) NF + High clenbuterol showing focal tubular vacuolation (thin arrows) with few tubular necrosis and minimal interstitial hemorrhage (thick arrow). (D) HF group showing diffuse tubular damage represented by severe tubular vacuolation and necrosis (thin arrows), interstitial fibrosis (thick arrow) admixed with lymphocytes and numerous RBCs (arrowhead). (E) HF + Low clenbuterol group showing normal histological appearnce of most tubules except, few, occasional individualized tubular epithelial cells (thin arrow). (F) HF + High clenbuterol showing normal histological appearance of most renal tubules with few, occasional necrotic cells (thin arrow). Scale bar = 50 μm. (Figure A and D for the control group after Rashwan et al., 2024).
Histopathological analysis of intestinal sections from different treatment groups revealed varied findings in intestinal architecture and mucosal integrity (Fig. 3). The intestine in the control group has occasional apoptotic bodies, numerous goblet cells, and few submucosal edema with few inflammatory cells (Fig. 3A). F6Clenb5 showed thickened, shortened intestinal villi expanded with severe edema in lamina propria with lymphocytic infiltrations (Fig. 3B). F6Clenb10 showed few apical mucosal loss with moderate submucosal edema leading to moderately expanded intestinal mucosa. The F12Clenb0 group, revealed mild to moderate expanded, shortened intestinal villi with many vacuoles (Fig. 3D). F12Clenb5 group, showed mild intestinal thickening with vacuolation, mild lymphocytic infiltration and mild oedema in lamina propria (Fig. 3E). Furthermore, the F12Clenb10 group had an apical mucosal loss, diffuse submucosal edema and mixed with inflammatory cells (Fig. 3F).
Representative photomicrograph of intestine from different treatment groups. (A) NF6% showing NF6% showing occasional apoptotic bodies (thin arrow), numerous goblet cells, few submucosal edema with few inflammatory cells (star). (B) NF + Low clenbuterol showing thickened, shortened intestinal villi expanded with severe lamina proprial edema (star) and lymphocytic infiltrations (thin arrow). (C) NF + High clenbuterol showing few apical mucosal loss (thick arrow) with moderate submucosal edema (star) leading to moderate expanded intestinal mucosa. (D) HF group showing mild to moderate expanded, shortened intestinal villi with many vacuoles (thin arrow). (E) HF + Low clenbuterol group showing mild intestinal thickening with vacuolation (thick arrow), mild lymphocytic infiltration (thin arrow) and mild lamina proprial edema (star). (F) HF + High clenbuterol showing apical mucosal loss (thick arrow), diffuse submucosal edema admixed with inflammatory cells (star). Scale bar = 50 μm. (Figure A and D for the control group after Rashwan et al., 2024).
Histo-morphometric of muscle fibers
As explained in Table 7, in comparison with the control group, clenbuterol clenbuterol-supplemented group revealed increased muscle fiber count, total area, and area % in a dose–response manner. Moreover, HFD and clenbuterol-supplemented groups to HFD showed non-significant change in muscle fiber count, total area, average size, and area % compared with the normal control group.
Differential gene expression analysis
Antioxidative function-related gene expression
Antioxidant status was evident in the liver and muscle as portrayed in Fig. 4. HFD administration resulted in reduced hepatic and muscular expression levels of nrf2 (Fig. 4A), and sod (Fig. 4C) while raised Keap1 (Fig. 4B) compared with the normal fat-fed fish group. On the other hand clenbuterol supplementation activates nrf2 signaling via enhanced hepatic and muscular expression levels of nrf2 (Fig. 4A), and sod (Fig. 4C) while inhibiting keap (Fig. 4B) compared with HFD fed group.
Expression of different anti-oxidant genes in liver and muscle of Nile tilapia groups fed on normal and high fat diets with clenbuterol. (A and B) Nuclear factor erythroid 2-related factor 2: nrf 2, (C and D) Kelch-like ECH-associated protein 1: keap 1, (E and F) superoxide dismutase2: sod2. P value results of the two-way ANOVA are represented on the top of each figure. Columns with different superscript letters in the same figure are significantly different (p ≤ 0.05).
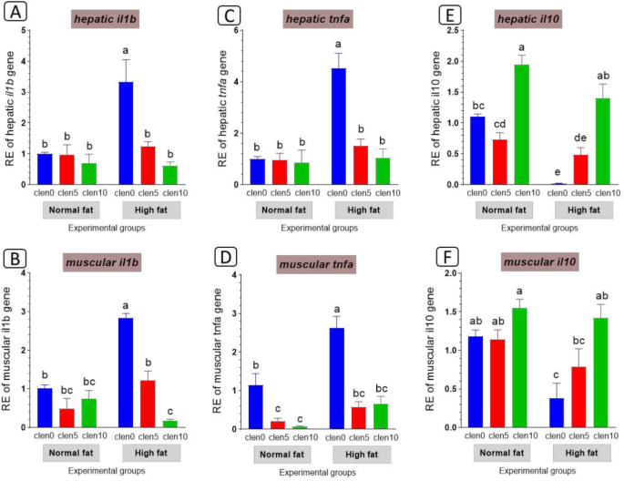
Inflammation-related genes expression
Further molecular analysis of immune-related genes in the liver and muscle is explained in Fig. 5. HFD caused an increase in hepatic and muscular expression levels of tnfα (Fig. 5A), il1b (Fig. 5B) with reduced il10 (Fig. 5C) compared with the normal fat-fed fish group. On the other hand clenbuterol supplementation decrease hepatic and muscular expression levels of tnfα (Fig. 5A), il1b (Fig. 5B), while upregulated Il10 (Fig. 5C) compared with the HFD fed group.
Inflammation-related genes expression in the liver and muscle tissue of Nile tilapia groups fed on normal and high fat diets with clenbuterol. il1b: Interleukin-1beta, tnfa: Tumor necrosis factor alpha; il10: Interleukin-10. Columns with different superscript letters in the same figure are significantly different (p ≤ 0.05).
Glucose metabolism-related genes
In the current study, clenbuterol supplementation revealed non-significant change in the expression of gluconeogenic genes pepck, g6p and pk matched with the control group (Fig. 6). These findings were altered in the HDF group which exhibited increased expression of gluconeogenic genes pepck and g6p with a reduced expression level of pk. Furthermore, these findings were reversed by clenbuterol supplementation to HFD compared with the HFD fed group.
Glucose metabolism-related genes in liver and muscle of Nile tilapia groups fed on normal and high fat diets with clenbuterol. (A and B) glucose-6-phosphatase: g6pase, (C and D) phosphoenolpyruvate carboxy kinase: pepck, (E and F) pyruvate d kinase: pk. P value results of the two-way ANOVA are represented on the top of each figure. Columns with different superscript letters in the same figure are significantly different (p ≤ 0.05).
Lipid metabolism-related genes
High-fat diet resulted in enhanced hepatic expression levels of genes involved in lipogenesis as fas and srebp-1c (Fig. 7A,B) lipolysis (Fig. 7C), fatty acid uptake (cd36; Fig. 7D), TG synthesis dgat (Fig. 7E) import of fatty acids into mitochondria (cpt1; Fig. 7F), and β-oxidation pparα (Fig. 7G), acox 1(Fig. 7H).
Lipid metabolism-related genes in liver of Nile tilapia groups fed on normal and high fat diets with clenbuterol. fas: fatty acid synthetase; serbp: sterol regulatory element binding protein; lpl: lipoprotein lipase; cd36: cluster of differentiation 36; dgat2: diacylglycerol O-acyltransferase 2; Cpt1: carnitine palmitoyl transferase; ppara: peroxisome proliferator-activated receptor alpha; acox1: acylcoenzyme A oxidase 1. Columns with different superscript letters in the same figure are significantly different (p ≤ 0.05).
High-fat diet caused marked mRNA expression of fas, srebp1c, lpl, cd36 and dgat compared to the normal fat group, however, this increase was reserved by clenbuterol supplementation (Fig. 7A–E). Whereas carnitine palmitoyltransferase 1 (cpt1), peroxisome proliferator-activated receptor α (pparα) and acox1 expression levels were considerably diminished in fish fed HFD in comparison with the normal fat group but they were significantly upregulated by clenbuterol supplementation (Fig. 7F–H).
Discussion
The present study has led to several important findings regarding metabolic and molecular mechanisms concerning the pathway by which clenbuterol exerts its action.
In this study, we found that a high-fat diet (HFD) significantly decreased final body weight (FBW), body weight gain (BWG), and protein efficiency ratio (PER), while increasing feed conversion ratio (FCR), intraperitoneal fat (IPF), liver fat percentage, and body fat percentage in comparison to the control group. These outcomes align with similar results observed in other marine and freshwater fish species, as largemouth bass (Micropterus salmoides), grass carp (Ctenopharyngodon idella), and giant croaker (Nibea japonica), where high-fat diets led to a lower final body weight gain compared to diets with normal fat levels37,38. Additionally, the abdominal fat and viscera somatic index were higher compared to those observed with normal fat diets38 also induced increment of fat deposition in the liver and abdominal cavity5,39,40,41. The current study demonstrates that clenbuterol supplementation to fish fed HFD significantly increased FBW, BWG, body protein, and ash % while reducing HSI, IPF%, liver fat, and body fat % in a dose–response manner compared to the HFD-fed fish group. Clenbuterol has been demonstrated to enhance skeletal muscle mass in mammals42. Additionally, Spurlock, et al.43 reported that clenbuterol administration stimulated anabolic activity. These findings align with prior studies in chickens, where supplementation with clenbuterol resulted in reduced weights of abdominal fat pads and elevated weights of skeletal muscles44,45. Similar effects were noted in rats, where clenbuterol led to reduced body fat and increased muscle mass46,47. Similar effects were observed in rats, with clenbuterol resulting in decreased body fat and enhanced muscle mass48,49,50,51. Clenbuterol-mediated skeletal hypertrophy was observed due to a marked increase in various amino acids in skeletal muscle after the administration of a glucose bolus. This observation could be explained by the preservation of predominantly glucogenic amino acids for skeletal protein synthesis when glucose is available as a fuel source52. It is well-known that glucose is quickly transformed into amino acids and other chemicals or metabolites in skeletal muscle53, and that glucose infusion dramatically enhances protein synthesis54.
When the intake of dietary lipids surpasses the ability of hepatic cells to oxidize fatty acids, triglyceride synthesis escalates, resulting in steatosis55,56. In our research, we observed a significant reduction in fas expression in diets supplemented with clenbuterol compared to other diets, suggesting that clenbuterol effectively inhibits excessive fatty acid synthesis induced by a high-fat diet (HFD). The liver plays a pivotal role in fatty acid metabolism. To thoroughly examine the metabolic modifications in the liver of Nile tilapia on a HFD, we analyzed several genes associated with lipid metabolism. In the liver of Nile tilapia fed a high-fat diet (HFD), the gene pparα, which is a key regulator of lipid metabolism, triggered the expression of multiple genes related to fatty acid β-oxidation and increased the expression of cpt1α57,58. Conversely, the srebp1 gene, which is a crucial regulator of lipogenesis, enhanced the expression of lipogenic genes as lpl and fas59. Our study found that Nile tilapia fed HFD, significantly increased the expression levels of lipogenic genes (srebp1, fas, lpl, dgat, and cd36), while significantly decreasing lipolytic genes (pparα, cpt1α, and acox1) compared to those fed a normal fat diet. However, clenbuterol supplementation in HFD-fed fish reversed these findings. Similar research in other fish species, like blunt snout bream and pond loach, has demonstrated that high-fat diets lower the expression of lipolytic genes in the liver, causing fat accumulation and impairment of liver function56,57,58,59,60,61. Hepatic steatosis, prompted by a high-fat diet (HFD), is linked to abnormal lipid metabolism, which includes alterations in lipid synthesis, uptake, and transport62,63.
The insulin-sensitizing impacts of clenbuterol could be partially intervened by a reduction in hepatic lipid accumulation64,65,66. Chronic administration of clenbuterol or other β-AR agonists recovers insulin resistance67,68,69
Regarding the impact on hematological parameters, HFD resulted in a significant reduction in RBCs count, PCV, and Hb concentration, indicating microcytic hypochromic anemia (iron deficiency), while increasing WBCs, lymphocytes, and monocytic count reflects inflammatory leukogram. HFD has been shown to impact hematological parameters70,71,72 this could be attributed to various factors associated with HFD consumption, such as alterations in lipid metabolism, oxidative stress, inflammation, and insulin resistance73 potentially leading to conditions like anemia or impaired oxygen transport74. Interestingly, the dietary inclusion of clenbuterol restored the altered hematological parameters with the highest response observed with the high dose of clenbuterol. Clenbuterol’s potential to increase muscle mass and performance might indirectly affect RBC parameters. More muscle mass could mean higher oxygen demands, prompting the body to produce more red blood cells to meet these demands.
Long-term feeding of a high-fat diet (HFD) can lead to liver dysfunction, resulting in stress and potentially causing mortality in fish. In this study, liver enzyme activities were elevated in clenbuterol-treated groups compared to the control group due to the elevation of the anabolic process in muscles and the increased activity of liver enzymes intricated in manufacturing amino acids required for this process75,76. We observed that HFD induced elevated serum activities of ALT, AST, and LDH in conjunction with reduced total proteins, albumin, and globulins which are strongly linked with liver injury77 supported by our histopathological observation which revealed prominent widespread hepatic vacuolation with distinct intra-cytoplasmic vacuoles. These results are consistent with Zhang et al.78 who revealed considerably higher serum ALT and AST activities in the HFD group in juvenile grass carp. However, clenbuterol reversed this observation. Mohamed et al.79,80 reported that clenbuterol significantly increased total protein concentration by increasing protein synthesis and reducing degradation79,80.
Here we detected that BUN and creatinine were elevated in the HFD group supported by histopathological findings in HFD which exhibited diffuse tubular damage represented by severe tubular vacuolation and necrosis with interstitial fibrosis with mixed lymphocytes and numerous RBCs. The elevation in urea levels in serum, a catabolite of endogenous protein biomarker81, directly related to high amounts of hazardous nitrogen metabolites, formed during the catabolism of both proteins and amino acids, demonstrating a metabolic disorder82.
Concerning glucose metabolism, in the current study, clenbuterol supplementation to a normal fat diet revealed a non-significant change in blood glucose concentration (Table 6) with a non-significant change in the expression of gluconeogenic genes pepck, g6p and pk which catalyzes the transformation of phosphoenolpyruvate and ADP to pyruvate and ATP in glycolysis. Moreover, these findings were altered in the HFD group which showed an increase in glucose concentration and increased expression of gluconeogenic genes pepck and g6p with a reduced expression level of pk. These findings were inverted by clenbuterol supplementation to HFD compared with the HFD fed group (Fig. 6). Lichtenstein and Schwab83 suggested that individuals with higher fat intakes are more likely to develop glucose metabolism disorders, type 2 diabetes, or impaired glucose tolerance.
Gluconeogenesis is the physiological process of manufacturing glucose from non-sugar constituents, principally in the liver. However, sustained, high levels of gluconeogenesis are also a major cause of hyperglycemia in type 2 diabetes and strictly impair insulin sensitivity84. Here, we validate that clenbuterol can help reduce blood sugar level by regulating gluconeogenesis. This hypoglycemic effect of clenbuterol may be associated with reduced expression of pepck and g6p while enhancing pk implying reduced hepatic glucose output from the liver. Furthermore, decreasing hepatic glycogen levels may also reduce glucose yield from the liver, as the rate of glycogenolysis is known to be proportional to the amount of glycogen85. Mutually, higher insulin sensitivity and lower level of glycogen in the liver of mice treated with clenbuterol may contribute to reduced glucose output from the liver which, combined with stimulated glucose clearance in muscles, initiate restored glucose homeostasis.
Our findings indicate that HFD undesirably affected serum lipid metabolism and liver function in the HFD-fed group may point to metabolic disorders of lipids and lipoproteins as well as liver damage86,87. Similarly, other research have revealed significant increases in hepatic lipid content including TC, TG, LDL-C, and HDL-C in HFD-fed fish groups88,89. Moreover, higher levels of lipid in fish feeds can force hepatocytes to work more, potentially leading to liver damage7. Conversely, clenbuterol supplementation improved serum lipid profiles and hepatic enzyme activities compared to the HFD. This improvement may be attributed to lipolytic effects of clenbuterol on adipose tissue, which can confidently alter body composition by reducing TG and TC synthesis, thereby improving LDL-C, VLDL-C, and HDL-C concentrations, and promoting liver enzyme activities.
Oxidative stress is recognized as a significant factor in the advancement of liver disease caused by a HFD, resulting in mitochondrial malfunction and an inflammatory response90. Recent studies have emphasized that the accumulation of fat increases susceptibility to oxidative stress and compromises the antioxidant defense system in liver injury induced by a HFD90,91. Consistently, in this study, we observed reduced mRNA levels of antioxidant defense such as sod and nrf2, along with elevated mRNA levels of keap1 in the liver and muscle of HFD-fed tilapia, indicating the incidence of severe oxidative damage and redox imbalance. nrf2 is recognized as a positive regulator that protects cells against oxidative stress92, but severe oxidative stress can suppress the nrf2 pathway93. Chambel et al.94 stated that activation of the nrf2 pathway prevents lipogenesis and stimulates fatty acid synthase (fas) β-oxidation to protect the liver from steatosis while inactivation of the nrf2 pathway may aggravate liver injury persuaded by hepatotoxicants6. Consistent with these findings, we also observed a decrease in the nrf2 pathway in the liver and muscle of HFD-fed tilapia, suggesting that excess fat deposition impairs the nrf2 pathway, thereby attenuating antioxidant defense.
HFD has been confirmed to stimulate lipid deposition and promoted chronic inflammation in hepatocytes of blunt snout bream fish95,96,97. Our current results suggest that HFD triggers the mRNA transcription of various inflammatory cytokines in the liver and muscle. Previous studies have found that high-fat diets can prompt inflammation by elevating the expression levels of nf-κb, il-1β, and tnfα1 genes, worsening the inflammatory reaction8,41. High-fat diets have been shown to cause metabolic inflammation throughout the tissue, elevating the levels of endotoxins, circulating free fatty acids, and inflammatory mediators, resulting in low-grade systemic inflammation and distressed homeostasis in many tissues98. Furthermore, HFD enhanced of nf-κb, and inflammatory response in black seabream19. Similarly, tnf-α and il-1β protein levels were extraordinarily upregulated in the plasma of tilapia fed HFD matched to the control group38,88. Additionally, the expression levels of nf-κb and il-1β were remarkably upregulated in the gut and liver of fish fed HFD19. In this study, clenbuterol boosted mRNA expression of il-10 compared with the HFD-fed group. Interleukin 10 is a critical anti-inflammatory cytokine that constrains the production of ROS and nitrogen free radicals by activating macrophages. This assistances shift the immune response from pro-inflammatory (type I) to anti-inflammatory (type II) by defeating the releasing of pro-inflammatory cytokines99.
The presence of inflammatory infiltrates in hepatic tissue stimulates the secretion of cytokines such as tnf-α and il1b, which contribute to the induction of insulin resistance. This metabolic disruption triggers enhanced lipolysis of TG stored in adipose tissue, leading to elevated production of fatty acids. These fatty acids counteract the anti-lipolytic effects of insulin and facilitate increased lipid uptake by the liver, resulting in dyslipidemia and hepatic steatosis100,101. Additionally, clenbuterol possibly will also affect insulin sensitivity by reducing inflammation102,103. Several β-AR agonists, including clenbuterol, have been shown to increase glucose absorption in muscle when triggered by insulin68. Low-dose of clenbuterol enhanced basal in vivo glucose absorption in skeletal muscle and enhanced whole-body insulin sensitivity as well as reduced hepatic steatosis under chronic stimulation of diet-induced obesity (DIO) in mice104.
HFD leads to fat accumulation in numerous animal species, including fish. However, storage sites of lipid in fish are extremely species-specific. For example, cod mainly store fat in the liver, whereas salmon can store great amounts of fat among muscle fibers105.106. Nonetheless, higher lipid levels in the liver and muscle, as well as increased mass of visceral adipose tissue, are frequently identified in most fish when fed with HFD107,108. However, prolonged HFD feeding eventually leads to failure in maintaining lipid homeostasis, resulting in excess lipid accumulation in non-lipid-storage tissues as skeletal muscle, liver, and heart along with intensified production of inflammatory and oxidative markers109. An analogous development process of HFD-induced dyslipidemia has been recorded in fish3. Therefore, prolonged HFD feeding in Nile tilapia is expected to result in dyslipidemic symptoms and significant changes in lipid metabolism, mostly as pathological consequences. Dietary fat has been shown to promote oxidative stress and histological abnormalities in M. salmoides38.
The link between lipid metabolism and glucose metabolism in the context of a high-fat diet involves complex interactions between substrate availability, insulin sensitivity, inflammation, mitochondrial function, and hormonal regulation. These interactions contribute to the dysregulation of glucose homeostasis observed in conditions such as obesity, type 2 diabetes, and metabolic syndrome104.
Conclusion
In summary, our study demonstrated that HFD feeding induces dyslipidemia and severe liver damage, likely due to oxidative damage and inflammation. HFD impairs the Nrf2 pathway and weakens the antioxidant defense system, resulting in oxidative damage. Additionally, lipid accumulation in the liver releases pro-inflammatory factors, exacerbating liver injury. We found that clenbuterol supplementation improves growth performance and antioxidant capacity, reduces fatty acid synthesis, enhances mitochondrial β-oxidation, and improves lipid transportation in HFD-fed Nile tilapia, effectively alleviating liver fat accumulation by modulating lipid metabolism and improved glucose homeostasis most likely by stimulating glucose uptake in skeletal muscle as well as by reducing hepatic lipids.
Data availability
The authors confirm that the data supporting the findings of this study are available within the article
References
Yi, X. et al. Effects of dietary lipid content on growth, body composition, and pigmentation of large yellow croaker (Larimichthys crocea). Aquaculture 434, 355–361. https://doi.org/10.1016/j.fsi.2015.10.013 (2014).
Li, Y., Liang, X., Zhang, Y. & Gao, J. Effects of different dietary soybean oil levels on growth, lipid deposition, tissues fatty acid composition, and hepatic lipid metabolism related gene expressions in blunt snout bream (Megalobrama amblycephala) juvenile. Aquaculture 451, 16–23. https://doi.org/10.1016/j.aquaculture.2015.08.028 (2016).
Du, Z. P. et al. Utilization of different dietary lipid sources at high level in herbivorous grass carp (Ctenopharyngodon idella): Mechanism related to hepatic fatty acid oxidation. Aquac. Nutr. 14, 77–92 (2008).
Xu, J. H., Qin, J., Yan, B.-L., Zhu, M. & Luo, G. Effects of dietary lipid levels on growth performance, feed utilization, and fatty acid composition of juvenile Japanese seabass (Lateolabrax japonicus) reared in seawater. Aquac. Int. 19, 79–89. https://doi.org/10.1007/s10499-010-9342-7 (2011).
Meng, Y. et al. Effects of dietary lipid levels on sub-adult triploid rainbow trout (Oncorhynchus mykiss): 1. Growth performance, digestive ability, health status, and expression of growth-related genes. Aquaculture 513, 394–404. https://doi.org/10.1016/j.aquaculture.2019.734394 (2019).
Jia, R. et al. Antioxidative, inflammatory, and immune responses in hydrogen peroxide-induced liver injury of tilapia (GIFT Oreochromis niloticus). Fish Shellfish Immunol. 84, 894–905 (2019).
Cao, X.-F. et al. High-fat diet induces aberrant hepatic lipid secretion in blunt snout bream by activating endoplasmic-reticulum stress-associated IRE1/XBP1 pathway. Biochim. Biophys. Acta BBA Mol. Cell Biol. Lipids 1864, 213–223 (2019).
Jin, M. et al. Effects of supplemental dietary L-carnitine and bile acids on growth performance, antioxidant and immune ability, histopathological changes, and inflammatory response in juvenile black seabream (Acanthopagrus schlegelii) fed high-fat diet. Aquaculture 504, 199–209 (2019).
Geisler, C. E. & Renquist, B. J. Hepatic lipid accumulation: Cause and consequence of dysregulated glucoregulatory hormones. J. Endocrinol. 234(1), R1–R21. https://doi.org/10.1530/JOE-16-0513 (2017).
Horton, J. D., Goldstein, J. L. & Brown, M. S. SREBPs: Activators of the complete program of cholesterol and fatty acid synthesis in the liver. J. Clin. Investig. 109(9), 1125–1131 (2002).
Shimano, H. SREBPs: Physiology and pathophysiology of the SREBP family. FEBS J. 276, 616–621 (2009).
Monsénégo, J. et al. Enhancing liver mitochondrial fatty acid oxidation capacity in obese mice improves insulin sensitivity independently of hepatic steatosis. J. Hepatol. 56(3), 632–639. https://doi.org/10.1016/j.jhep.2011.10.008 (2012).
McFie, P. J., Banman, S. L., Kary, S. & Stone, S. J. Murine diacylglycerol acyltransferase-2 (DGAT2) can catalyze triacylglycerol synthesis and promote lipid droplet formation independent of its localization to the endoplasmic reticulum. J. Biol. Chem. 286, 28235–28246 (2011).
Zhang, J. et al. Monoacylglycerol acyltransferase-2 is a tetrameric enzyme that selectively heterodimerizes with diacylglycerol acyltransferase-1. J. Biol. Chem. 289, 10909–10918 (2014).
Postic, C., Dentin, R. & Girard, J. Role of the liver in the control of carbohydrate and lipid homeostasis. Diabetes & Metabolism 30, 398–408 (2004).
Basu, R., Chandramouli, V., Dicke, B., Landau, B. & Rizza, R. Obesity and type 2 diabetes impair insulin-induced suppression of glycogenolysis as well as gluconeogenesis. Diabetes 54, 1942–1948 (2005).
Abdelghany, M. F. et al. Effects of dietary Nannochloropsis oculata on growth performance, serum biochemical parameters, immune responses, and resistance against Aeromonas veronii challenge in Nile tilapia (Oreochromis niloticus). Fish Shellfish Immunol. 107, 277–288 (2020).
Eslamparast, T., Eghtesad, S., Poustchi, H. & Hekmatdoost, A. Recent advances in dietary supplementation in treating non-alcoholic fatty liver disease. World J. Hepatol. 7, 204–212 (2015).
Jin, M. et al. Dietary choline supplementation attenuated high-fat diet-induced inflammation through regulation of lipid metabolism and suppression of NFκB activation in juvenile black seabream (Acanthopagrus schlegelii). J. Nutr. Sci. 8, e38 (2019).
Johnson, B. J., Smith, S. B. & Chung, K. Y. Historical overview of the effect of β-adrenergic agonists on beef cattle production. Asian Austral. J. Anim. Sci. 27, 757–766. https://doi.org/10.5713/ajas.2012.12524 (2014).
Burniston, J. G., McLean, L., Beynon, R. J. & Goldspink, D. F. Anabolic effects of a non-myotoxic dose of the β2-adrenergic receptor agonist clenbuterol on rat plantaris muscle. Muscle Nerve 35, 217–223. https://doi.org/10.1002/mus.20684 (2007).
Reeds, P. J., Hay, S. M., Dorward, P. M. & Palmer, R. M. The effect of β-agonists and antagonists on muscle growth and body composition of young rats (Rattus sp.). Compar. Biochem. Physiol. Part C Compar. Pharmacol. 89(2), 337–341. https://doi.org/10.1016/0742-8413(88)90234-4 (1988).
Kamalakkannan, G. et al. Clenbuterol increases lean muscle mass but not endurance in patients with chronic heart failure. J. Heart Lung Transpl. 27(4), 457–461. https://doi.org/10.1016/j.healun.2008.01.013 (2008).
Schenk, S., Harber, M. P., Shrivastava, C. R., Burant, C. F. & Horowitz, J. F. Improved insulin sensitivity after weight loss and exercise training is mediated by a reduction in plasma fatty acid mobilization, not enhanced oxidative capacity. J. Physiol. 587(20), 4949–4961. https://doi.org/10.1113/jphysiol.2009.175489 (2009).
Lombardo, G. E. et al. Normocaloric diet restores weight gain and insulin sensitivity in obese mice. Front. Endocrinol. 7, 49. https://doi.org/10.3389/fendo.2016.00049 (2016).
- Rakocy, J. E. Cultured aquatic species information programme: Oreochromis niloticus. Cultured aquatic species information programme; FAO Fisheries and Aquaculture Department: Rome, Italy. https://www.fao.org/fishery/culturedspecies/Oreochromis_niloticus/en (2005)
- Food and Agriculture Organization of the United Nations. (2018). The state of world fisheries and aquaculture 2018 - Meeting the sustainable development goals. Rome. Licence: CC BY-NC-SA 3.0 IGO.
Stoskopf, M. K. Fish Medicine (W.B. Saunders, 1993).
Friedwald, W. T., Levy, R. I. & Fredrickson, D. S. Estimation of concentration of low-density lipoprotein cholesterol in plasma without use of preparative ultracentrifuge. Clin. Chem. 18, 499–502 (1972).
Elbialy, Z. I. et al. Differential tissue regulation of Nrf2/Keap1 crosstalk in response to Aeromonas infection in Nile tilapia: A comparative study. Aquac. Int. 32, 545–562. https://doi.org/10.1007/s10499-023-01175-8 (2023).
Jia, R. et al. Antioxidative, anti-inflammatory, and hepatoprotective effects of resveratrol on oxidative stress-induced liver damage in tilapia (Oreochromis niloticus). Compar. Biochem. Physiol. Part C 215, 56–66 (2019).
Standen, B. T. et al. Dietary administration of a commercial mixed-species probiotic improves growth performance and modulates the intestinal immunity of tilapia (Oreochromis niloticus). Fish Shellfish Immunol. 49, 427–435 (2016).
Qiang, J. et al. The changes in cortisol and expression of immune genes of GIFT tilapia (Oreochromis niloticus) at different rearing densities under Streptococcus iniae infection. Aquac. Int. 24, 1365–1378. https://doi.org/10.1007/s10499-016-9995-y (2016).
Li, L. Y. et al. Inhibited carnitine synthesis impairs adaptation to high-fat diet in Nile tilapia (Oreochromis niloticus). Aquac. Rep. 16, 100249 (2020).
Elbialy, Z. I. et al. Exploring the multimodal role of Yucca schidigera extract in protection against chronic ammonia exposure targeting: Growth, metabolic stress, and inflammatory responses in Nile tilapia (Oreochromis niloticus L.). Animals 11, 2072. https://doi.org/10.3390/ani11072072 (2021).
Livak, K. J. & Schmittgen, T. D. Analysis of relative gene expression data using real-time quantitative PCR and the 2(−ΔΔCT) method. Methods 25(4), 402–408. https://doi.org/10.1006/meth.2001.1262 (2001).
Zhou, Y.-L. et al. High dietary lipid level alters the growth, hepatic metabolism enzyme, and anti-oxidative capacity in juvenile largemouth bass (Micropterus salmoides). Fish Physiol. Biochem. 46, 125–134 (2020).
Yin, P. et al. Dietary supplementation of bile acid attenuate adverse effects of high-fat diet on growth performance, antioxidant ability, lipid accumulation, and intestinal health in juvenile largemouth bass (Micropterus salmoides). Aquaculture 531, 735864 (2021).
Bright, L. A., Coyle, S. D. & Tidwell, J. H. Effect of dietary lipid level and protein energy ratio on growth and body composition of largemouth bass (Micropterus salmoides). J. World Aquac. Soc. 36, 129–134. https://doi.org/10.1111/j.1749-7345.2005.tb00139.x (2005).
Guo, J. et al. Effect of dietary lipid level on growth, lipid metabolism, and oxidative status of largemouth bass (Micropterus salmoides). Aquaculture 506, 394–400. https://doi.org/10.1016/j.aquaculture.2019.04.007 (2019).
Jin, M. et al. Dietary fenofibrate attenuated high-fat-diet-induced lipid accumulation and inflammation response partly through regulation of pparα and sirt1 in juvenile black seabream (Acanthopagrus schlegelii). Dev. Compar. Immunol. 109, 103691. https://doi.org/10.1016/j.dci.2020.103691 (2020).
Hinkle, R. T. et al. Skeletal muscle hypertrophy and anti-atrophy effects of clenbuterol are mediated by the β2-adrenergic receptor. Muscle Nerve 25, 729–734. https://doi.org/10.1002/mus.20684 (2002).
Spurlock, D. M., McDaneld, T. G. & McIntyre, L. M. Changes in skeletal muscle gene expression following clenbuterol administration. BMC Genom. 7, 1–15. https://doi.org/10.1186/1471-2164-7-1 (2006).
Hamano, Y. Influence of lipoic acid on lipid metabolism and beta-adrenergic response to intravenous or oral administration of clenbuterol in broiler chickens. Reprod. Nutr. Dev. 42, 307–316 (2002).
Rehfeldt, C., Schadereit, R., Weikard, R. & Reichel, K. Effect of clenbuterol on growth, carcass, and skeletal muscle characteristics in broiler chickens. Br. Poult. Sci. 38, 366–373 (1997).
Shappell, N. W., Billey, L. O. & Feil, V. J. Effects of clenbuterol on body stores of polychlorinated dibenzofurans (PCDF) and dibenzo-p-dioxins (PCDD) in rats. J. Anim. Sci. 80, 2461–2475 (2002).
Zhao, Z. et al. Clenbuterol distribution and residues in goat tissues after the repeated administration of a growth-promoting dose. J. Anal. Toxicol. 39, 465–471. https://doi.org/10.1093/jat/bkv038 (2015).
Perez-Lamas, F. & Zamora, S. Influence of dietary protein level on growth: Effect of clenbuterol. Compar. Biochem. Physiol. Part A 99, 671–675 (1991).
Perez-Lamas, F. & Zamora, S. The influence of clenbuterol on growth in rats. Compar. Biochem. Physiol. Part A 99, 242–245 (1991).
Jiang, G. L. et al. Randomized double-blinded and placebo-controlled trial of clenbuterol in denervated muscle atrophy. Int. Schol. Res. Netw. Pharm. 2011, 981254 (2011).
Huckins, D. S. & Lemons, M. F. Myocardial ischemia associated with Clenbuterol abuse: Report of two cases. J. Emerg. Med. 44, 444–449 (2013).
Meister, J. et al. Clenbuterol exerts antidiabetic activity through metabolic reprogramming of skeletal muscle cells. Nat. Commun. 13(1), 22. https://doi.org/10.1038/s41467-021-27540-w (2022).
Vrba, R., Gaitonde, M. K. & Richter, D. The conversion of glucose carbon into protein in the brain and other organs of the rat. J. Neurochem. 9, 465–475 (1962).
David, M. & Avi-Dor, Y. Stimulation of protein synthesis in cultured heart muscle cells by glucose. Biochem. J. 150, 405–411 (1975).
Du, Z. Y. et al. Biochemical hepatic alterations and body lipid composition in the herbivorous grass carp (Ctenopharyngodon idella) fed high-fat diets. Br. J. Nutr. 95(5), 905–915 (2006).
Lu, K. L. et al. Hepatic β-oxidation and regulation of carnitine palmitoyltransferase (CPT) I in blunt snout bream (Megalobrama amblycephala) fed a high-fat diet. PLOS One 9, e93135 (2014).
Guo, X. et al. Effects of lipid-lowering pharmaceutical clofibrate on lipid and lipoprotein metabolism of grass carp (Ctenopharyngodon idella Val.) fed with the high non-protein energy diets. Fish Physiol. Biochem. 41, 331–343. https://doi.org/10.1007/s10695-014-9986-8 (2015).
Li, Y. et al. Growth performance, fatty-acid composition, lipid deposition, and hepatic-lipid metabolism-related gene expression in juvenile pond loach (Misgurnus anguillicaudatus) fed diets with different dietary soybean oil levels. J. Fish Biol. 92, 17–33. https://doi.org/10.1111/jfb.13472 (2018).
Minghetti, M., Leaver, M. J. & Tocher, D. R. Transcriptional control mechanisms of genes of lipid and fatty acid metabolism in the Atlantic salmon (Salmo salar L.) established cell line SHK-1. Biochim. Biophys. Acta BBA Mol. Cell Biol. Lipids 1811, 194–202. https://doi.org/10.1016/j.bbalip.2010.12.008 (2011).
Li, Y., Gao, J. & Huang, S. Effects of different dietary phospholipid levels on growth performance, fatty acid composition, PPAR gene expressions, and antioxidant responses of blunt snout bream (Megalobrama amblycephala) fingerlings. Fish Physiol. Biochem. 41, 423–436. https://doi.org/10.1007/s10695-014-9994-8 (2015).
Wang, X. X., Li, Y. J., Hou, C. L., Gao, Y. & Wang, Y. Z. Physiological and molecular changes in large yellow croaker (Pseudosciaena crocea R.) with high-fat diet-induced fatty liver disease. Aquac. Res. 46, 272–282. https://doi.org/10.1111/are.12176 (2015).
Kim, H. K., Della-Fera, M. A., Hausman, D. B. & Baile, C. A. Effect of clenbuterol on apoptosis, adipogenesis, and lipolysis in adipocytes. J. Physiol. Biochem. 66, 197–203. https://doi.org/10.1007/s13105-010-0024-8 (2010).
Lu, K. L. et al. Hepatic triacylglycerol secretion, lipid transport, and tissue lipid uptake in blunt snout bream (Megalobrama amblycephala) fed high-fat diet. Aquaculture 40, 160–168. https://doi.org/10.1016/j.aquaculture.2013.06.003 (2013).
Marchesini, G. et al. Association of nonalcoholic fatty liver disease with insulin resistance. Am. J. Med. 107(5), 450–455. https://doi.org/10.1016/S0002-9343(99)00271-5 (1999).
Petersen, K. F. et al. Increased prevalence of insulin resistance and nonalcoholic fatty liver disease in Asian-Indian men. Proc. Natl. Acad. Sci. 103(48), 18273–18277. https://doi.org/10.1073/pnas.0608537103 (2006).
Samuel, V. T. & Shulman, G. I. Mechanisms for insulin resistance: Common threads and missing links. Cell 148(5), 852–871. https://doi.org/10.1016/j.cell.2012.02.017 (2012).
Scheidegger, K., Robbins, D. C. & Danforth, E. Effects of chronic beta receptor stimulation on glucose metabolism. Diabetes 33(12), 1144–1149. https://doi.org/10.2337/diab.33.12.1144 (1984).
Jacob, S., Fogt, D., Dietze, G. & Henriksen, E. J. The β-adrenergic modulator celiprolol reduces insulin resistance in obese Zucker rats. Life Sci. 64(22), 2071–2079. https://doi.org/10.1016/S0024-3205(99)00154-X (1999).
Pan, S. J. et al. Effects of clenbuterol on insulin resistance in conscious obese Zucker rats. Am. J. Physiol. Metab. 280(4), E554–E561. https://doi.org/10.1152/ajpendo.2001.280.4.e554 (2001).
Codoñer-Franch, P. & Tavárez-Alonso, S. Murine models of non-alcoholic fatty liver disease: Useful tools for the study of a multisystemic metabolic disease with complex pathophysiology. J. Lab. Clin. Med. 147(5), 277–290. https://doi.org/10.1016/j.lab.2006.02.003 (2010).
Da Silva, L. A., Pinheiro, J. P. & Teixeira, M. M. The role of high-fat diets in blood rheology: What is the link with development of cardiovascular diseases?. Clin. Hemorheol. Microcirc. 61(3), 327–338. https://doi.org/10.3233/CH-151999 (2015).
DiNicolantonio, J. J., Lucan, S. C. & O’Keefe, J. H. The evidence for saturated fat and for sugar related to coronary heart disease. Progr. Cardiovasc. Dis. 58(5), 464–472. https://doi.org/10.1016/j.pcad.2015.11.006 (2016).
Rocha, D. M., Caldas, A. P. S., Oliveira, L. L., Bressan, J. & Hermsdorff, H. H. M. Saturated fatty acids trigger TLR4-mediated inflammatory response. Atherosclerosis 244, 211–215. https://doi.org/10.1016/j.atherosclerosis.2015.11.008 (2016).
Da Silva, R. P., Kelly, K. B., Al Rajabi, A. & Jacobs, R. L. Novel insights on interactions between folate and lipid metabolism. BioFactors 40(3), 277–283. https://doi.org/10.1002/biof.1159 (2014).
Duncan, N. D. D., Williams, G. S. & Lynch, G. S. Deleterious effects of chronic Clenbuterol treatment on endurance and sprint exercise performance in rats. Clin. Sci. 98(3), 339–347 (2000).
- Abdulredha, W. S. Effect of Clenbuterol using as weight loose on liver enzymes and lipids profile. Iraq Med. J., 3(2). https://www.iraqmedj.org/index.php/imj/article/view/641 (2019)
Chen, Q.-Q. et al. Effects of berberine on the growth and immune performance in response to ammonia stress and high-fat dietary in blunt snout bream (Megalobrama amblycephala). Fish Shellfish Immunol. 55, 165–172 (2016).
Zhang, Y.-X. et al. Inhibition of intestinal lipases alleviates the adverse effects caused by high-fat diet in Nile tilapia. Fish Physiol. Biochem. 46, 111–123 (2020).
Mohamed, R. A. et al. Dietary clenbuterol modifies the expression of genes involved in the regulation of lipid metabolism and growth in the liver, skeletal muscle, and adipose tissue of Nile tilapia (Oreochromis niloticus). Aquac. Rep. 17, 100319 (2020).
Ijiri, D., Ishitani, K., Shimamoto, S., Ishimaru, Y. & Ohtsuka, A. The effects of intraperitoneal clenbuterol injection on protein degradation and myostatin expression differ between the sartorius and pectoral muscles of neonatal chicks. General Compar. Endocrinol. 206, 111–117 (2014).
Kraus, V. B., Huebner, J. L. & Fink, C. Urea as a passive transport marker for arthritis biomarker studies. Arthritis Rheumatol. 46, 420–427 (2002).
Bai, D. & Song, J. Serum metabolic biomarkers for syndrome of phlegm and blood stasis in hyperlipidemia and atherosclerosis. J. Trad. Chin. Med. 32, 578–583 (2012).
Lichtenstein, A. H. & Schwab, U. S. Relationship of dietary fat to glucose metabolism. Atherosclerosis 150(2), 227–243. https://doi.org/10.1016/S0021-9150(99)00504-3 (2000).
Shahwan, M., Alhumaydhi, F., Ashraf, G., Hasan, P. & Shamsi, A. Role of polyphenols in combating type 2 diabetes and insulin resistance. Int. J. Biol. Macromol. 206, 567–579 (2022).
König, M., Bulik, S. & Holzhütter, H. G. Quantifying the contribution of the liver to glucose homeostasis: A detailed kinetic model of human hepatic glucose metabolism. PLoS Comput. Biol. 8(6), e1002577. https://doi.org/10.1371/journal.pcbi.1002577 (2012).
Mensinger, A. F., Walsh, P. J. & Hanlon, R. T. Blood biochemistry of the oyster toadfish. J. Aquat. Anim. Health 17(17), 170–176 (2005).
Takeuchi-Yorimoto, A. et al. Persistent fibrosis in the liver of choline-deficient and iron-supplemented l-amino acid-defined diet-induced nonalcoholic steatohepatitis rat due to continuing oxidative stress after choline supplementation. Toxicol. Appl. Pharmacol. 268(3), 264–277 (2013).
Jia, R. et al. Effects of high-fat diet on steatosis, endoplasmic reticulum stress, and autophagy in liver of tilapia (Oreochromis niloticus). Front. Mar. Sci. 7, 363 (2020).
Ji, R. et al. Regulation of adiponectin on lipid metabolism in large yellow croaker (Larimichthys crocea). Biochim. Biophys. Acta BBA Mol. Cell Biol. Lipids 1865, 158711 (2020).
Spahis, S., Delvin, E., Borys, J. M. & Levy, E. Oxidative stress as a critical factor in nonalcoholic fatty liver disease pathogenesis. Antioxid. Redox Signal. 26(11), 519–541 (2017).
Adjoumani, J.-J.Y., Wang, K., Zhou, M., Liu, W. & Zhang, D. Effect of dietary betaine on growth performance, antioxidant capacity, and lipid metabolism in blunt snout bream fed a high-fat diet. Fish Physiol. Biochem. 43, 1733–1745 (2017).
Ma, Q. Role of Nrf2 in oxidative stress and toxicity. Ann. Rev. Pharmacol. Toxicol. 53, 401–426 (2013).
Narasimhan, M. et al. Hydrogen peroxide responsive miR-153 targets Nrf2/ARE cytoprotection in paraquat-induced dopaminergic neurotoxicity. Toxicol. Lett. 228, 179–191 (2014).
Chambel, S. S., Santos-Goncalves, A. & Duarte, T. L. The dual role of Nrf2 in nonalcoholic fatty liver disease: Regulation of antioxidant defenses and hepatic lipid metabolism. BioMed Res. Int. 2015, 597134 (2015).
Jia, R. et al. Effects of high-fat diet on antioxidative status, apoptosis, and inflammation in liver of tilapia (Oreochromis niloticus) via Nrf2TLRs and JNK pathways. Fish Shellfish Immunol. 104, 391–401 (2020).
Qiang, J. et al. High fat diet-induced miR-122 regulates lipid metabolism and fat deposition in genetically improved farmed tilapia (GIFT Oreochromis niloticus) liver. Front. Physiol. 9, 1422 (2018).
Xu, F. et al. Effects of α-lipoic acid on growth performance, body composition, antioxidant profile, and lipid metabolism of the GIFT tilapia (Oreochromis niloticus) fed high-fat diets. Aquac. Nutr. 25, 585–596 (2019).
Duan, Y. et al. Inflammatory links between high fat diets and diseases. Front. Immunol. 9, 2649 (2018).
Piazzon, C., Forlenza, M. & Wiegertjes, G. Anti-inflammatory and modulatory activities of carp IL-10. Fish Shellfish Immunol. 34, 1672–1673. https://doi.org/10.1016/j.fsi.2013.03.120 (2013).
Polyzos, S. A., Kountouras, J. & Mantzoros, C. S. Adipokines in nonalcoholic fatty liver disease. Metabolism 65(8), 1062–1067 (2016).
Yu, J., Marsh, S., Hu, J., Feng, W. & Wu, C. The pathogenesis of nonalcoholic fatty liver disease: Interplay between diet, gut microbiota, and genetic background. Gastroenterol. Res. Pract. 2016, 1–13 (2016).
Tilg, H. & Moschen, A. R. Insulin resistance, inflammation, and non-alcoholic fatty liver disease. Trends Endocrinol. Metab. 19(10), 371–379. https://doi.org/10.1016/j.tem.2008.08.005 (2008).
Catrysse, L. & van Loo, G. Inflammation and the metabolic syndrome: The tissue-specific functions of NF-kB. Trends Cell Biol. 27(6), 417–429. https://doi.org/10.1016/j.tcb.2017.01.006 (2017).
Kalinovich, A. et al. Treatment with a β-2-adrenoceptor agonist stimulates glucose uptake in skeletal muscle and improves glucose homeostasis, insulin resistance, and hepatic steatosis in mice with diet-induced obesity. Diabetologia 63(8), 1603–1615. https://doi.org/10.1007/s00125-020-05171-y (2020).
Dos Santos, J. I. C., Burkow, I. & Jobling, M. Patterns of growth and lipid deposition in cod (Gadus morhua L.) fed natural prey and fish-based feeds. Aquaculture 110, 173–189 (1993).
Torstensen, B. E., Lie, Ø. & Frøyland, L. Lipid metabolism and tissue composition in Atlantic salmon (Salmo salar L.)—effects of capelin oil, palm oil, and oleic acid-enriched sunflower oil as dietary lipid sources. Lipids 35, 653–664 (2000).
Du, Z. Y. et al. Effect of dietary lipid level on growth, feed utilization, and body composition by juvenile grass carp (Ctenopharyngodon idella). Aquac. Nutr. 11, 139–146 (2005).
Wang, J. T. et al. Effect of dietary lipid level on growth performance, lipid deposition, and hepatic lipogenesis in juvenile cobia (Rachycentron canadum). Aquaculture 249, 439–447 (2005).
Posey, K. A. et al. Hypothalamic proinflammatory lipid accumulation, inflammation, and insulin resistance in rats fed a high-fat diet. Am. J. Physiol. Endocrinol. Metab. 296, E1003–E1012 (2009).
Acknowledgements
The authors would like to acknowledge the support of the Biotechnology Lab., Faculty of Aquatic and Fisheries Sciences, Kafrelsheikh University, Egypt where the laboratory investigations were carried out.
Funding
Open access funding provided by The Science, Technology & Innovation Funding Authority (STDF) in cooperation with The Egyptian Knowledge Bank (EKB).
Author information
Authors and Affiliations
Contributions
Aya G. Rashwan: Methodology, Formal analysis, Conceptualization. Doaa H. Assar: Writing original research, blood and serum analysis, resources. Abdallah S. Salah: Methodology, statistical analysis, resources.Muyessar H. Abualreesh : Resources, reviewing-editing. Norah Althobaiti: Resources, reviewing-editing. Shimaa Salem: ration formulation, diet analysis. Zizy I. Elbialy: Writing – review & editing, Supervision, Methodology, molecular analysis.
Corresponding author
Ethics declarations
Competing interests
The authors declare that they have no known competing financial interests or personal relationships that could have appeared to influence the work reported in this paper.
Ethical approval
All methods were carried out in accordance with relevant guidelines and regulations of Kafrelsheikh University ethical committee (IAACUC-KSU-028-2022). All methods are reported in accordance with ARRIVE guidelines (https://arriveguidelines.org).
Additional information
Publisher’s note
Springer Nature remains neutral with regard to jurisdictional claims in published maps and institutional affiliations.
Supplementary Information
Rights and permissions
Open Access This article is licensed under a Creative Commons Attribution 4.0 International License, which permits use, sharing, adaptation, distribution and reproduction in any medium or format, as long as you give appropriate credit to the original author(s) and the source, provide a link to the Creative Commons licence, and indicate if changes were made. The images or other third party material in this article are included in the article’s Creative Commons licence, unless indicated otherwise in a credit line to the material. If material is not included in the article’s Creative Commons licence and your intended use is not permitted by statutory regulation or exceeds the permitted use, you will need to obtain permission directly from the copyright holder. To view a copy of this licence, visit http://creativecommons.org/licenses/by/4.0/.
About this article
Cite this article
Rashwan, A.G., Assar, D.H., Salah, A.S. et al. Assessing clenbuterol’s modulation of metabolic and inflammatory pathways in Nile tilapia (Oreochromas niloticous) fed high fat diet. Sci Rep 15, 1581 (2025). https://doi.org/10.1038/s41598-024-84814-1
Received:
Accepted:
Published:
Version of record:
DOI: https://doi.org/10.1038/s41598-024-84814-1









