Figure 3
From: Evolutionary game of international trade network based on trade policy differences

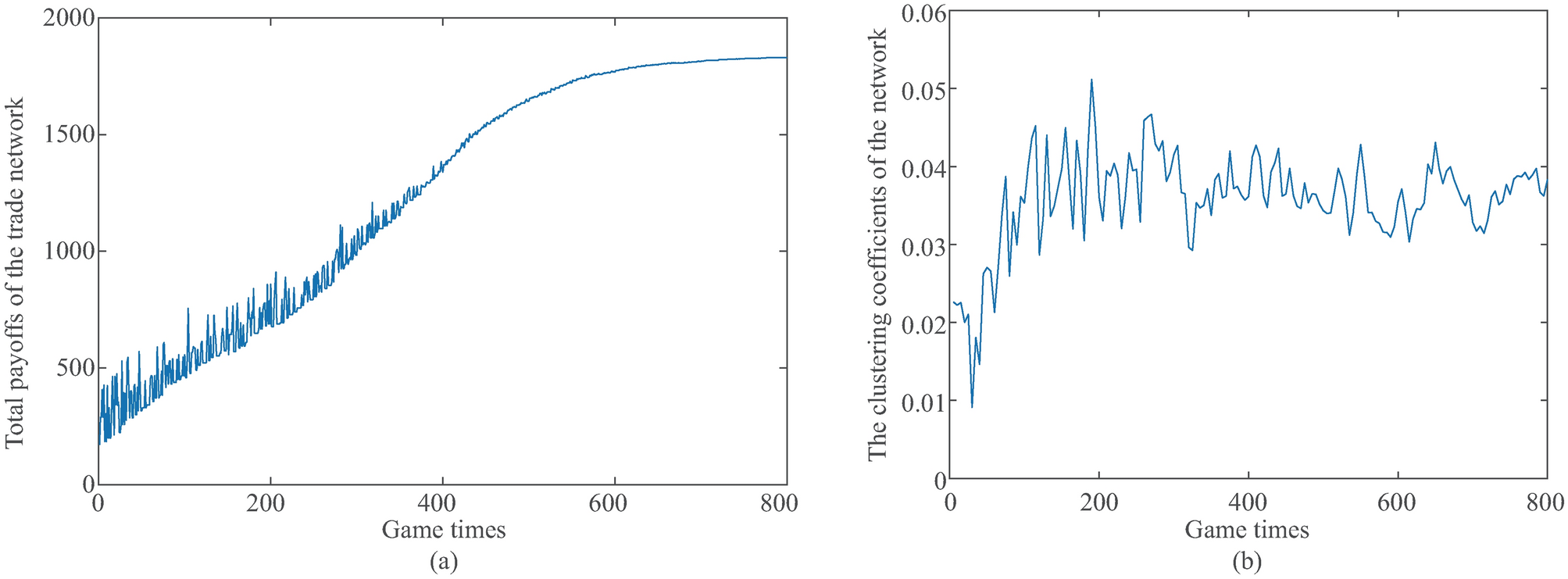
The network structure and the game strategies coevolution game scenario. (a)Â The overall payoffs of the trade networks in the coevolution game process. (b)Â The changes of the clustering coefficient of the network in the process of coevolution game.