Abstract
Trade policy differences among different countries are important factors affecting international trade cooperation. In this paper, we build an evolutionary game model of international trade in which complex networks portray game relationships and trade policy differences are game strategies of players. Compared with the fully coupled game relationship and two-strategies game, the game relationship dynamic adjustment, trade policy differences and stochastic game payoffs in this paper are more in line with the real international trade context. We use mathematical analyses and computer simulation methods to reveal the impact of trade policy differences on the game payoffs of countries and the overall international trade networks. The results show that the reduce of the tolerance “t” of fair-trade is difficult to eliminate the opportunism trade policy and lead to a decline in the game payoffs of all countries and the global trading network. Dynamic adjustment of trade relations can not only improve the game payoffs of all countries and the trade network, but also offset the negative impact of the decline of the tolerance “t”. In terms of long-term, only the win-win trade policy can maximize the payoffs of the global trade network and achieve a balanced distribution of trade benefits.
Similar content being viewed by others
Introduction
The world’s largest economy, the United States, has tended to implement trade protectionism since Donald Trump took office as the 45th president1. In recent years, the protectionist trade policies have caused the trade relations between China and the United States increasingly nervous and many disputes also keep occurring. The trade policy differences of major economies may give rise to a new wave of protectionism, which has a negative impact on the economic globalization and global welfare. In this context, how to eliminate divergences in trade policies and promote trade cooperation is an important issue.
Game theory is an important method to study interactive behavior and applies to various fields2,3. In 1944, game theory was applied to the field of economics by John von Neumann & Oskar. As a result of this study, game theory was extended to study a wide range of economic and business problems4,5,6. International trade is the typically economic interaction behavior of different countries, and trade cooperation is influenced by the different trade policy and interests. International trade game is usually portrayed by the Prisoner’s Dilemma model in which all countries have a common game payoff from the free trade policy, but the trade protection policy often occurs for the development of domestic industries. Evolutionary games can effectively reveal the emergence mechanism of cooperative behavior in international trade7,8. Grossman et al.9 studied noncooperative and cooperative trade game models in which domestic politics determine the trade objectives. The results show that the game can reach an equilibrium of taxes, subsidies and political for each trade country. Yin et al.10 analyzed the game strategies and the game outcome of U.S.A and China during their trade war. Namaki et al.11 built the sequential chicken trade game model to simulate the non-cooperative game of the trade war. The optimal strategy is that both players of the game choose either free trade policy or protectionism policy at the same time. MccGwire et al.12 studied the Nash equilibrium of the international trade game model and shown that the ‘Tariff’ strategy is chosen as the optimal strategy for the both game countries even though the ‘Free Trade’ strategy can obtain more game payoffs. Krapohl et al.13 acknowledged that trade cooperation is not a stable equilibrium and absolute trade liberalization can be exploited by protectionist trade policies.
However, the above studies on the evolutionary game of international trade suppose that the players have two game strategies and the game relations are fixed and uniformly interactive. In fact, the game is dynamic competition between multiple strategies and the game relations are also dynamic and non-uniform interactive. If countries are considered as nodes and trade transactions between countries are considered as connected edges, complex networks can effectively express the non-uniform international trade relationship. Complex networks have been developed over two decades and many important results14,15,16 have been presented. Complex networks theory promotes the research boom of international trade network theory17,18. The study of international trade networks focused on three perspectives. Firstly, the topological characteristics and structural indicators of trade networks are studied from a holistic or local perspective19,20. In addition, the characteristics of trade networks focus on special area, such as mineral resources, crop trade, mineral resources, manufacturing and so on21,22. Moreover, international trade network dynamic evolution models are built, which can effectively analyze the final evolutionary state of trade networks structures23,24. These studies of trade networks focused on the network topology and structure. However, the dynamical processes of the international trade networks, especially game dynamics25,26,27,28, rarely been addressed.
Fair trade is an important basis for international trade transactions, which can be traced back to the‘Fair Trade Movement’of the British textile industry in the late 19th century. We believe that absolute fairness is difficult to achieve and the trade cooperation for fair policy requires a certain tolerance for the absolutely equitable benefits. In fact, there are different policies or concepts for international trade due to different countries inconsistencies in development stages, conditions and political demands. In this paper, we propose an evolutionary game model of international trade in which game relationships are portrayed by complex networks, players have multiple strategies and the game relationship is dynamic adjustment. We use theoretical analysis and computer simulation to study the influence of trade policy differences and the tolerance of fair policy on the game payoffs of countries and the overall interests of trade network. Meanwhile, we study the evolutionary game process and the emergent mechanisms of trade cooperation.
The game models
In fact, the different of cultural backgrounds, development stages, political demands and other national conditions for different countries can form the divergence of the trade policy which could be an important cause of protectionism and trade cooperation. We suppose that there are three trade policies for different countries: fair-trade (FT), opportunism (OP) and win-win (WW). In this paper, we regard the trade policy differences as the different game strategies which give rise to different demands for trade benefits. We can explain the economic and practical meaning of these three game strategies in terms of trade benefits requirements.
-
(i)
FT strategies are the fair trade policies. Its require that the benefits of trade be distributed equally, but the absolute fairness is difficult to achieve. Therefore, the game payoffs of FT strategies need to have a certain degree of deviation for the absolutely equitable benefits. In this paper, the deviation of the game payoffs for FT strategies can be called the degree of tolerance “t”. In fact, countries with fair trade policies have a limited tolerance for the degree of deviation, so we suppose the degree of tolerance satisfies
$$\begin{aligned} 0\le t< 0.5 \end{aligned}$$(1)When the trade benefits of FT strategies \(\pi _{\textrm{FT}}\) exceed an upper limit, the countries will share benefits with their trade partners to maintain long-term trade cooperation. However, the trade benefits below the lower bound, the countries will resort to the trade protection and the trade cooperation fails. In order to maintain trade cooperation and relative fairness, we suppose that the desired trade benefits of FT strategies satisfy
$$\begin{aligned} 0.5-t\le \pi _{\textrm{FT}}\le 0.5+t. \end{aligned}$$(2) -
(ii)
OP strategies are the opportunism trade policies which are the antithesis of the FT strategies. In practice, the less developed country in economy or the countries with location advantages expect to benefit from unilateral preferences or assistance in international trade. Therefore, these countries with OP strategies expect to obtain a larger share of trade benefits and the desired trade benefits satisfy
$$\begin{aligned} \pi _{\textrm{op}} > 0.5. \end{aligned}$$(3) -
(iii)
WW strategies are the win-win trade policies. WW strategies try to find all opportunities to achieve the trade cooperation for the trade benefits. Suppose that the strategies not presuppose the relative shares of trade benefits and only require that trade benefits growth through trade cooperation. The desired trade benefits of WW strategies satisfy
$$\begin{aligned} \pi _{\textrm{ww}}> 0. \end{aligned}$$(4)
Therefore, this strategy is more inclusive to trade partners and more flexible in its demands for trade benefits.
The two countries i and j with trade relations in a game round can obtain the trade benefits \(\pi _{i}\) and \(\pi _{j}\), respectively. The trade benefits of \(\pi _{i}\) and \(\pi _{j}\) are randomly and obey uniformly distributed in the interval [0, 1]. The total benefits of trade cooperation for the two countries satisfy
In each game round, if the values of \(\pi _{i}\) and \(1-\pi _{i}\) satisfy the desired trade benefits (Eqs. 2 to 4) in different trade strategies, the trade cooperation can be achieved. Otherwise, the trade transactions could not be carried out and the trade benefits of the two countries are zero.
When \(0< \pi _{i}< 0.5-t\), the trade benefits of opponent j satisfy \(0.5+t\le \pi _{j}=1-\pi _{i}< 1\). If player i is the OP or FT trade strategies, the trade benefits of player i unable to meet the conditions \(0.5-t\le \pi _{\textrm{FT}}\le 0.5+t\) and \(\pi _{\textrm{OP}}> 0.5\). Therefore, no matter what the strategies chosen by the opponent j, the trade cooperation cannot be achieved and trade benefits of the both players are 0. If player i is the WW trade strategy which means that player i is willing to accept a relatively small trade benefit \(\pi _{i}> 0\), there are three scenarios for player j.
-
(i)
The opponent j chooses the OP strategy and \(\pi _{j}=1-\pi _{i}> 0.5\) which satisfy the benefits demands of \(\pi _{\textrm{OP}}> 0.5\).
-
(ii)
The opponent j chooses the FT strategy and \(0.5+t< \pi _{j}=1-\pi _{i}< 1\) which satisfy the lower bound of \(0.5-t\le \pi _{\textrm{FT}}\), but it exceeds the upper bound of \(\pi _{\textrm{FT}}\le 0.5+t\). For the consideration of fair trade and maintenance of long-term cooperative relationship between the two player, the opponent j will adjust the trade benefits and the trade benefits of the two sides are \(0.5-t\) and \(0.5+t\), respectively.
-
(iii)
The opponent j chooses the WW strategy, \(\pi _{j}=1-\pi _{i}> 0\) which satisfy \(\pi _{\textrm{WW}}> 0\) and trade cooperation can be reached.
Therefore, the game matrix of the trade benefits for \(0< \pi _{i}< 0.5-t\) is shown in Table 1.
Similarly, we discuss the different values of \(\pi _{i}\) and the game matrix of trade benefits are shown in Tables 2, 3, and 4.
On the basis of the above one-shot game matrix, we discuss the repeated game payoffs of different strategy for the different intervals of values of \(\pi _{i}\).
-
(i)
The player with FT strategy may encounter opponents with FT, OP and WW strategies, respectively. When strategy combinations are FT–OP, it can be seen that the only way to reach trade cooperation is that \(0.5-t\le \pi _{\textrm{FT}}\le 0.5\) and the benefits distribution can be accepted by the two sides according to the game matrix in Table 1, 2, 3, and 4. Therefore, the expected payoffs of FT strategy are
$$\begin{aligned} \pi _{\textrm{FT}}^\mathrm {FT-OP}=\int _{0.5-t}^{0.5}\pi \textrm{d}\pi =(t-t^{2})/2. \end{aligned}$$(6)Similarly, in the strategy combinations of FT–FT and FT–WW, the expected payoffs of FT strategy can be express as Eqs. (7) and (8).
$$\begin{aligned} \pi _{\textrm{FT}}^\mathrm {FT-FT}&=\int _{0.5-t}^{0.5+t}\pi \textrm{d}\pi =t \end{aligned}$$(7)$$\begin{aligned} \pi _{\textrm{FT}}^\mathrm {FT-WW}&=\int _{0.5-t}^{0.5+t}\pi \textrm{d}\pi +\int _{0.5+t}^{1}(0.5+t) \textrm{d}\pi =-t^{2}+t+0.25 \end{aligned}$$(8) -
(ii)
The player with the strategy of OP in different strategy combination can obtain the expected payoffs
$$\begin{aligned} \pi _{\textrm{OP}}^\mathrm {OP-OP}&=0 \end{aligned}$$(9)$$\begin{aligned} \pi _{\textrm{OP}}^\mathrm {OP-FT}&=\int _{0.5}^{0.5+t}\pi \textrm{d}\pi =(t^{2}+t)/2\end{aligned}$$(10)$$\begin{aligned} \pi _{\textrm{OP}}^\mathrm {OP-WW}&=\int _{0.5}^{1}\pi \textrm{d}\pi =0.375 \end{aligned}$$(11) -
(iii)
The player with the strategy of WW in different strategy combination can obtain the expected payoffs
$$\begin{aligned} \pi _{\textrm{WW}}^{WW-OP}&=\int _{0}^{0.5}\pi \textrm{d}\pi =0.125\end{aligned}$$(12)$$\begin{aligned} \pi _{\textrm{WW}}^{WW-FT}&=\int _{0}^{0.5-t}(0.5-t) \textrm{d}\pi +\int _{0.5-t}^{0.5+t}\pi \textrm{d}\pi =t^{2}+0.25\end{aligned}$$(13)$$\begin{aligned} \pi _{\textrm{WW}}^{WW-WW}&=\int _{0}^{1}\pi \textrm{d}\pi =0.5 \end{aligned}$$(14)
According to Eqs. (6)–(14), we can obtain expected payoffs matrix of the repeated game as is shown in Table 5. From Table 5, we know that the OP strategy cannot cooperate with other strategies, and the expected payoffs of the OP strategy in the repeated game does not exceed 0.375. The expected payoffs of FT strategy in the repeated game are affected by the degree of tolerance “t”. According to the range of values of t, we know that the expected payoffs of FT strategy are in the interval of [0, 0.5). It’s worth mentioning that the maximum expected payoffs of repeated games for different strategies are 0.5 which is the result of the repeated games between the strategy combinations of win-win.
The game of international trade
The theoretical analysis
In the trade network, the trad countries are regard as nodes and trade transactions between countries are regard as connected edges. In the game, the game payoffs of countries are affected not only by their own trade strategies, but also by the distribution of various strategies in the trade network. In addition, the responsible countries in the international trade should consider their own payoffs and the maximization of the overall payoffs from the international trade cooperation.
Suppose that the total number of nodes is m and the strategies of OP, FT and WW are randomly and uniformly distributed in the trade network. The proportion of the three strategies are \(p_{\textrm{OP}}\), \(p_{\textrm{FT}}\), \(p_{\textrm{WW}}\) and satisfy \(p_{\textrm{OP}}+p_{\textrm{FT}}+p_{\textrm{WW}}=1\). For n rounds game, the expected cumulative payoffs of FT strategies in the fully connected network satisfies
If the proportion of FT strategies in the trade network is large enough, we have \(mp_{\textrm{FT}}-1\approx mp_{\textrm{FT}}\). Substituting Eqs. (6)–(8) into the Eq. (15), we have
Similarly, the cumulative expected payoff of the OP strategies in the network game satisfies
The cumulative expected payoff of the WW strategies in the network game satisfies
From Eqs. (17)–(18), we know that the cumulative expected payoffs of all strategies are affected by the degree of tolerance “t”. Especially, Eq. (17) shows that the cumulative expected payoffs of OP strategies independent of the proportion of OP strategies.
Now we discuss maximizing the overall payoffs of trade networks. The overall payoffs \(U_{\textrm{G}}\) for the n-round game are
Substituting Eqs. (16)–(18) into (19) yields
This can be organized to yield
Since \(p_{\textrm{FT}}+p_{\textrm{OP}}+p_{\textrm{WW}}=1\), we can obtain that
In the Eq. (21), parameters n and m are constants. According to the constraints, we know
When \(p_{\textrm{WW}}+p_{\textrm{FT}}=1\) and \(t\rightarrow 0.5\), we can obtain that
Equation (22) shows that the overall payoffs of trade networks are maximized when opportunism strategy is eliminated from the trade network and fair trade strategy is shown to be very inclusive.
The simulation of the network game
In this section, we simulate the evolution game behavior in the uncoupled international trade network. We conducted a series of experiments to change the parameters such as the strategies probability, tolerance and strategy update, which only affect the time for the game to reach equilibrium, but do not affect the evolutionary trend, and therefore do not affect the experimental conclusions of this paper. The empirical study29 showed that the international trade network is heterogeneous, but not a typical scale-free network. We generate a regular lattice network with 225 nodes which represent over 220 countries and regions around the world, and then make this network moderately heterogeneous by breaking edges and reconnecting nodes. The network game model in this paper can be described as
-
(i)
The initial state of the nodes. Suppose that, at game round t, the frequencies of the three strategies are \(\textrm{F}_{\textrm{OP}}(t), \textrm{F}_{\textrm{FT}}(t)\) and \(\textrm{F}_{\textrm{WW}}(t)\), respectively. In the initial state of the game, each node randomly selects the initial strategy from the three strategies.
-
(ii)
The game payoffs. Each game round, node i obtains the payoffs from his/her neighbors j in terms of the expected payoff matrix (Table 5). The normalized game payoff of node i can be defined as
$$\begin{aligned} U_{i}=\frac{\sum _{j=\Omega _{i}}\pi (s_{i}, s_{j})}{k_{i}} \end{aligned}$$(23)where \(\Omega _{i}\) denotes the set of neighbors of node i, \(\pi (s_{i}, s_{j})\) is the strategies combination of node i and j. \(\sum _{j=\Omega _{i}}\pi (s_{i}, s_{j})\) denotes the cumulative payoffs obtained by node i game with neighbor j, and \(k_{i}\) denotes the number of connected edges of node i.
-
(iii)
The update rule of the game relations. Considering the relative stability of trade relations, we assume that node i reselects their neighbor nodes every 5 rounds of the game. In order to improve the benefit of trade game, node i randomly selects 10% of the neighbors whose average payoffs below that of the median of all neighbors, and breaks the connecting edges of the selected neighbors which contribute the least to node i’s payoffs. At the same time, node chooses the node with the highest cumulative payoff in the network to re-establish the new edges.
-
(iv)
The update rule of the game strategies. Considering the long-term nature of trade strategy, we assumed that 25 (or 200) rounds of the game are played before the strategy adjustment is made. The 20% of nodes whose average payoffs below that of the median of all neighbors are randomly selected, and these nodes learn the strategies from their neighborhood nodes with highest cumulative payoffs.
Firstly, we simulate the game of strategies dynamic evolution scenario. In the game model, the three strategies locate on the network and the game relationships are fixed. We study the influence of the decline of the tolerance “t” of the FT strategy on the payoffs of the three strategies and the whole network. Based on the realistic background, we suppose that the frequencies of the three strategies satisfies that \(\textrm{F}_{\textrm{OP}}(0)=0.4\), \(\textrm{F}_{\textrm{FT}}(0)=0.4\) and \(\textrm{F}_{\textrm{WW}}(0)=0.2\) and the initial value of the tolerance t = 0.3. In the evolutionary game, the value of the tolerance “t” decreases by 0.05 every 200 game rounds, the results after 1000 game rounds as is shown in Fig. 1. The results show that the decreases of the tolerance “t” can reduce the average payoffs of all strategies. Especially, the average payoffs decline of the \(\textrm{FT}\) strategy and the overall trade network are more significant. During the decreases of the tolerance “t”, the WW strategy replaces the FT strategy and the WW strategy becomes the largest contributor to the payoffs of the overall trade network.
The game of strategies dynamic evolution scenario. (a) The changes of the average payoffs of the three strategies in the evolution game process. (b) The three strategies contribute to the payoffs of the overall trade network in the evolution game process.
In addition, we simulate the network structure dynamic evolution scenario. In reality, countries spontaneously adjust trade relations for higher trad payoffs or the political purposes, which makes the trade network structure dynamic evolution in the game. Suppose that, in the initial state, the frequencies of the three strategies satisfy that \(\textrm{F}_{\textrm{OP}}(0)=0.4\), \(\textrm{F}_{\textrm{FT}}(0)=0.4\) and \(\textrm{F}_{\textrm{WW}}(0)=0.2\) and the value of the tolerance \(t=0.1\). The changes of average degree and the average payoffs of the three strategies are recorded in Fig. 2. The results show that evolutionary game can promote the adjustment of trade network relationships and the differentiation of the node’s degree. In particular, the node degree differentiation is more significant at earlier game time. The network relationship adjustment is conducive to the WW strategy access to more trading partners and improve the average payoffs of all strategies. Comparison of Figs. 1 and 2, we know that, for \(t=0.1\), the average payoffs of the three strategies and the payoffs of overall trade network have significant increase. The result shows that the dynamic evolution of the network structure somewhat offsets the negative impact of the decrease in tolerance “t”.
In summary, the decrease of the tolerance “t” in the network with fixed structure led to a decline in the payoffs of all nodes, and the payoffs of FT strategies are damaged more obviously. However, the dynamic adjustment of trade relations can effectively enhance the payoffs of all node and the overall trade network and promote the differentiation of the number of node’s trade partners.
The network structure dynamic evolution scenario. (a) The changes of average degree for different strategies in the evolution game process. (b) The changes of average payoffs of different strategies and the payoffs of overall trade network in the evolution game process.
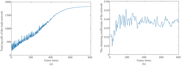
The network structure and the game strategies coevolution game scenario. (a) The overall payoffs of the trade networks in the coevolution game process. (b) The changes of the clustering coefficient of the network in the process of coevolution game.
Finally, we simulate the network structure and the game strategies coevolution game. In the long run, the trade strategies and the trade relations will be gradually updated through the learning mechanism, which form the self-organizing process of the trade network system. Supposing that the tolerance \(t = 0.1\), the trade relations are adjusted every 5 game rounds and the trade strategies are updated every 25 game rounds. The results of the coevolution game after 800 periods are shown in Figs. 3 and 4. Figure 3 shows that the growth of overall payoffs presents a similar “S” shape curve in the process of self-organization of the trade network. The overall trade payoffs grow faster and more volatile in the initial stage of the game and reach the state of convergence with payoffs-maximizing equilibrium eventually. At the same time, the clustering coefficient of the network is rapidly falling in the initial stage and then sharply rising, which corresponds to the self-organization process of deconstruction, reconstruction and gradual stabilization of the trade relations. The result can explain the overall payoffs of the trade network in the form of an “S” shape.
Figure 4a shows that the competitive relationships and the average payoffs of the three strategies in the coevolution game. At the initial game time, The WW strategy is at a quantitative disadvantage. However, after three stages of accumulation, rapid growth and stabilization, the WW strategy becomes the dominant strategy in the trade network. Figure 4b shows that the average payoffs of nodes are rising for all strategies during the accumulation, rapid growth stages of the WW strategy. The dominance of WW strategy leads to the presence of very few FT and OP strategies in the network, and the average payoffs of the two strategies decreases significantly. It is worth noting that the average payoffs of the WW strategy stabilize at the value of 0.5, which indicates that the fair distribution of trade payoffs is largely achieved.
The network structure and the game strategies coevolution game scenario. (a) The number of nodes for different strategies in the coevolution game process. (b) The average payoffs of nodes for different strategies in the process of coevolution game.
Conclusion
The trade interests of various countries are dynamic changes and are difficult to measure them uniformly. The conceptual differences in the distribution of trade benefits are an important reason for the continuous fermentation of global trade friction in recent years. In practice, can fair trade promote trade cooperation among countries, enhance the benefits of global trade and achieve the equitable distribution of trade benefits? To answer this question, this paper establishes an evolutionary game model of international trade network based on trade policy differences. We draw the main conclusions through mathematical analysis and computer simulation.
The developed countries emphasize the concept of fair trade to uphold the established order of benefit distribution and their own status. The reduction of the tolerance “t” of fair trade hardly eliminates opportunism, but instead results in the loss of countries’ game payoffs and the overall payoffs of trade networks. Especially, the decline of game payoffs of the fair trade strategy is more significant. In the long term, only when the win-win trade strategy dominates the network can maximize the overall benefits of the trade network and achieve the balanced distribution of trade benefits. The results indicate that only by exploring more opportunities for trade cooperation, optimizing global resource allocation, and implementing the win-win trade strategy can we achieve truly fair trade.
The policy implication of above findings are as follows. In the current international environment where certain developed powers are exhibiting a declining inclusiveness in trade fairness, all countries need to participate in the reconstruction of global supply chains to seek improvement of trade benefits. A responsible global power should uphold the concept of openness and win-win cooperation, strengthen the capacity of all-round and full-value chain cooperation, and cooperate with countries with different endowments and stages of development, so as to create greater trade benefits sharing with the world.
Looking ahead, further research could focus on how a large number of developing countries can optimize trade partnerships by weighing immediate benefits against long-term benefits, and through the accumulation of long-term trade benefits and the evolution of trade concepts, grow from a “free-rider” role in global trade to a contributor to the benefits of global trade, and thus influence the pattern of global trade.
Data availability
The datasets used and/or analysed during the current study available from the corresponding author on reasonable request.
References
Ikenberry, G. J. The plot against American foreign policy: Can the liberal order survive?. Foreign Aff. 96(3), 2–9 (2017).
Xie, K. & Liu, T. The regulation of good and evil promotes cooperation in public goods game. Appl. Math. Comput. 478, 128844 (2024).
Chang, C. & Tian, J. C. Game theory: Concepts, applications, and insights from operations research. J. Comput. Technol. Appl. Math. 4, 53–59 (2024).
Samuelson, L. Game theory in economics and beyond. J. Econ. Perspect. 4, 107–130 (2016).
Fu, Q. et al. Expectations-based loss aversion in contests. Games Econ. Behav. 133, 1–27 (2022).
Shen, A. Z., Gao, X. & Wang, X. P. Optimal administrative response to selfish behaviors in urban public management: The role of zero-determinant strategies. J. Math. 1, 1891679 (2021).
Mughwai, V. L. Game theory and its application in international trade: Use of strategic games in trade policy. Acad. J. Econ. Stud. 2, 96–101 (2020).
Mao, R., Lee, J. & Zeng, B. How does China respond to U.S. trade protection policies?—The perspective of game theory. In Journal of Physics: Conference Series 3(1168), 032026 (2019).
Grossman, G. M. & Helpman, E. Trade wars and trade talks. J. Polit. Econ. 103(4), 675–708 (1995).
Yin, J. Z. & Hamilton, M. H. The conundrum of US-China trade relations through game theory modelling. J. Appl. Bus. Econ. 20(8), 133–150 (2018).
El Namaki, M. S. S. Trump, Xi and game theory. Sch. Int. J. Bus. Policy Gov. 5(5), 1–6 (2018).
MccGwire, J. A game theory analysis of Donald Trump’s proposed tariff on Chinese exports. Stud. Econ. Rev. 31, 69–77 (2018).
Krapohl, S., Václav, O. & Dawid, M. W. The instability of globalization: Applying evolutionary game theory to global trade cooperation. Public Choice 188, 31–51 (2021).
D’Souza, R. M., di Bernardo, M. & Liu, Y. Y. Controlling complex networks with complex nodes. Nat. Rev. Phys. 5(4), 250–262 (2023).
Artime, O. et al. Robustness and resilience of complex networks. Nat. Rev. Phys. 6(2), 114–131 (2024).
Böttcher, L. & Mason, A. P. Complex networks with complex weights. Phys. Rev. E 109, 024314 (2024).
Ferrier, G. D., Reyes, J. & Zhu, Z. Technology diffusion on the international trade network. J. Public Econ. Theory 18(2), 291–312 (2016).
Liu, L. et al. Preferential attachment, R &D expenditure and the evolution of international trade networks from the perspective of complex networks. Phys. A 603, 127579 (2022).
Chen, B. X., Xu, H. L. & Feng, L. Y. Structural properties and evolution of global photovoltaic industry trade network. Environ. Sci. Pollut. Res. 26, 69580–69598 (2023).
Song, Z. Y., Che, S. Y. & Yu, Y. The trade network of the belt and road initiative and its topological relationship to the global trade network. J. Geogr. Sci. 28, 1249–1262 (2018).
Zhu, M. et al. International trade evolution and competition prediction of boron ore: Based on complex network and link prediction. Resour. Policy 82, 103542 (2023).
Torreggiani, S. et al. Identifying the community structure of the food-trade international multi-network. Environ. Res. Lett. 13, 054026 (2018).
ZhangY, T. & Zhou, W. X. Structural evolution of international crop trade networks. Front. Phys. 10, 926764 (2022).
Bhattacharya, K. et al. The international trade network: Weighted network analysis and modelling. J. Stat. Mech. Theory Exp. 02, 02002 (2008).
Jackson, M. O. & Yariv, L. Diffusion of behavior and equilibrium properties in network games. Am. Econ. Rev. 97(2), 92–98 (2007).
Nowak, M. A. & May, R. M. Evolutionary games and spatial chaos. Nature 359(6398), 826–829 (1992).
Shen, A., Gao, Z., Cui, D. & Gu, C. Extortion evolutionary game on scale-free networks with tunable clustering. Phys. A Stat. Mech. Appl. 637, 129568 (2024).
Shen, A. Z., Gao, Z. L., Gao, X. & Cui, D. The evolutionary extortion game of multiple groups in hypernetworks. Sci. Rep. 12(1), 20953 (2022).
Zheng, J., Zhang, Y. Q. & Huang, X. Evolution of the Maritime Silk Road trade network structural characteristics in 2000–2014. J. Int. Trade 03, 154–165 (2017).
Acknowledgements
The authors acknowledge the support of Nanchang Institute of Science and Technology introduced talent research start-up project (Grant No. NGRCZX-23-02), the Outstanding Young Teachers Cultivation Program of Anhui Provincial Department of Education (Grant No. YQYB2024062), the Project of Scientific Research Program of Higher Education Institutions in Anhui Province (Grant Nos. 2023AH052085 and 2024AH052864), the Project of Chaohu University Research Startup Fund (Grant No. KYQD-202217), the National Natural Science Foundation of China (Grant Nos. 71801139 and 71571119). We are grateful to the anonymous referees for their helpful comments that improved this paper.
Author information
Authors and Affiliations
Contributions
Jun Zheng, Junfang Wang and Aizhong Shen wrote the main manuscript text.
Corresponding author
Ethics declarations
Competing interests
The authors declare no competing interests.
Additional information
Publisher’s note
Springer Nature remains neutral with regard to jurisdictional claims in published maps and institutional affiliations.
Rights and permissions
Open Access This article is licensed under a Creative Commons Attribution-NonCommercial-NoDerivatives 4.0 International License, which permits any non-commercial use, sharing, distribution and reproduction in any medium or format, as long as you give appropriate credit to the original author(s) and the source, provide a link to the Creative Commons licence, and indicate if you modified the licensed material. You do not have permission under this licence to share adapted material derived from this article or parts of it. The images or other third party material in this article are included in the article’s Creative Commons licence, unless indicated otherwise in a credit line to the material. If material is not included in the article’s Creative Commons licence and your intended use is not permitted by statutory regulation or exceeds the permitted use, you will need to obtain permission directly from the copyright holder. To view a copy of this licence, visit http://creativecommons.org/licenses/by-nc-nd/4.0/.
About this article
Cite this article
Zheng, J., Wang, J. & Shen, A. Evolutionary game of international trade network based on trade policy differences. Sci Rep 15, 1095 (2025). https://doi.org/10.1038/s41598-024-85048-x
Received:
Accepted:
Published:
Version of record:
DOI: https://doi.org/10.1038/s41598-024-85048-x






