Fig. 7

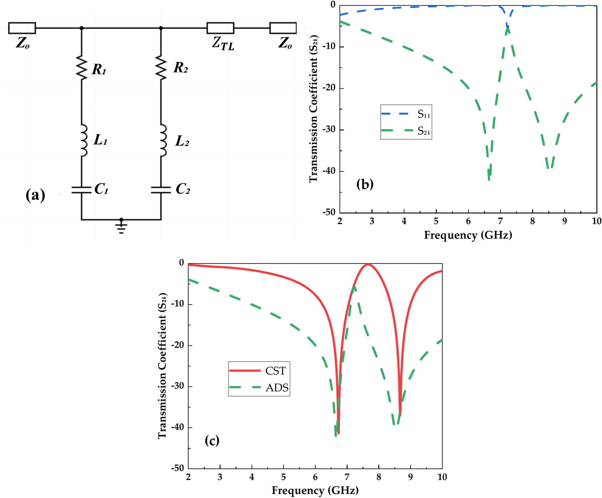
(a) Equivalent circuit model diagram (b) ADS S11 and S21 simulation results (c) difference of transmission coefficient (S21) between CST and ADS simulation results.

(a) Equivalent circuit model diagram (b) ADS S11 and S21 simulation results (c) difference of transmission coefficient (S21) between CST and ADS simulation results.