Fig. 7
From: A multi-scale cross-dimension interaction approach with adaptive dilated TCN for RUL prediction

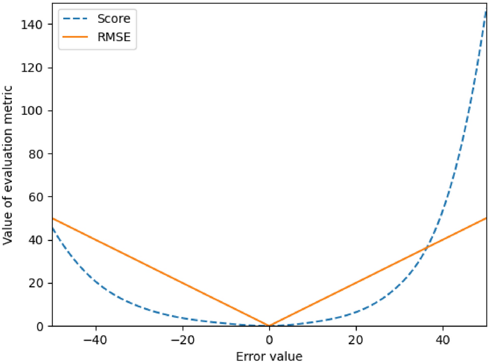
The relationship between RMSE and Score.
From: A multi-scale cross-dimension interaction approach with adaptive dilated TCN for RUL prediction

The relationship between RMSE and Score.