Abstract
In this work, carbon fabric-reinforced epoxy (CF/E) and carbon fabric/graphene nanoplatelets (1 wt%, 2 wt% and 3 wt%) reinforced epoxy (CF/GNP/E) laminates (one-layer, two-layer, and four-layer) were prepared using the hand layup method. Further, according to ASTM standards, the test samples were machined using abrasive waterjet machining, and tensile properties and hardness were studied. It was found that tensile strength modulus and strain-to-failure improved due to the addition of GNPs into the epoxy matrix in the composite; the CF/1GNP/E composite showed the highest tensile strength modulus and strain-to-failure. Further addition of GNPs of more than 2 wt% deteriorates the mechanical properties due to agglomeration. The electromagnetic interference shielding effectiveness by absorption and reflection of all the samples was investigated using the measured S-parameters in an X-band frequency range. The effectiveness of electromagnetic interference shielding increased with the addition of GNPs, and the multi-layer structure in the composites showed absorption-dominated electromagnetic shielding. The CF/3GNP/E 4-layer composite showed the highest (32.4dB) shielding effectiveness and was recommended for commercial application in the X-band frequency range.
Similar content being viewed by others
Introduction
The importance of electromagnetic interference (EMI) protection in modern aircraft is a significant area of research. Modern aircraft control increasingly depends on digital systems, electronic devices, and instruments. In addition, passengers also use various electronic gadgets, contributing to electromagnetic (EM) waves that can cause EMI. Due to the EMI effect, electronic devices malfunctioning and even damage to critical data and services onboard the aircraft were noticed1. Aircraft are also exposed to natural EM radiation due to thunderstorms, solar flares, and electrostatic discharges encountered during flight. These sources further elevate the risk of EMI, making aircraft particularly vulnerable to such threats.
In pursuing lighter and stronger materials, carbon fibre-reinforced epoxy (CF/E) composites have replaced mainly traditional aluminium and ferrous alloys in aircraft construction. CF/E composites offer numerous benefits, such as high strength, stiffness, low weight, high durability, thermal stability, and fatigue resistance. However, while these materials excel in structural integrity, their susceptibility to EMI is a growing concern2. Thus, in addition to their impressive mechanical properties, CF/E composites must have effective electromagnetic wave shielding capabilities, especially in the 8–12 GHz frequency range for aircraft applications. This frequency range is crucial for aircraft, radar, avionics, wireless communications, and computer networks2.
Based on the above, investigating the electromagnetic interference shielding effectiveness (EMI SE) of CF/E composites at X-band frequencies has become an important research area. Hence, the goal is to ensure that CF/E composites not only meet the structural needs of modern aircraft but also protect against the potential detriments of EMI SE, ensuring the safety, functionality, and longevity of both aircraft systems and onboard equipment. This research has broad implications for material engineering, as it seeks to improve both the safety and performance of aircraft while also contributing to the ongoing development of materials that can address the evolving challenges posed by electromagnetic threats in modern aviation.
As per the available literature, the EMI SE of carbon fibre-reinforced polymer (CFRP) composites is influenced by several key factors. (i) Direction of fibre orientation: The fibre orientation in CFRP composites plays a crucial role in determining the EMI SE. Unidirectional (UD) fibre-reinforced composites tend to have less EMI SE compared to bidirectional (BD), three-dimensional (3D) or multidirectional (MD) fibre-reinforced composites3,25. Hence, BD and 3D fabric-reinforced composites are better materials for aircraft because they have good EMI SE and structural properties. (ii) Layer architecture of reinforcements: The layering or stacking sequence of the reinforcement in CFRP composites also impacts EMI SE. The arrangement of the fibre layers, such as unidirectional, bidirectional, or other configurations, alters the distribution of electromagnetic waves and affects EMISE4. Also, the number of layers reinforced in the composites influences EMI SE. (iii) Type of reinforcement: The fibre used in the composite affects its overall performance in EMI SE. For instance, continuous fibre typically provides superior shielding performance compared to short fibre. UD carbon fabric, though effective, is generally outperformed by BD carbon fabric, which offers better balance in terms of mechanical properties, structural integrity, and EMI SE3,4,5,6&7. From the literature, it is found that various researchers investigated EMI SE of engineered carbon fabric (surface modified, coated, or nanofiller layered on carbon fabric) and CFRP composites for aircraft applications. Further, due to their functional and structural properties, hybrid CFRP composites (carbon fibre/fabric used with nano/micro filler as reinforcement) have become more attractive. The key results of researchers who studied the EMI SE of engineered carbon fibre/fabric and hybrid CFRP composites are represented in Table 1.
The literature shows that hybrid composites consisting of carbon fibre/fabric as primary reinforcement and fillers as secondary reinforcement are attractive replacements for metal electromagnetic shielding materials. The EMI SE in hybrid composites depends on factors like (i) Filler dispersion and concentration: The judicious quantity of filler leads to uniform dispersion and freedom from agglomeration. Because of this, stress concentration was reduced, and the mechanical and EMI SE of the composites were improved. (ii) Filler type, shape, size, and combination: The type of filler (such as carbon nanotubes or graphene nanoplatelets, etc.), its morphology, and its proportion in the composite significantly affect EMI SE9,10,11,24. Recently, graphene nanoplatelets (GNPs) have been incorporated into composites due to their remarkable properties, including (i) a large surface area: GNPs provide more interaction sites for strengthening the composite material. (ii) Excellent thermal conductivity: GNPs help dissipate heat, improving the thermal stability of the composite. (iii) High Young’s modulus and electron mobility: GNPs enhance mechanical properties and electrical conductivity12,17,18,20,21. In the current research, GNPs are being utilized as a secondary reinforcement to epoxy resin and BD carbon fabric as primary reinforcement to further enhance the structural and EMI SE of resultant hybrid composites.
Materials
The bi-directional (BD) oriented plain weave carbon fabric (material batch No. W21 A31/3298). supplied by M/s. Bohr Chemical & Plastics Pvt. Ltd., Nasik, India, is used as primary reinforcement. The area density of the carbon fabric and the type of fibre were \(\:160\:\text{g}.{\text{m}}^{-2}\pm\:5\text{\%}\) and 3 K, respectively. Bisphenol-A epoxy resin is used as a matrix with a suitable hardener. Graphene Nanoplatelets procured from M/S Ad-nano. The details of Graphene (CAS NO.:7782-42-5) have purity-99%, thickness-5 to 10 nm, surface area~110 m2. g−1, bulk density-0.166 g.cm−3 used as secondary reinforcement.
Methods
A variety of solvents, such as Tetrahydrofuran (THF), Dimethylformamide (DMF), acetone, ethanol, Dichloromethane (DCM), Methyl ethyl ketone (MEK), water, etc., have been used for graphene dispersion by various researchers. For this study, laboratory-grade ethanol was used as the solvent. Graphene dispersion was achieved via ultrasonication and mechanical stirring to ensure homogeneity. Further, the carbon fabric-reinforced neat epoxy (CF/E) composite, GNPs and carbon fabric-reinforced epoxy (CF/GNP/E) composite laminates were prepared by hand layup. According to test standards, the specimens were cut by an abrasive waterjet machine to investigate mechanical properties and EMI SE. The Matsuzawa microhardness testing machine measured Vickers’ hardness (VH) (Model No. MMT-X7 A, Japan). Tensile strength, Young’s modulus and strain to failure were investigated for all the composite samples by testing as per ASTM D 638 − 10 and plotting the stress-strain curve. Five samples were analysed in each type of laminate, and an average reading was taken. The surface morphology of the GNPs, fractured surface morphology of the test specimen, and filler dispersion in the composite laminates were investigated by scanning electron microscopy (SEM; CARL, ZEISS, Germany). The EM shielding by absorption, reflection, and EMI SE was computed using S parameters, which were measured using a network analyser.
Results and discussions
Morphology of carbon fabric and GNPs
Figures 1(a) and (b) show magnified images of the carbon fabric used in this study. It is confirmed that the carbon fabric of BD is a plain weave type and free from damage.
Microscopic view of bidirectional plain fibre fabric.
The surface morphology of GNPs was investigated via SEM (scanning electron microscopy) (SEM; CARL, ZEISS, Germany) analysis. The SEM images of GNPs at various magnifications were taken and presented, as shown in Fig. 2. Figure 2(a) shows the SEM image of GNPs at 10 K magnification. The GNPs exhibited a lateral 2D flake structure with staggered layers. Each staggered layer consists of a few layers of GNPs, forming a multi-layer structure. Further, by investing at 25k, 50k magnification is presented in Fig. 2(b-c). The SEM images at these magnifications provide a clearer view of the lateral structure of the GNP flakes. The flakes have varied lateral sizes. To understand the thickness and surface morphology of GNPs, SEM images at 100k magnification are presented in Fig. 2(d). At this high magnification, the thickness of each GNP is revealed to be in the range of 5 to 8 nm.
FESEM images of GNPs at various magnification (A) 10k, (B) 25k, (C) 50k and (D)100k.
Structure-property of GNPs
The crystalline structure of the GNPs was investigated using powder X-ray diffraction (XRD, Rigaku MiniFlex 600, Japan) from 20º to 70º at a speed of \(\:{0.5}^{0}{m}^{-1}\:.\) Figure 3 shows the X-ray diffraction pattern for GNPs. It is observed that the position of the XRD peak falls at the value of\(\:\:2\theta\:\) 25.4º confirmed GNPs. The average crystallite size (DXRD) of GNPs was calculated from Scherrer’s Eq. (1), and the \(\:{d}_{002}\) (d-spacing for 2 H (002) from \(\:2\theta\:\) peak at 25.4º) was calculated according to Bragg’s Law using Eq. (2).
where θ is the Bragg diffraction angle, \(\:\beta\:\) is the full width at half maximum (FWHM), \(\:\lambda\:\) Is the wavelength of the Cu-K \(\:\alpha\:\) radiation (0.15406 nm), and \(\:k\) is the shape factor (0.9). From the \(\:{X}_{RD}\) spectra using Scherrer’s formula, the computed crystallite size (DXRD) is 2.26 nm and d spacing (\(\:{d}_{002}\)) is 3.5 Å. The physical origins of the broad (002), such as reflections, were interpreted from the uniform interlayer spacing (d002). The numbers of GNP layers (Nc) were calculated by using the interlayer spacing (d002) and apparent crystallite size (DXRD) in the c-c-direction by the Eq. (3), and it is found that 6.47, which is approximately 6, is confirmed by the supplier data.
X-ray diffraction (XRD) pattern of GNP.
Matrix preparation
The dispersion of GNPs into epoxy is a crucial process while preparing CF/GNP/E composites. A good dispersion of GNPs with epoxy ensures a maximum reinforced surface area, which increases mechanical properties and affects the polymer chain internally, matrix strength and other functional properties. However, the high viscosity of epoxy hinders the GNP dispersion. Hence, ethanol is used as a solvent to improve the dispersion of GNPs in epoxy in the present work22.
Figure 4 shows the steps followed for preparing the GNP/E epoxy matrix. Initially, an equal volume of ethanol and epoxy was measured and mixed with a magnetic stirrer for about 30 min at 800 rpm, and the resultant solution was called solution (A) Simultaneously, GNPs were dispersed in ethanol by probe-type ultrasonication in a separate beaker. The ultrasonication was performed at a frequency of 20 kHz for about 30 min to ensure effective deagglomeration of GNP. The resultant solution is called as solution (B) Further, solution B was mixed with solution A by ultrasonication for about 2 h at 20 kHz. The resultant solution was called solution (C) Finally, solution C was mixed with hardener at a ratio of 100:80 by mechanical stirrer for about 5 min at 300 rpm and used as the matrix for carbon fabric and GNPs filler reinforced epoxy (CF/GNP/E) composite laminates preparation. The above method of matrix preparation was repeated by varying the quantity of GNP filler from 1 to 3 wt% in steps of 1 wt%.
Preparation of Graphene-filled epoxy matrix.
Preparation of CF/E and CF/GNP/E composite laminates
As supplied, the BD plain weave type carbon fabric was cut into 100 mm × 100 mm and immersed in the acetone to remove sizing agents, dirt, impurities, amorphous carbon, grease, etc. from the fabric. After cleaning with acetone, the fabric was immersed in deionised water and kept for 10 min in a hot air oven to remove water and moisture. In the present study, the carbon fiber fabric is impregnated with epoxy resin (with or without GNP) using hand layup methods. Further, the layers are consolidated one above the other using a roller and brush, and air bubbles are removed by vacuum. A releasing film was kept on the glass plate before placing the carbon fabric and after completing the layup to remove the laminate27easily. The laminates are then cured under compression mode at room temperature for around 24 h. Post-cure at 150–180 °C for further crosslinking for about 2 h. After complete curing, the laminates were taken out of the glass mould. The process was repeated to develop 1-layer, 2-layer and 4-layer CF/1GNPS/E, CF/2GNP/E and CF/3GNP/E composite laminates28. Table 2shows the material composition and designation of composite laminates. According to ASTM standards, the test samples were prepared by a computerised CAD-operated abrasive water jet machine from the prepared laminates. Optimized filler concentration in the composites gives better performance and improves tensile and flexural properties due to enhanced reinforcement, uniform load distribution, and transfer of load from matrix to filler and fiber. However, higher concentrations of fillers led to stress concentration spots in the composite due to improper resin impregnation, improper wetting and poor interface between filler, fiber and matrix. From the literature, we noticed that the 1–3 wt% GNP reinforcement in epoxy matrix gives better mechanical properties29. Hence, in the present work, we selected 1–3 wt% GNP as filler concentration.
FTIR spectral analysis
The Fourier transform infrared (FTIR) spectral analysis was performed on the CF/GNP/E nanocomposites of different GNP compositions to identify the functional groups and investigate the interaction between the GNP and CF-reinforced epoxy matrix and the FTIR spectra, as shown in Fig. 5.
FTIR Spectra of CF/GNP/E composites.
The FTIR spectrum of the CF/GNP/E composite matrix shows significant peaks at the frequencies 2921, 2850, 1608, 1507, 1458, 1458 1458 1458,1242, 1180, 1035, 827, and 772 cm−1. The peaks at 2921 cm−1 and 2850 cm−1 correspond to the –CH stretching vibrations of the epoxy ring and the symmetric stretching –CH vibrations of the –CH2 group of aromatic rings, respectively. The prominent peaks at 1608 cm−1, 1507 cm−1, and 1458 cm−1 may be due to the C–C stretching vibration of aromatic rings of neat epoxy. The signals at 1242 cm−1, 1180 cm−1, and 1035 cm−1 are possibly due to asymmetrical aromatic and aliphatic C–O stretching of the epoxy resin, whereas the signal at 827 cm−1 is assignable to –CH out-of-plane deformation in aromatic and epoxide ring vibrations. The prominent absorption peak at 772 cm−1represents the bending vibrations of the epoxy functional group in the resin. These signals resemble the vibrations of epoxy resin reported in the literature23. Additionally, the feeble peak around 3400 cm−1 represents the O-H bond stretching vibrations in the epoxy. The minor peaks observed at 1650 cm−1 indicate C = O stretching vibration from the carboxylic group of GNPs. The carbon fibre in the composite is not expected to alter its vibrational characteristics as it lacks major interacting groups. Therefore, the dominant interaction is observed between the GNP and epoxy resin in the composites. The spectrum of CF/GNP/E for different filler compositions of GNP reveals micro-level changes in the spectrum as the GNP concentration is increased from 1 to 3%. The noticeable changes were observed in the intensity and position of peaks in the frequency range of 1000 to 3000 cm−1. The enhancement in bending vibrations of the epoxy functional group of the resin (772 cm−1) was dominant. The weakening of O-H, C-H, and C-O bond stretching vibrations of epoxy resin and the C = O bond stretching vibration of GNPs is evident from the spectral data. This indicates substantial interaction between the C = O group of GNPs and the functional groups of epoxy resin. The shifting of leading bands and variation in the intensity of peaks suggest the successful formation of composites through considerable physical or Van der Waals interactions between epoxy and GNPs, resulting in an overall reinforcing effect on the composite.
Mechanical properties of CF/E and CF/GNP/E composites
Hardness study
Vickers hardness (HV) measures the material’s resistance to indentation and is commonly used to characterise the hardness of metals, polymers, and composite materials. Vickers’ CF/E and CF/GNP/E composites’ hardness is studied using a Matsuzawa microhardness testing machine (Model No. MMT-X7 A, Japan). It is computed by applying a load onto the composite sample through a pyramid-shaped indenter and measuring the average diagonal length of the indentation left in the material. A load of 1000 g is applied for 20 s, and the Vickers hardness (HV) in N/mm² is calculated using Eq. (4).
Where F is the load applied on the diamond point indenter (N), and d is the average of the diagonal of indentation developed by diamond tip indentation on the specimen (mm2). In each sample, 10 readings were taken, out of which five readings of very near values are reported in the table; finally, those with very little difference were considered to calculate the average value and tabulated in Table 3. The HV depends on the type of fabric, matrix, quantity of filler, and manufacturing type of the composites. In the present study, only the filler concentration was varied from 0 to 3 wt%, which is not a significant quantity as per the literature concerned with harness studies of carbon fabric-reinforced filler-loaded composites. Hence, consistency was observed in the average HV values in all the composites.
Tensile behaviour of CF/E and CF/GNP/E composites
ASTM D638 is the most common testing standard for determining the tensile properties of reinforced composites24. Tensile test was conducted for CF/E and CF/GNP/E composite samples as per ASTM D638. Sample type-5 of dumbbell shape with sample dimensions such as the overall length: 63.50 mm, gauge length: 9.53 mm, width: 3.20 mm, thickness: 3.18 mm, grip length: 9.53 mm was used. The crosshead speed of 5 mm/min was maintained for all the samples. The tensile test data drew the stress-strain curve, and tensile strength, Young’s modulus, and strain-to-failure were estimated.
Stress-Strain Curve of CF/E and CF/GNP/E Composites.
The tensile behaviour of CF/E composite and CF/1GNP/E. CF/2GNP/E and CF/3GNP/E are shown in Fig. 6. It was found that adding GNPs to the epoxy matrix alters tensile behaviour. The CF/1GNP/E showed significantly improved tensile strength and strain-to-failure compared to CF/E. This is attributed to the large surface area of GNPs, which leads to enhanced interfacial bonding between the matrix and reinforcement, which improves the reinforcing effect and better load transfer from the matrix to the reinforcements. Also, uniformly dispersed GNPs in the epoxy matrix increased the toughness and ductility of the resultant composites. Further, it is noticed that strain-to-failure is improved due to the addition of 2 wt% GNPs, but the tensile strength and modulus were decreased. This is because, at 2 wt% filler, filler-loaded epoxy becomes more ductile than neat epoxy. Also, the GNPs enter the molecular chain of epoxy, which restricts its cross-linking ability and reduces strength (refer to Fig. 6) and stiffness, as mentioned in Fig. 7. From the tensile behaviour of CF/E, CF/1GNP/E and CF/2GNP/E, it was found that the GNPs in the epoxy matrix changed the mode of failure from brittle to ductile behaviour. From the literature, it is found that the improvement of tensile strength and strain-to-failure of carbon fabric and GNP-reinforced epoxy composites at lower GNP concentrations (< 2wt.%)22. Similar results were obtained in the present research study, which further added 3 wt% GNPs to epoxy leads to agglomeration of GNPs and poor wetting of the matrix with reinforcement. This leads to stress concentration, and void formation leads to early failure, as shown in the stress-strain plot30,31. From the above discussion, the tensile properties point of view shows that the optimum concentration is one wt% GNPs are beneficial. The elongation of the tensile specimen at the break is as shown in Fig. 6. It was found that the CF/1GNP/E and CF/2GNP/E samples showed higher elongation before fracture than the CF/E samples. This indicates that the CF/E composites become more ductile due to the addition of GNPS. This is attributed to the flake structure of the GNPs in the matrix. However, the CF/3GNP/E composite sample showed more brittleness due to the higher concentration of GNPs in the matrix.
Tensile strength and Young’s modulus of CF/E and CF/GNP/E composites.
To understand the failure mechanism, the tensile failure samples are magnified, investigated, and presented in the digital photographs in Fig. 8(a-d). It is observed that the failure of the tensile specimen was due to the delamination of fabric layers and fibre damage of the CF/E and CF/1GNP/E composites. Both fractured samples in Figs. 8(a) & 8(b) reveal the purely ductile failure of the fabric in the composites. Also, higher slippage of layers was observed in CF/1GNP/E composite compared to CF/E; this is evidence for higher tensile strength and strain-to-failure observed in the stress-strain plot. It is attributed that the addition of 1 wt% GNP filler leads to good load transfer from matrix to fibre/filler. It demonstrates a better interface & enhanced load-bearing capacity before failure. As the filler concentration increases, the interface between reinforcements and resin will become poor, reducing the strength and modulus of the fracture surface of 2 wt% and 3wt.% GNPs loaded CF composites are shown in Fig. 8(c -d), and more delamination and interlaminar matrix failure were noticed due to poor interface. The 3 wt% filler loaded composites failed specimens reveal failure by delamination, severe matrix failure due to inferior interface strength. Both 2 wt% and 3 wt% filler-loaded composites showed the brittle failure of the matrix due to weaker load-carrying capacity and poor integrity of matrix, filler, and fibre, as shown in Fig. 8(d).
Fractured Tensile Specimens of CF/E and CF/GNP/E Composites.
Electromagnetic shielding effectiveness
The EMI SE of a material is a measure of its ability to block or attenuate electromagnetic waves that are incident on it. The shielding effectiveness (SE) of a material in this research is quantified by the coaxial transmission line method by measuring the S-parameters (scattering parameters: S11, S12, S21, S22) using a 2-port Keysight Technologies N19918 A MY58312077 vector network analyser with WR-90 waveguide holder. The S11 (Reflection coefficient at port 1) indicates how much power is reflected from the material at a given frequency. S21(Transmission coefficient from port 1 to port 2) indicates how much power passes through the material from port 1 to port 2. S12 and S22, in most cases, are less critical for shielding measurements. Hence, it was not taken into consideration. The key S-parameter for shielding effectiveness is S21, which measures how much energy passes through the material, directly related to the shielding effectiveness.
In this research, specimens of a dimension \(\:\:22.86\:mm\times\:10.16\:mm\)they were cut by CF/E and CF/GNP/E laminates using abrasive water jet machining. The prepared samples were placed on a WR-90 waveguide sample holder and scattering parameters (S-parameters) were measured over a frequency range of 8 GHz to 12 GHz for all the samples. Before placing the sample, an S-parameter measurement and a full two-port calibration were carried out. The experimental setup used for EMI SE is given in Fig. 9.
EMI SE measurement setup.
Further, the shielding effectiveness by absorption (\(\:{SE}_{A})\) and reflection (\(\:{SE}_{R}\)) is calculated using S parameters through Eqs. (5) and (6), respectively.
The total shielding effectiveness (\(\:{SE}_{T}\)) was calculated using the Eq. (7)
The \(\:{SE}_{A},\:{SE}_{R}\) and \(\:{SE}_{T}\:\)of CF/E, CF/1GNP/E, CF/2GNP/E and CF/3GNP/E with one-layer, two-layer and four-layer samples at 8 to 12 GHz frequencies were plotted as shown in Figs. 10 (a-c), 11(a-c), 12 (a-c) and 13 (a-c), respectively.
SEA, SER and SET of (a) CF/E-1Layer; (b) CF/E-2Layers (c) CF/E- 4Layers & (d) SEA and SER percentage of all CF/E composites.
Figure 10(a-c) shows the SEA (Shielding effectiveness due to absorption), SER (Shielding effectiveness due to reflection), and SET (Total shielding effectiveness) of one-layer, two-layer and four-layer CF/E composite samples in the X-band range. It is observed that one-layer and two-layer CF/E composite samples exhibited SEA independent of operating frequency in the selected X-band range. The four-layer CF/E composite showed frequency-dependent SEA. This is due to the skin effect. i.e. skin depth (δ) is inversely proportional to the square root of frequency(f), as shown in Eq. (8). Where δ is the skin depth, µ is the magnetic permeability (H/m), \(\:\sigma\:\) is the material’s electrical conductivity (S/m), and f is the electromagnetic field frequency.
The δ decreases as the f increases, meaning that at higher frequencies, the EM waves travel on the surface of the composite and do not penetrate deeper into it. At low f, the δ is large, and the EM waves penetrate deeper into the composite and lead to more absorption. Hence, 4-layer performance is better at lower frequencies than at higher frequencies. Not much significant change in SE of one-layer and two-layer samples is observed. However, four-layer samples showed improved SE. This is due to the increased absorption and less reflection of the EM radiation because of the multiple layers of carbon fabric26. This is represented in Fig. 10(d). It was found that as the layers increased in the composites, the absorption-dominated shielding effectiveness increased. This is because the penetrated EM waves are attenuated in the multiple layers of carbon fabric.
Conventional metallic shields typically exhibit SE values of 60–100 dB, the proposed composite in this research work offers lighter weight, corrosion resistance, and a high strength-to-weight ratio. Hence, it is a more suitable alternative for applications where weight reduction is critical. Also, metals generally provide higher SE due to the reflection of EM waves. The reflected EM waves further develop interference. In this respect, proposed composites are absorption-dominated and reduce electromagnetic interference.
SEA, SER and SET of (a) CF/1GNP/E-1Layer; (b) CF/1GNP/E-2 Layers (c) CF/1GNP/E- 4 Layers & (d) SEA and SER percentage of all CF/1GNP/E composites.
Figure 11(a-c) SEA, SER, and SET of CF/1GNP/E composite of one-layer, two-layer and four-layer samples in the X-band frequency range. It is noticed SEA increases from 62 to 70% in this composite due to the increase in one layer, as shown in Fig. 11(d). However, a similar trend was observed for SEA and SER two- and four-layer composites. However, the SER of the CF/1GNP/E composite is less compared to the CF/E composite. This is due to the absorption of EM radiation by the GNP fillers. Hence, the addition of GNP makes the composite more absorption-dominated in SE.
SEA, SER and SET of (a) CF/2GNP/E-1Layer; (b) CF/2GNP/E-2Layers (c) CF/2GNP/E- 4Layers & (d) SEA and SER percentage of all CF/2GNP/E composites.
Figure 12(a-c) SEA, SER, and SET of CF/2GNP/E composite of one-layer, two-layer and four-layer samples in the X-band frequency range and Fig. 12(d) show the percentage SE. It is observed that the shielding effectiveness of both CF/IGNP/E and CF/2GNP/E composites showed similar results. It attributed no significant change in the conductivity of the composite by increasing GNP concentration from 1 wt% to 2 wt%.
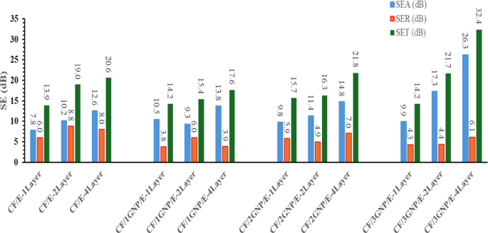
Figure 13(a-c) SEA, SER, and SET of CF/3GNP/E composite of one-layer, two-layer and four-layer samples in the X-band frequency range and Fig. 13(d) show the percentage SE. It was found that adding 3 wt% GNP in the composite increased the absorption shielding effectiveness due to an improved conductive network in the epoxy matrix. Further, it was also noticed that the absorption-dominating shielding increased due to the multi-layer effect in the composite. The CF/3GNP/E 4-layer composite showed the highest (32.4 dB) shielding effectiveness and was recommended for commercial application in the X-band frequency range.
SEA, SER and SET of (a) CF/3GNP/E-1Layer; (b) CF/3GNP/E-2Layers (c) CF/3GNP/E- 4Layers & (d) SEA and SER percentage of all CF/3GNP/E composites.
Figure 14 shows the EMI SE overall comparison of CF/E composites with CF/GNP/E of one-layer, two-layer, and four-layer at the frequency range of 8 to 12 GHz. It was found that the shielding effectiveness by absorption increased as the layers increased in the composites. This is because the penetrated EM waves in the composite are attenuated in the two-dimensional plane of the carbon fabric. The shielding effectiveness by reflection was found to be less in 3 wt% filler-loaded composites because conductive GNP fillers develop network conductive paths and reduce shielding reflection.
The influence of defects in the composite samples plays a crucial role in determining both structural properties and EMI shielding effectiveness. For EMI shielding, surface defects may disrupt the conductive network formed by fillers like graphene nanoplatelets (GNP) or carbon fibers, reducing shielding effectiveness (SE). Voids or cracks can cause signal leakage, weakening the material’s ability to absorb or reflect electromagnetic waves. Agglomeration of conductive fillers may also lead to non-uniform shielding performance due to uneven distribution of shielding pathways. In the present research, the proposed composites are carefully manufactured, free from microcracks, and have reasonable voids (around 3 V%). Also, multiple samples were investigated for both mechanical and electromagnetic shielding properties. Hence, the results obtained are reasonable.
SEA, SER and SET of neat CF/E and CF/GNP/E composites.
Conclusion
In this work, the CF/E and CF/GNP/E laminates were successfully prepared using the hand layup method. Mechanical properties such as tensile strength, Young’s modulus, strain-to-failure, and hardness were investigated.
-
It was found that 0 to 3 wt% GNP concentration is insignificant in hardness studies of carbon fabric-reinforced filler-loaded composites. However, a slight reduction in hardness was noticed due to adding 3 wt% GNP. This may be attributed to the void or agglomeration of GNP in the composites.
-
The tensile strength, strain-to-failure, and stiffness of the CF/E composites improved due to the addition of 1wt.% GNP (Tensile strength: 612MPa > 531 MPa, Modulus: 43MPa > 42 MPa), but a higher concentration deteriorates the structural properties of the CF/E composite due to agglomeration.
-
The EMI SE increased with the addition of GNPs to CF/E composites, and the multi-layer structure in the CF/E composites showed absorption-dominated electromagnetic shielding. The CF/3GNP/E 4-layer composite showed the highest (32.4 dB) shielding effectiveness and was recommended for commercial application in the X-band frequency range.
Data availability
The datasets generated during the current study are available from the corresponding author upon reasonable request.
References
Chandra, R. J., Shivamurthy, B., Kulkarni, S. D. & Kumar, M. S. Hybrid polymer composites for EMI shielding application- a review. Mater. Res. Express. 6 (8), 082008. https://doi.org/10.1088/2053-1591/aaff00 (2019).
Al-Saleh, M. H. & Sundararaj, U. Electromagnetic interference shielding mechanisms of CNT/polymer composites. Carbon 47 (7), 1738–1746. https://doi.org/10.1016/j.carbon.2009.02.030 (2009).
Zhu, S. et al. Simultaneously improved mechanical and electromagnetic interference shielding properties of carbon fiber fabrics/epoxy composites via interface engineering. Compos. Sci. Technol. 207, 108696. https://doi.org/10.1016/j.compscitech.2021.108696 (2021).
Magisetty, R., Shukla, A. & Kandasubramanian, B. Terpolymer (ABS) cermet (Ni-NiFe2O4) hybrid nanocomposite engineered 3D-carbon fabric mat as an X-band electromagnetic interference shielding material. Mater. Lett. 238, 214–217. https://doi.org/10.1016/j.matlet.2018.12.023 (2019).
Jia, L. C. et al. Stretchable and durable conductive fabric for ultrahigh-performance electromagnetic interference shielding. Carbon 144, 101–108. https://doi.org/10.1016/j.carbon.2018.12.034 (2019).
Park, J. et al. Exceptional electromagnetic shielding efficiency of silver-coated carbon fiber fabrics via a roll-to-roll spray coating process. J. Mater. Chem. C. 8 (32), 11070–11078. https://doi.org/10.1039/D0TC02048F (2020).
Stupar, S. L. et al. Multispectral electromagnetic shielding and mechanical properties of carbon fabrics reinforced by silver deposition. Mater. Chem. Phys. 289, 126495. https://doi.org/10.1016/j.matchemphys.2022.126495 (2022).
Abedi, K., Miri, S., Gregorash, L. & Fayazbakhsh, K. Evaluation of electromagnetic shielding properties of high-performance continuous carbon fiber composites fabricated by robotic 3D printing. Additive Manuf. 54, 102733. https://doi.org/10.1016/j.addma.2022.102733 (2022).
Yuan, X. et al. PAI/MXene sizing-based dual functional coating for carbon fiber/peek composite. Compos. Sci. Technol. 201, 108496. https://doi.org/10.1016/j.compscitech.2020.108496 (2021).
Lee, J. H., Kim, Y. S., Ru, H. J., Lee, S. Y. & Park, S. J. Highly flexible fabrics/epoxy composites with hybrid carbon nanofillers for absorption-dominated electromagnetic interference shielding. Nano-Micro Lett. 14 (1), 188. https://doi.org/10.1007/s40820-022-00926-1 (2022).
Yesmin, N. & Chalivendra, V. Electromagnetic shielding effectiveness of glass fiber/epoxy laminated composites with multi-scale reinforcements. J. Compos. Sci. 5 (8), 204. https://doi.org/10.3390/jcs5080204 (2021).
Ucar, N. et al. Electromagnetic shielding effectiveness of carbon fabric/epoxy composite with continuous graphene oxide fiber and multiwalled carbon nanotube. J. Compos. Mater. 52 (24), 3341–3350. https://doi.org/10.1177/0021998318765273 (2018).
Aripin, A. B., Nishi, M., Suzuki, K. & Hayakawa, K. Evaluation of the mechanical and electromagnetic shielding properties of carbon fiber reinforced thermoplastics sheet made of unidirectional tape. Mater. Trans. 61 (2), 251–255. https://doi.org/10.2320/matertrans.MT-ML2019008 (2020).
Merizgui, T., Prakash, V. A., Gaoui, B. & Sebaey, T. A. Microwave shielding performance of TiO 2/co/gf containing high structure carbon fiber alternate laminate composite. J. Mater. Sci.: Mater. Electron. 33 (2), 934–949. https://doi.org/10.1007/s10854-021-07365-5 (2022).
Gupta, H., Agnihotri, P. K., Basu, S. & Gupta, N. Electrical characterization of carbon fiber reinforced polymer composites. In 2021 IEEE Electrical Insulation Conference (EIC), 535–538. (2021)., June https://doi.org/10.1109/EIC49891.2021.9612275
Hong, J., Xu, P., Xia, H., Xu, Z. & Ni, Q. Q. Electromagnetic interference shielding anisotropy enhanced by CFRP laminated structures. Compos. Sci. Technol. 203, 108616. https://doi.org/10.1016/j.compscitech.2020.108616 (2021).
Mei, X. et al. Preparation of flexible carbon fiber fabrics with adjustable surface wettability for high-efficiency electromagnetic interference shielding. ACS Appl. Mater. Interfaces. 12 (43), 49030–49041. https://doi.org/10.1021/acsami.0c08868 (2020).
Singh, B. P., Choudhary, V., Saini, P. & Mathur, R. B. Designing epoxy composites reinforced with carbon nanotubes and carbon fiber fabric for improved electromagnetic interference shielding. AIP Adv. 2 (2), 022151. https://doi.org/10.1063/1.4730043 (2012).
Ma, Y., Zhuang, Y., Li, C., Shen, X. & Zhang, L. Improving electromagnetic interference shielding while retaining the mechanical properties of carbon fiber-based composites by introducing a carbon nanofiber sheet into the laminate structure. Polymers 14 (9), 1658. https://doi.org/10.3390/polym14091658 (2022).
Pothupitiya Gamage, S. J. et al. MWCNT-coated free-standing carbon fiber fabric for enhanced performance in EMI shielding with a higher absolute EMI SE. Materials 10 (12), 1350. https://doi.org/10.3390/ma10121350 (2017).
Xing, D. et al. Highly flexible and ultra-thin Ni-plated carbon-fabric/polycarbonate film for enhanced electromagnetic interference shielding. Carbon 132, 32–41. https://doi.org/10.1016/j.carbon.2018.02.001 (2018).
Wei, J., Vo, T. & Inam, F. Epoxy/graphene nanocomposites–processing and properties: a review. RSC Adv. 5 (90), 73510–73524. https://doi.org/10.1039/c5ra13897c (2015).
Akter, M., Ozdemir, H. & Bilisik, K. Epoxy/Graphene nanoplatelet (GNP) nanocomposites: an experimental study on tensile, compressive, and thermal properties. Polymers 16 (11), 1483. https://doi.org/10.3390/polym16111483 (2024).
ASTM D638-14. Standard Test Method for Tensile Properties of Plastics (ASTM International, 2014). http://www.astm.org
Çoşkun, Y. & Tabakcıoğlu, M. B. The impact of orientation angle and number of layers on electromagnetic shielding characteristics of carbon fiber composites. J. Innovative Sci. Eng. 6 (2), 190–200. https://doi.org/10.38088/jise.979187 (2022).
Wang, Y., Wang, X. & Liu, Z. Electromagnetic shielding fabric based on graphene layer-by-layer assembly improves the absorption and shielding performance. Text. Res. J. 00405175241291212. https://doi.org/10.1177/00405175241291212 (2024).
Kumar, A., Sharma, K. & Dixit, A. R. Tensile, flexural and interlaminar shear strength of carbon fiber reinforced epoxy composites modified by graphene. Polym. Bull. 80 (7), 7469–7490. https://doi.org/10.1007/s00289-022-04413-w (2023).
Kumar, A. et al. Recent developments in the mechanical properties and recycling of fiber-reinforced polymer composites. Polym. Compos. 46, 3883–3908. https://doi.org/10.1002/pc.29261 (2024).
Beloufa, H. I., Tarfaoui, M., Lafdi, K., Daly, M. & Bendarma, A. Graphene nanosheets as novel nanofillers in an epoxy matrix for improved mechanical properties. In Advances in Nanosheets-Preparation, Properties and Applications. IntechOpen. (2023). https://doi.org/10.5772/intechopen.1001834
Kumar, A., Sharma, K. & Dixit, A. R. Carbon nanotube- and graphene-reinforced multiphase polymeric composites: review their properties and applications. J. Mater. Sci. 55 (7), 2682–2724. https://doi.org/10.1007/s10853-019-04196-y (2020).
Kumar, A., Sharma, K. & Dixit, A. R. Effects of various functional groups in graphene on epoxy nanocomposites’ tensile and flexural properties: a comparative study. Fullerenes Nanotubes Carbon Nanostruct. 30 (11), 1123–1133. https://doi.org/10.1080/1536383X.2022.2077332 (2022).
Funding
Open access funding provided by Manipal Academy of Higher Education, Manipal
Author information
Authors and Affiliations
Contributions
Suresha R: Analyzed data, interpreted the results and drafted the manuscript.Sachidananda H K: Conceived the studyB Shivamurthy : Revised and edited the article’s intellectual content and correspondingN. Kumar Swamy: SequencedSampath Parasuram: Support for experimentation and data collection.
Corresponding author
Ethics declarations
Competing interests
The authors declare no competing interests.
Additional information
Publisher’s note
Springer Nature remains neutral with regard to jurisdictional claims in published maps and institutional affiliations.
Rights and permissions
Open Access This article is licensed under a Creative Commons Attribution 4.0 International License, which permits use, sharing, adaptation, distribution and reproduction in any medium or format, as long as you give appropriate credit to the original author(s) and the source, provide a link to the Creative Commons licence, and indicate if changes were made. The images or other third party material in this article are included in the article’s Creative Commons licence, unless indicated otherwise in a credit line to the material. If material is not included in the article’s Creative Commons licence and your intended use is not permitted by statutory regulation or exceeds the permitted use, you will need to obtain permission directly from the copyright holder. To view a copy of this licence, visit http://creativecommons.org/licenses/by/4.0/.
About this article
Cite this article
Suresha, R., Sachidananda, H.K., Shivamurthy, B. et al. Mechanical and electromagnetic shielding properties of carbon fabric with graphene nanoplatelets reinforced epoxy composites. Sci Rep 15, 15735 (2025). https://doi.org/10.1038/s41598-025-00634-x
Received:
Accepted:
Published:
Version of record:
DOI: https://doi.org/10.1038/s41598-025-00634-x
















