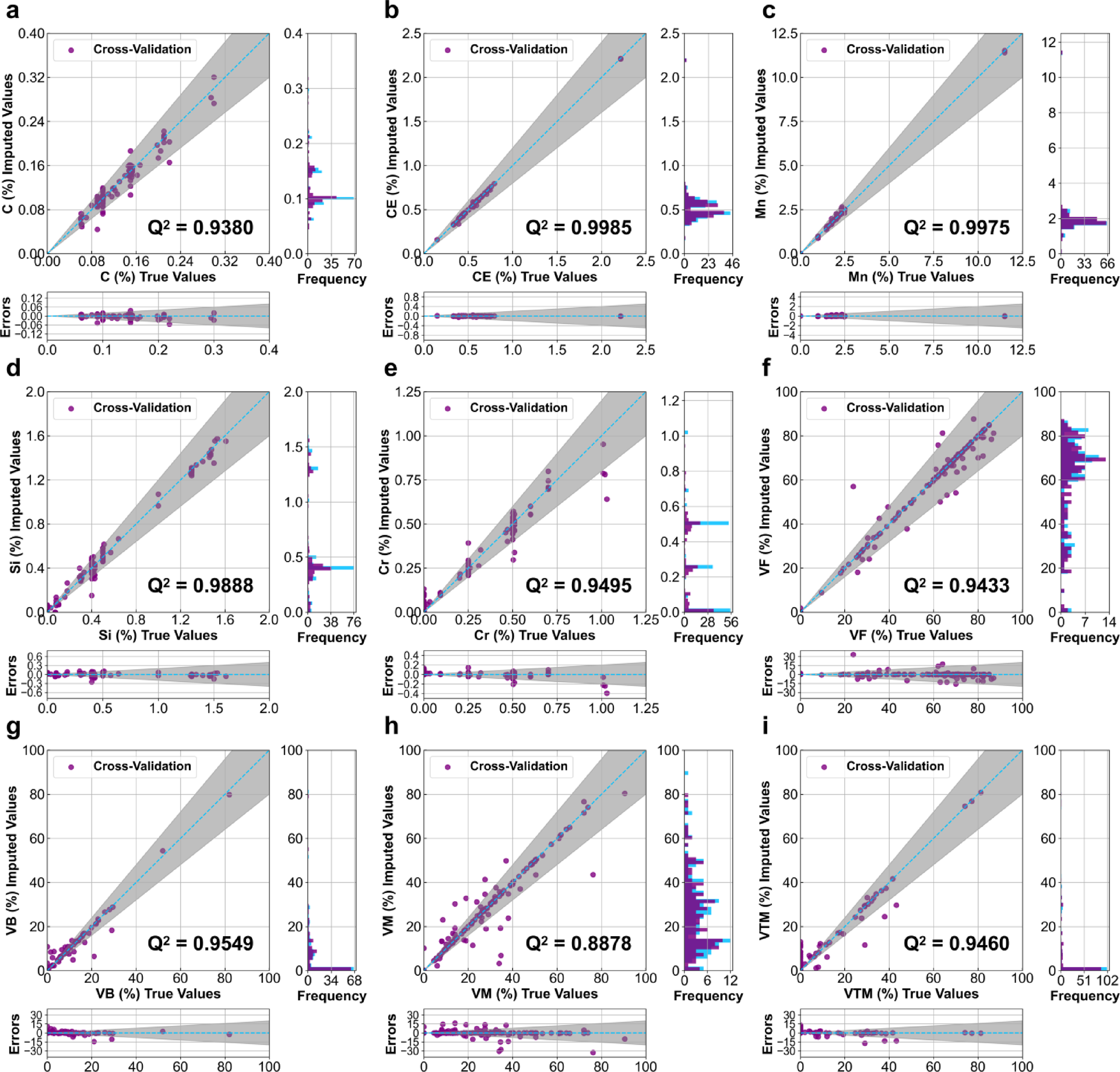
Fig. 2

Evaluation of Ridge method in MICE for compositions and microstructure features. (a-i) Detailed comparison and error scatter plots, as well as frequency histogram plots illustrating the relationships between imputed values (in purple) and true values (in blue) for individual microstructural characteristics using the Ridge regression method in MICE: (a) C, (b) CE, (c) Mn, (d) Si, (e) Cr, (f) VF, (g) VB, (h) VM, (i) VTM. Note: The shaded regions represent an error range of ± 20%.